Experimental Study of Tensile Properties of Styrene–Butadiene–Styrene Modified Asphalt Binders
Abstract
1. Introduction
- The rheological flow curve represented by the stress–strain relationship exhibits three regions differing in terms of rheological (viscoelastic) behavior with different values of elasticity modulus assigned to them;
- A mechanical property of the material, described by the material coefficient E (modulus of elasticity) reflects the changes taking place in the internal structure and depends on the deformation level:
- Region I depicts the effect of exerting the force on a rubber sample whose hydrocarbon chains, to that moment randomly distributed throughout the volume, become oriented orderly, parallel to the force direction. The material offers a relatively high resistance to the force and the value of the modulus of elasticity is also relatively high (ca. 10 MPa);
- Region II depicts the behavior of the material after the internal structure has been ordered—weak Van der Waals forces develop between parallel chains, which offer small resistance at this stage of deformation and the modulus of elasticity is very small (ca. 1 MPa);
- Region III features very small strain increase levels in comparison to very high increases of stress due to covalent forces between atoms of carbon (C–C) in hydrocarbon chains, resulting in very high values of the modulus of elasticity (ca. 10 GPa);
- After unloading the sample, the strain disappears rapidly, although also in the process of recovery three distinct steps can be identified, with immediate shortening of the sample in the first step and delayed subsequent steps.
2. Test Materials
3. Modification of Bitumens with SBS Copolymers
4. Testing of Bituminous Binders
4.1. Penetration and Softening Point (TR&B) of the Tested Bitumens
4.2. Determination of Elastic Recovery
4.3. Determination of the Tensile Force and Cohesion Energy in the Force Ductility Test
- Area I (),
- Area II (),
- Area III ().
5. Presentation and Analysis of the Results of Tests of Modified Bitumens
5.1. Penetration and Softening Point
5.2. Elastic Recovery
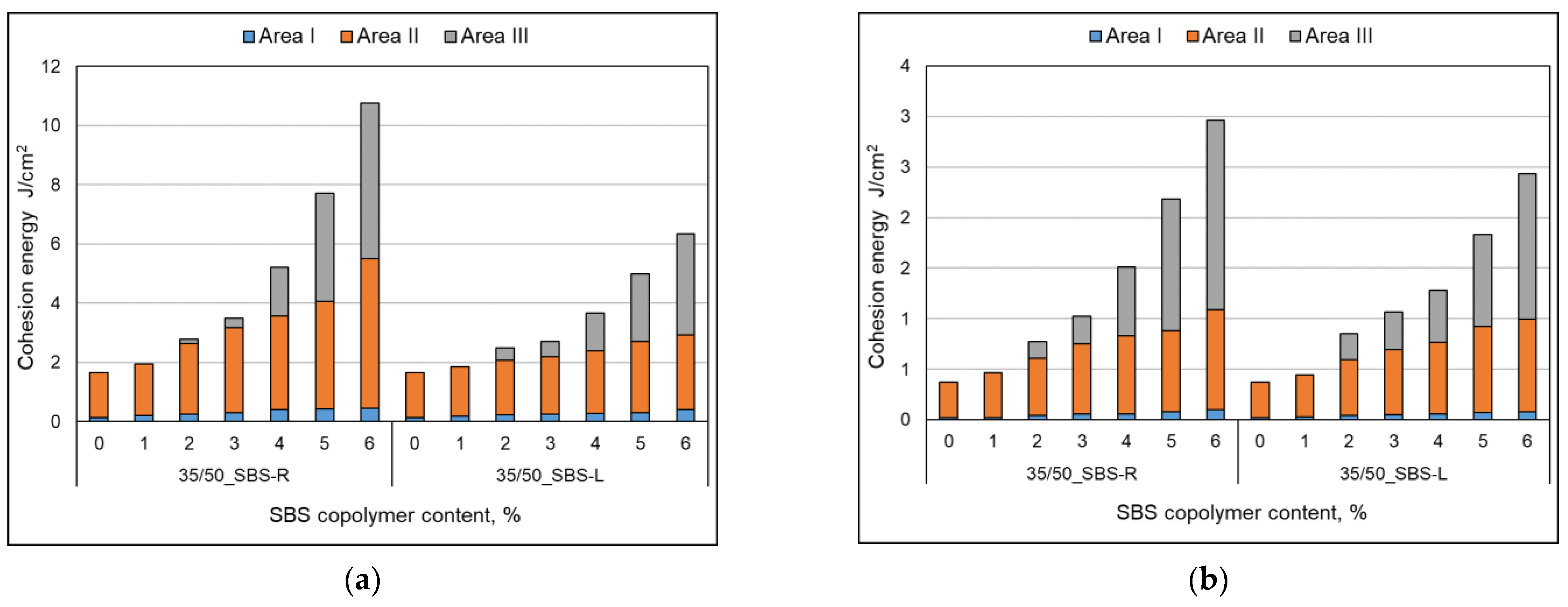
5.3. Tensile Force and Cohesion Energy
- below 0.12—maximum 1% of SBS (or none at all),
- from 0.12 to 0.6—2–3% of SBS,
- from 0.6 to 0.9—ca. 4% of SBS,
- over 0.9—more than 5% of SBS.
