Intramolecular C-N Bond Formation via Thermal Arene C-H Bond Activation Supported by Au(III) Complexes
Abstract
1. Introduction
2. Materials and Methods
2.1. General
2.2. Procedures
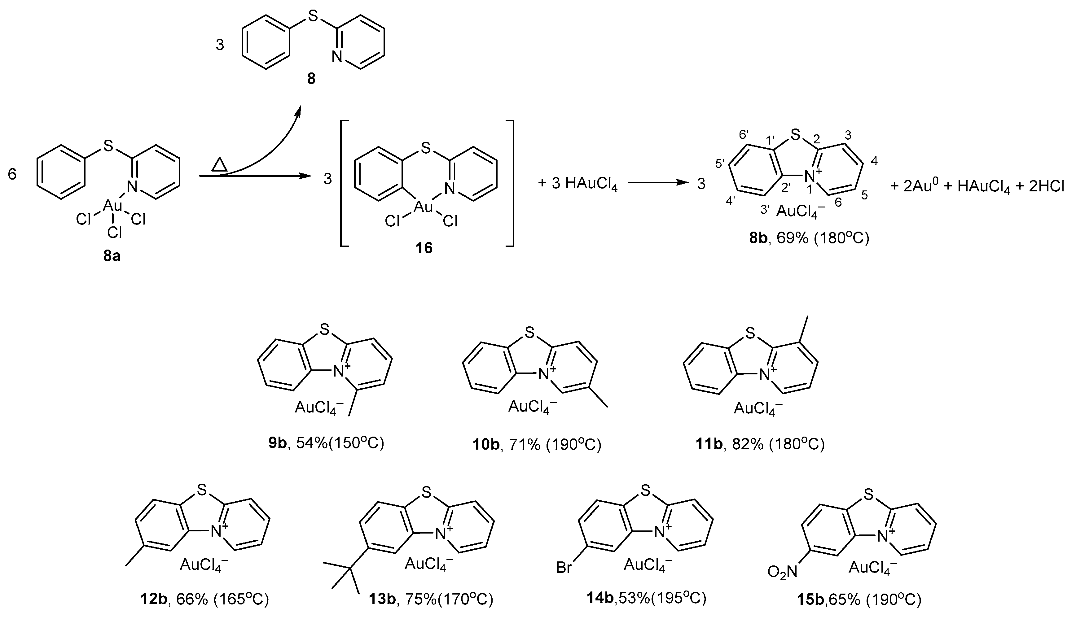
2.2.1. General Procedure for the Synthesis of Ligands 8–15
2.2.2. General Procedure for the Synthesis of Au(III) Trichloride Complexes 8a–15a
2.2.3. General Procedure for the Synthesis of Tetrachloroaurate(III) Salts 8b–15b
2.3. Studies Of Catalytic Properties of 8b–15b
2.4. Metabolic Activity Assay
3. Results and Discussion
3.1. Synthesis and Characterization
3.2. Catalytic Properties
3.3. Biological Activity
4. Conclusions
Supplementary Materials
Author Contributions
Funding
Institutional Review Board Statement
Informed Consent Statement
Data Availability Statement
Conflicts of Interest
References
- Labinger, J.A.; Bercaw, J.E. Understanding and exploiting C-H bond activation. Nature 2002, 417, 507–514. [Google Scholar] [CrossRef] [PubMed]
- Wencel-Delord, J.; Droge, T.; Liu, F.; Glorius, F. Towards mild metal-catalyzed C–H bond activation. Chem. Soc. Rev. 2011, 40, 4740–4761. [Google Scholar] [CrossRef] [PubMed]
- Albrecht, M. Cyclometalation Using d-Block Transition Metals: Fundamental Aspects and Recent Trends. Chem. Rev. 2010, 110, 576–623. [Google Scholar] [CrossRef]
- Meera, G.; Rohit, K.R.; Susan Treesa, G.S.; Anilkumar, G. Advances and Prospects in Gold-Catalyzed C−H Activation. Asian J. Org. Chem. 2020, 9, 144–161. [Google Scholar] [CrossRef]
- Zhang, Y.-H.; Shi, G.-F.; Yu, J.-Q. Carbon-carbon r-bond formation via C-H bond functionalization. In Comprehensive Organic Synthesis, 2nd ed.; Elsevier: Amsterdam, The Netherlands, 2014; pp. 1101–1209. [Google Scholar]
- Xie, J.; Zhu, C. Sustainable C(sp3 )-H Bond Functionalization; Springer: Heidelberg, Germany, 2016. [Google Scholar]
- Rej, S.; Das, A.; Chatani, N. Strategic evolution in transition metal-catalyzed directed C–H bond activation and future directions. Coord. Chem. Rev. 2021, 431, 213683–213719. [Google Scholar] [CrossRef]
- Borpatra, P.J.; Deka, B.; Deb, M.L.; Baruah, P.K. Recent advances in intramolecular C–O/C–N/C–S bond formation via C–H functionalization. Org. Chem. Front. 2019, 6, 3445–3489. [Google Scholar] [CrossRef]
- Kumar, R.; Nevado, C. Cyclometalated Gold(III) Complexes: Synthesis, Reactivity, and Physicochemical Properties. Angew. Chem. Int. Ed. 2017, 56, 1994–2015. [Google Scholar] [CrossRef]
- Corma, A.; Leyva-Perez, A.; Sabater, M.J. Gold-Catalyzed Carbon−Heteroatom Bond-Forming Reactions. Chem. Rev. 2011, 111, 1657–1712. [Google Scholar] [CrossRef]
- Li, Z.; Brouwer, C.H.; He, C.H. Gold-Catalyzed Organic Transformations. Chem. Rev. 2008, 108, 3239–3265. [Google Scholar]
- Constable, E.C.; Leese, T.A. Cycloaurated derivatives of 2-phenylpyridine. J. Organomet. Chem. 1989, 363, 419–424. [Google Scholar] [CrossRef]
- Stoccoro, S.; Alesso, G.; Cinellu, M.A.; Minghetti, G.; Zucca, A.; Manassero, M.; Manassero, C. Reactivity of 1,3-bis(2-pyridyl)benzene, N⁁CH⁁N, with gold(iii) chlorides: Salts, adducts and cyclometalated pincer derivatives. Crystal and molecular structures of [HN⁁CH⁁N][AuCl4], [Au(N⁁C⁁N)Cl][PF6] and [Au(N⁁C⁁N)Cl(PPh3)2][PF6]. Dalton Trans. 2009, 18, 3467–3477. [Google Scholar]
- Mori, S.; Osuka, A. Aromatic and Antiaromatic Gold(III) Hexaphyrins with Multiple Gold−Carbon Bonds. J. Am. Chem. Soc. 2005, 127, 8030–8031. [Google Scholar] [CrossRef]
- Louillat, M.-L.; Patureau, F.W. Oxidative C–H amination reactions. Chem. Soc. Rev. 2014, 43, 901–910. [Google Scholar] [CrossRef]
- Tsang, W.C.P.; Zheng, N.; Buchwald, S.L. Combined C−H Functionalization/C−N Bond Formation Route to Carbazoles. J. Am. Chem. Soc. 2005, 127, 14560–14561. [Google Scholar] [CrossRef]
- Wang, H.; Wang, Y.; Peng, C.; Zhang, J.; Zhu, Q.A. Direct Intramolecular C−H Amination Reaction Cocatalyzed by Copper(II) and Iron(III) as Part of an Efficient Route for the Synthesis of Pyrido[1,2-a]benzimidazoles from N-Aryl-2-aminopyridines. J. Am. Chem. Soc. 2010, 132, 13217–13219. [Google Scholar]
- Hu, J.; Chen, S.; Sun, Y.; Yang, J.; Rao, Y. Synthesis of Tri- and Tetrasubstituted Pyrazoles via Ru(II) Catalysis: Intramolecular Aerobic Oxidative C–N Coupling. Org. Lett. 2012, 14, 5030–5033. [Google Scholar]
- Wang, X.; Jin, Y.; Zhao, Y.; Zhu, L.; Fu, H. Copper-Catalyzed Aerobic Oxidative Intramolecular C–H Amination Leading to Imidazobenzimidazole Derivatives. Org. Lett. 2012, 14, 452–455. [Google Scholar]
- Nadres, E.T.; Daugulis, O. Heterocycle Synthesis via Direct C–H/N–H Coupling. J. Am. Chem. Soc. 2012, 134, 7–10. [Google Scholar] [CrossRef] [PubMed]
- Kim, J.H.; Mertens, R.T.; Agarwal, A.; Parkin, S.; Berger, G.; Awuah, S.G. Direct intramolecular carbon(sp2)–nitrogen(sp2) reductive elimination from gold(III). Dalton Trans. 2019, 48, 6273–6282. [Google Scholar]
- Cambridge Crystallographic Database. Available online: https://www.ccdc.cam.ac.uk/structures/ (accessed on 7 May 2019).