6. Conclusions
- The basic parameters used to assess the quality of modification (besides the typical ones, i.e., the softening point and penetration) are elastic recovery and cohesion energy, which are determined by means of a ductilometer test. EN 14,023 estimates the cohesion on the basis of the difference between the cohesion energy determined at 400 mm extension () and cohesion energy at 200 mm extension (). However, with this approach it is not possible to assess the nature of strain of the tested binder or to estimate the share of energy in Area III, characteristic of polymer-modified bitumens.
- The force ductility test results show that more precise requirements regarding cohesion energy corresponding to the respective strain regions (Figure 2b) could be used as an additional criterion for assessing the efficiency of modification. Particular attention should be paid to the ratio between the sum of cohesion energy determined in the Area I and Area III and the cohesion energy determined in Area II (Figure 20), which can provide an indirect indication of the modifier content. This is particularly important for the pavement behavior at high temperatures in summer. A transition of the strain type of the binder (and also the asphalt mixtures containing it) to viscoelastic at higher levels of strain will be a factor improving the performance parameters of the pavement, including in particular resistance to permanent viscoplastic deformation.
- The test results show that first qualitative changes to the behavior of binders can be observed with only 2% of modifier added, and this concerns both hard (35/50) and soft (160/220) bitumens and the two types of SBS copolymer, namely SBS-L (linear structure) and SBS-R (radial structure). This is particularly evident in Figure 19 and Figure 20. The decisive factor is the appearance of viscoelastic strains in the stretched sample (Area III), which is caused by the presence of SBS copolymer.
- Determining the amount of polymer used for asphalt binder modification is very difficult and requires specialized (very expensive) equipment. The proposed original method can estimate the polymer content in the asphalt binder in a simple but effective way.
Author Contributions
Funding
Institutional Review Board Statement
Informed Consent Statement
Data Availability Statement
Conflicts of Interest
References
- Sengoz, B.; Isikyakar, G. Evaluation of the Properties and Microstructure of SBS and EVA Polymer Modified Bitumen. Constr. Build. Mater. 2008, 22, 1897–1905. [Google Scholar] [CrossRef]
- Kamiya, S.; Tasaka, S.; Zhang, X.; Dong, D.; Inagaki, N. Compatibilizer Role of Styrene-Butadiene-Styrene Triblock Copolymer in Asphalt. Polym. J. 2001, 33, 209–213. [Google Scholar] [CrossRef]
- Stefańczyk, B.; Mieczkowski, P. Mieszanki mineralno-asfaltowe: Wykonawstwo i badania; Wydawnictwa Komunikacji i Łączności: Warszawa, Poland, 2009; ISBN 978-83-206-1676-7. [Google Scholar]
- Fu, H.; Xie, L.; Dou, D.; Li, L.; Yu, M.; Yao, S. Storage Stability and Compatibility of Asphalt Binder Modified by SBS Graft Copolymer. Constr. Build. Mater. 2007, 21, 1528–1533. [Google Scholar] [CrossRef]