- Mruk, J.; Pazderski, L.; Ścianowski, J.; Wojtczak, A. Structural and NMR spectroscopic studies of 2-phenylsulfanylpyridine and its analogues or derivatives, and their Au(III) chloride complexes. Inorg. Chim. Acta 2020, 500, 119182. [Google Scholar]
- Fushita, Y.; Ieda, H.; Kayama, A.; Kinoshita-Nagaoka, J.; Kawano, H.; Kameda, S.; Mikuriya, M. Cycloauration of 2-substituted pyridine deivatives. Synthesis, structure and reactivity of six-membered cycloaurated complexes od 2-anilino-, 2-phenoxy- and 2-(phenylsulfanyl)-pyridine. J. Chem. Soc. Dalton Trans. 1998, 4095–4100. [Google Scholar] [CrossRef]
- McConnell, A.A.; Brown, D.H.; Smith, W.E. The vibrational properties of some gold(III)-halide complexes. Spectrochimica Acta 1981, 37, 583–585. [Google Scholar] [CrossRef]
- Lo, V.K.-Y.; Liu, Y.; Wong, M.-K.; Che, C.-M. Gold(III) Salen Complex-Catalyzed Synthesis of Propargylamines via a Three-Component Coupling Reaction. Org. Lett. 2006, 8, 1529–1532. [Google Scholar]
- Lo, V.K.-Y.; Kung, K.K.-Y.; Wong, M.-K.; Che, C.-M. Gold(III) (C^N) complex-catalyzed synthesis of propargylamines via a three-component coupling reaction of aldehydes, amines and alkynes. J. Organomet. Chem. 2009, 694, 583–591. [Google Scholar]
- Zhang, J.; Zhang, B.; Li, X.; Han, X.; Liu, R.; Fang, J. Small molecule inhibitors of mammalian thioredoxin reductase as potential anticancer agents: An update. Med. Res. Rev. 2019, 39, 5–39. [Google Scholar] [CrossRef]
- Mosmann, T. Rapid colorimetric assay for cellular growth and survival: Application to proliferation and cytotoxicity assays. J. Immunol. Methods 1983, 65, 55–63. [Google Scholar] [CrossRef]









| Catalyst | t [h] | T [°C] | Yield [%] |
|---|---|---|---|
| 8b | 24 | 55 | 99 |
| 9b | 24 | 55 | 97 |
| 10b | 24 | 55 | 97 |
| 11b | 24 | 55 | 99 |
| 12b | 24 | 55 | 99 |
| 13b | 24 | 55 | 99 |
| 14b | 24 | 55 | 98 |
| 15b | 24 | 40 | 58 |
| 15b | 48 | 40 | 66 |
| 15b | 24 | 55 | 99 |
| NaAuCl4 | 24 | 55 | 84 |
| Compound | IC50 [μM] a | |||
|---|---|---|---|---|
| HL-60 | MCF-7 | MCF-10A | Selectivity Index MCF-10A/MCF-7 | |
| 8b | >100 | >100 | ||
| 9b | 42.7 ± 1.4 | 76.9 ± 4.4 | ||
| 10b | >100 | 71.6 ± 6.7 | ||
| 11b | 36.5 ± 2.2 | 74.0 ± 0.3 | ||
| 12b | 41.2 ± 1.8 | 21.3 ± 2.0 | 21.8 ± 2.3 | 1.02 |
| 13b | 20.9 ± 0.9 | 16.9 ± 0.8 | 20.7 ± 0.5 | 1.20 |
| 14b | 75.8 ± 6.8 | 41.5 ± 1.7 | ||
| 15b | >100 | >100 | ||
| Cisplatin | 4.9 ± 0.1 | 23.6 ± 1.3 | ||
Publisher’s Note: MDPI stays neutral with regard to jurisdictional claims in published maps and institutional affiliations. |
© 2021 by the authors. Licensee MDPI, Basel, Switzerland. This article is an open access article distributed under the terms and conditions of the Creative Commons Attribution (CC BY) license (http://creativecommons.org/licenses/by/4.0/).
Share and Cite
Mruk, J.; Pacuła-Miszewska, A.J.; Pazderski, L.; Drogosz-Stachowicz, J.; Janecka, A.E.; Ścianowski, J. Intramolecular C-N Bond Formation via Thermal Arene C-H Bond Activation Supported by Au(III) Complexes. Materials 2021, 14, 1676. https://doi.org/10.3390/ma14071676
Mruk J, Pacuła-Miszewska AJ, Pazderski L, Drogosz-Stachowicz J, Janecka AE, Ścianowski J. Intramolecular C-N Bond Formation via Thermal Arene C-H Bond Activation Supported by Au(III) Complexes. Materials. 2021; 14(7):1676. https://doi.org/10.3390/ma14071676
Chicago/Turabian StyleMruk, Julianna, Agata J. Pacuła-Miszewska, Leszek Pazderski, Joanna Drogosz-Stachowicz, Anna E. Janecka, and Jacek Ścianowski. 2021. "Intramolecular C-N Bond Formation via Thermal Arene C-H Bond Activation Supported by Au(III) Complexes" Materials 14, no. 7: 1676. https://doi.org/10.3390/ma14071676
APA StyleMruk, J., Pacuła-Miszewska, A. J., Pazderski, L., Drogosz-Stachowicz, J., Janecka, A. E., & Ścianowski, J. (2021). Intramolecular C-N Bond Formation via Thermal Arene C-H Bond Activation Supported by Au(III) Complexes. Materials, 14(7), 1676. https://doi.org/10.3390/ma14071676