- Larsen, D.O.; Alessandrini, J.L.; Bosch, A.; Cortizo, M.S. Micro-Structural and Rheological Characteristics of SBS-Asphalt Blends during Their Manufacturing. Constr. Build. Mater. 2009, 23, 2769–2774. [Google Scholar] [CrossRef]
- García-Morales, M.; Partal, P.; Navarro, F.J.; Martínez-Boza, F.J.; Gallegos, C. Processing, Rheology, and Storage Stability of Recycled EVA/LDPE Modified Bitumen. Polym. Eng. Sci. 2007, 47, 181–191. [Google Scholar] [CrossRef]
- Cortizo, M.S.; Larsen, D.O.; Bianchetto, H.; Alessandrini, J.L. Effect of the Thermal Degradation of SBS Copolymers during the Ageing of Modified Asphalts. Polym. Degrad. Stab. 2004, 86, 275–282. [Google Scholar] [CrossRef]
- Pérez-Lepe, A.; Martínez-Boza, F.J.; Gallegos, C.; González, O.; Muñoz, M.E.; Santamaría, A. Influence of the Processing Conditions on the Rheological Behaviour of Polymer-Modified Bitumen☆. Fuel 2003, 82, 1339–1348. [Google Scholar] [CrossRef]
- Zhu, J.; Birgisson, B.; Kringos, N. Polymer Modification of Bitumen: Advances and Challenges. Eur. Polym. J. 2014, 54, 18–38. [Google Scholar] [CrossRef]
- Wypych, G. Handbook of Polymers; ChemTec Pub: Toronto, Canada, 2012; ISBN 978-1-895198-47-8. [Google Scholar]
- Błażejowski, K.; Styk, S. Technologia Warstw Asfaltowych; WKiŁ: Warszawa, Poland, 2004. [Google Scholar]
- Valkering, C.P.; Vonk, W.C.; Whiteoak, C.D. Improved Asphalt Properties Using SBS Modified Bitumen. Rev. Gen. Des. Routes Et Des. Aerodr. 1992, 693, 9–11. [Google Scholar]
- Porto, M.; Caputo, P.; Loise, V.; Eskandarsefat, S.; Teltayev, B.; Oliviero Rossi, C. Bitumen and Bitumen Modification: A Review on Latest Advances. Appl. Sci. 2019, 9, 742. [Google Scholar] [CrossRef]
- Airey, G. Rheological Properties of Styrene Butadiene Styrene Polymer Modified Road Bitumens⋆. Fuel 2003, 82, 1709–1719. [Google Scholar] [CrossRef]
- Read, J.; Whiteoak, D.; Hunter, R.N. The Shell Bitumen Handbook, 5th ed.; Thomas Telford: London, UK, 2003; ISBN 978-0-7277-3220-0. [Google Scholar]
- Isacsson, U.; Lu, X. Testing and Appraisal of Polymer Modified Road Bitumens—State of the Art. Mater. Struct. 1995, 28, 139–159. [Google Scholar] [CrossRef]
- Singh, S.K.; Kumar, Y.; Ravindranath, S.S. Thermal Degradation of SBS in Bitumen during Storage: Influence of Temperature, SBS Concentration, Polymer Type and Base Bitumen. Polym. Degrad. Stab. 2018, 147, 64–75. [Google Scholar] [CrossRef]
- Sarnowski, M.; Kowalski, K.; Król, J.; Radziszewski, P. Influence of Overheating Phenomenon on Bitumen and Asphalt Mixture Properties. Materials 2019, 12, 610. [Google Scholar] [CrossRef] [PubMed]
- Kumar, P. Evaluation of Physical Properties of SBS Modified Bitumen and Effect of Aging. Chemical Engineering 2012, 46, 8299–8303. [Google Scholar]
- Zhuang, C.; Li, N.; Zhao, W.; Cai, C. Effects of SBS Content on the Performance of Modified Asphalt. Iop Conf. Ser. Mater. Sci. Eng. 2017, 216, 012028. [Google Scholar] [CrossRef]
- Zhang, C.; Wang, H.; You, Z.; Gao, J.; Irfan, M. Performance Test on Styrene-Butadiene-Styrene (SBS) Modified Asphalt Based on the Different Evaluation Methods. Appl. Sci. 2019, 9, 467. [Google Scholar] [CrossRef]
- Nikolaidēs, A. Highway Engineering: Pavements, Materials and Control of Quality; CRC Press: Boca Raton, FL, USA, 2017; ISBN 978-1-138-89376-4. [Google Scholar]
- Sirin, O.; Kim, H.-J.; Tia, M.; Choubane, B. Comparison of Rutting Resistance of Unmodified and SBS-Modified Superpave Mixtures by Accelerated Pavement Testing. Constr. Build. Mater. 2008, 22, 286–294. [Google Scholar] [CrossRef]
- Tayfur, S.; Ozen, H.; Aksoy, A. Investigation of Rutting Performance of Asphalt Mixtures Containing Polymer Modifiers. Constr. Build. Mater. 2007, 21, 328–337. [Google Scholar] [CrossRef]
- Li, K.; Huang, M.; Zhong, H.; Li, B. Comprehensive Evaluation of Fatigue Performance of Modified Asphalt Mixtures in Different Fatigue Tests. Appl. Sci. 2019, 9, 1850. [Google Scholar] [CrossRef]
- Kim, T.W.; Baek, J.; Lee, H.J.; Choi, J.Y. Fatigue Performance Evaluation of SBS Modified Mastic Asphalt Mixtures. Constr. Build. Mater. 2013, 48, 908–916. [Google Scholar] [CrossRef]
- Kluttz, R.; Willis, J.R.; Molenaar, A.; Scarpas, T.; Scholten, E. Fatigue Performance of Highly Modified Asphalt Mixtures in Laboratory and Field Environment. In Proceedings of the 7th RILEM International Conference on Cracking in Pavements; Scarpas, A., Kringos, N., Al-Qadi, I.A.L., Eds.; Springer: Dordrecht, Netherlands, 2012; pp. 687–696. [Google Scholar]
- Isacsson, U.; Zeng, H. Low-Temperature Cracking of Polymer-Modified Asphalt. Mater. Struct. 1998, 31, 58–63. [Google Scholar] [CrossRef]
- Lin, P.; Huang, W.; Li, Y.; Tang, N.; Xiao, F. Investigation of Influence Factors on Low Temperature Properties of SBS Modified Asphalt. Constr. Build. Mater. 2017, 154, 609–622. [Google Scholar] [CrossRef]
- Gul, W.E.; Kuljezniew, W.N. Struktura I Mjechaniczeskoje Swojstwa Polimierow; Издательство Высшая школа: Moskwa, Russia, 1979. [Google Scholar]
- Mieczkowski, P. Substancje Kauczukopodobne w MMA. Mag. Autostrady 2006, 4, 66–73. [Google Scholar]
- Gaweł, I.; Kalabińska, M.; Piłat, J. Wydawnictwa Komunikacji I Łączności Asfalty Drogowe; Wydawnictwa Komunikacji i Łączności: Warszawa, Poland, 2014; ISBN 978-83-206-1945-4. [Google Scholar]
- Zhang, B.; Chen, H.; Zhang, H.; Wu, Y.; Kuang, D.; Guo, F. Laboratory Investigation of Aging Resistance for Rubberized Bitumen Modified by Using Microwave Activation Crumb Rubber and Different Modifiers. Materials 2020, 13, 4230. [Google Scholar] [CrossRef] [PubMed]
- Paliukaite, M.; Assuras, M.; Hesp, S.A.M. Effect of Recycled Engine Oil Bottoms on the Ductile Failure Properties of Straight and Polymer-Modified Asphalt Cements. Constr. Build. Mater. 2016, 126, 190–196. [Google Scholar] [CrossRef]
- Xu, J.; Yang, E.; Luo, H.; Ding, H. Effects of Warm Mix Additives on the Thermal Stress and Ductile Resistance of Asphalt Binders. Constr. Build. Mater. 2020, 238, 117746. [Google Scholar] [CrossRef]
- Mieczkowski, P.; Budzinski, B. Evaluation of The Modification Efficiency of Bituminous Binders with SBS Polymer Based on Changes in Strain Energy in the Ductility Test. IOP Conf. Ser. Mater. Sci. Eng. 2019, 603, 042013. [Google Scholar] [CrossRef]
- Kumar, Y.; Singh, S.K.; Oberoi, D.; Kumar, P.; Mohanty, P.; Ravindranath, S.S. Effect of Molecular Structure and Concentration of Styrene-Butadiene Polymer on Upper Service Temperature Rheological Properties of Modified Binders. Constr. Build. Mater. 2020, 249, 118790. [Google Scholar] [CrossRef]
- Canto, L.B.; Mantovani, G.L.; deAzevedo, E.R.; Bonagamba, T.J.; Hage, E.; Pessan, L.A. Molecular Characterization of Styrene-Butadiene-Styrene Block Copolymers (SBS) by GPC, NMR, and FTIR. Polym. Bull. 2006, 57, 513–524. [Google Scholar] [CrossRef]
- Masson, J.-F.; Pelletier, L.; Collins, P. Rapid FTIR Method for Quantification of Styrene-Butadiene Type Copolymers in Bitumen. J. Appl. Polym. Sci. 2001, 79, 1034–1041. [Google Scholar] [CrossRef]
- Wang, K.; Yuan, Y.; Han, S.; Yang, Y. Application of FTIR Spectroscopy with Solvent-Cast Film and PLS Regression for the Quantification of SBS Content in Modified Asphalt. Int. J. Pavement Eng. 2019, 20, 1336–1341. [Google Scholar] [CrossRef]
- Yan, C.; Huang, W.; Xiao, F.; Wang, L.; Li, Y. Proposing a New Infrared Index Quantifying the Aging Extent of SBS-Modified Asphalt. Road Mater. Pavement Des. 2018, 19, 1406–1421. [Google Scholar] [CrossRef]
- PN-EN 13399:2012 Bitumen and Bituminous Binders. In Determination of Storage Stability; PKN: Warsaw, Poland, 2012.
- PN-EN 14023:2011/Ap2:2020-02. Bitumen and Bituminous Binders-Specification Framework for Polymer Modified Bitumens; PKN: Warsaw, Poland, 2020. [Google Scholar]
- Sybilski, D. Tymczasowe Wytyczne Techniczne. Polimeroasfalty Drogowe (TWT-PAD-2003); Informacje, Instrukcje; IBDiM: Warsaw, Poland, 2003. [Google Scholar]
- EN 1427:2015-08. Bitumen and Bituminous Binders-Determination of the Softening Point-Ring and Ball Method; PKN: Warsaw, Poland, 2015. [Google Scholar]
- PN-EN 1426:2015-08. Bitumen and Bituminous Binders-Determination of Needle Penetration; PKN: Warsaw, Poland, 2015. [Google Scholar]
- PN-EN 13398:2017-12. Bitumen and Bituminous Binders-Determination of the Elastic Recovery of Modified Bitumen; PKN: Warsaw, Poland, 2017. [Google Scholar]
- PN-EN 13589:2011. Bitumen and Bituminous Binders-Determination of the Tensile Properties of Modified Bitumen by the Force Ductility Method; PKN: Warsaw, Poland, 2011. [Google Scholar]
- Andriescu, A.; Hesp, S.; Youtcheff, J. Essential and Plastic Works of Ductile Fracture in Asphalt Binders. Transp. Res. Rec. 2004, 1875, 1–7. [Google Scholar] [CrossRef]





















| Property | Test Method | SBS-L | SBS-R |
|---|---|---|---|
| Specific Gravity | ISO 2781 | 0.94 | 0.94 |
| Bulk Density, kg/dm3 | ASTM D 1895 method B | 0.4 | 0.4 |
| Hardness (15 s/30 s), Shore A | ASTM D 2240 | 70 1 | 75 2 |
| Elongation at Break, % | ISO 37 | 1000 | 820 |
| Melt Flow Rate (200 °C/5 kg), g/10 min | ISO 1133 | <1 | <1 |
| Tensile strength, MPa | ISO 37 | 33 | 27 |
| 300% Modulus, MPa | ISO 37 | 4.8 | 2.5 |
| Polystyrene Content, % | KM 03 | 28.5–32.5 | 29.0–31.0 |
| Vinyl Content, % | KM 03 | ≥35 | ≤15 |
| Styrene/Butadiene Weight Ratio | KM 03 | 30/70 | 30/70 |
| Molecular Weight kg/mol | KM 01 | 138–162 | – |
| Viscosity in Toluene at 25 °C:25 wt %, Pa∙s | KM 06 | 1.4–2.4 | 1.0–1.4 |
| Triblock content, % | KM01 | ≥90 | – |
| Antioxidant content, % | KM08 | ≥0.16 | ≥0.14 |
| Wavenumber (cm−1) | Compound | Origin (α—Bending, β—Stretching) |
|---|---|---|
| 699, 750 | PS | C–H (α-Aromatic ring) |
| 650–750 | PB | =C–H (α-Cis 1,4) |
| 910 | PB | =C–H (α-Cis 1,2) |
| 966 | PB | =C–H (α-Trans 1,4) |
| 1450 | PB | C–H (α-aliphatic –[CH2]n–]) |
| 1450–1500 | PS | C–C (β-Aromatic ring) |
| Type of Test | Maximum Absolute Value of the Difference According to | |
|---|---|---|
| TWT-PAD-2003 | PN-EN 14023:2011/Ap2:2020-02 | |
| Softening point (TR&B) (5 °C/min) (°C) | 2 | 5 |
| Penetration (25 °C, 100 g, 5 s), (mm/10) | 5 | NR |
| Type of Modified Bitumen | Type of SBS | Type of Test | |||||
|---|---|---|---|---|---|---|---|
| Penetration (mm/10) | Softening Point (TR&B) (°C) | ||||||
| Top Part of Sample | Bottom Part of Sample | Difference | Top Part of Sample | Bottom Part of Sample | Difference | ||
| 35/50 +6%SBS | linear | 30.5 | 28.4 | 2.1 | 75.8 | 77.3 | 1.5 |
| radial | 24.9 | 23.3 | 1.6 | 80.6 | 81.6 | 1.0 | |
| 160/220 +6%SBS | linear | 108.7 | 105.2 | 3.5 | 71.4 | 73.2 | 1.8 |
| radial | 100.4 | 98.1 | 2.3 | 73.2 | 74.4 | 1.2 | |
| Type of Test | Standard | Bitumen | |||
|---|---|---|---|---|---|
| Base | After Heating | ||||
| 35/50 | 160/220 | 35/50 | 160/220 | ||
| Penetration (25 °C, 100 g, 5 s.), (mm/10) | EN 1426:2015-08 | 45.4 | 188.7 | 40.6 | 177.3 |
| Penetration (10 °C, 100 g, 5 s.), (mm/10) | 9.8 | 31.5 | 9.6 | 31.1 | |
| Softening point (TR&B) (5 °C/min), (°C) | EN 1427:2015-08 | 54.5 | 37.1 | 54.7 | 38.6 |
| Penetration index (PI), (−) | EN 12591:2010 (Annex A) | –0.36 | –1.65 | –0.28 | –1.48 |
Publisher’s Note: MDPI stays neutral with regard to jurisdictional claims in published maps and institutional affiliations. |
© 2021 by the authors. Licensee MDPI, Basel, Switzerland. This article is an open access article distributed under the terms and conditions of the Creative Commons Attribution (CC BY) license (https://creativecommons.org/licenses/by/4.0/).
Share and Cite
Mieczkowski, P.; Budziński, B.; Słowik, M.; Kempa, J.; Sorociak, W. Experimental Study of Tensile Properties of Styrene–Butadiene–Styrene Modified Asphalt Binders. Materials 2021, 14, 1734. https://doi.org/10.3390/ma14071734
Mieczkowski P, Budziński B, Słowik M, Kempa J, Sorociak W. Experimental Study of Tensile Properties of Styrene–Butadiene–Styrene Modified Asphalt Binders. Materials. 2021; 14(7):1734. https://doi.org/10.3390/ma14071734
Chicago/Turabian StyleMieczkowski, Paweł, Bartosz Budziński, Mieczysław Słowik, Jan Kempa, and Wojciech Sorociak. 2021. "Experimental Study of Tensile Properties of Styrene–Butadiene–Styrene Modified Asphalt Binders" Materials 14, no. 7: 1734. https://doi.org/10.3390/ma14071734
APA StyleMieczkowski, P., Budziński, B., Słowik, M., Kempa, J., & Sorociak, W. (2021). Experimental Study of Tensile Properties of Styrene–Butadiene–Styrene Modified Asphalt Binders. Materials, 14(7), 1734. https://doi.org/10.3390/ma14071734

