Scattering Mechanisms and Suppression of Bipolar Diffusion Effect in Bi2Te2.85Se0.15Ix Compounds
Abstract
1. Introduction
2. Materials and Methods
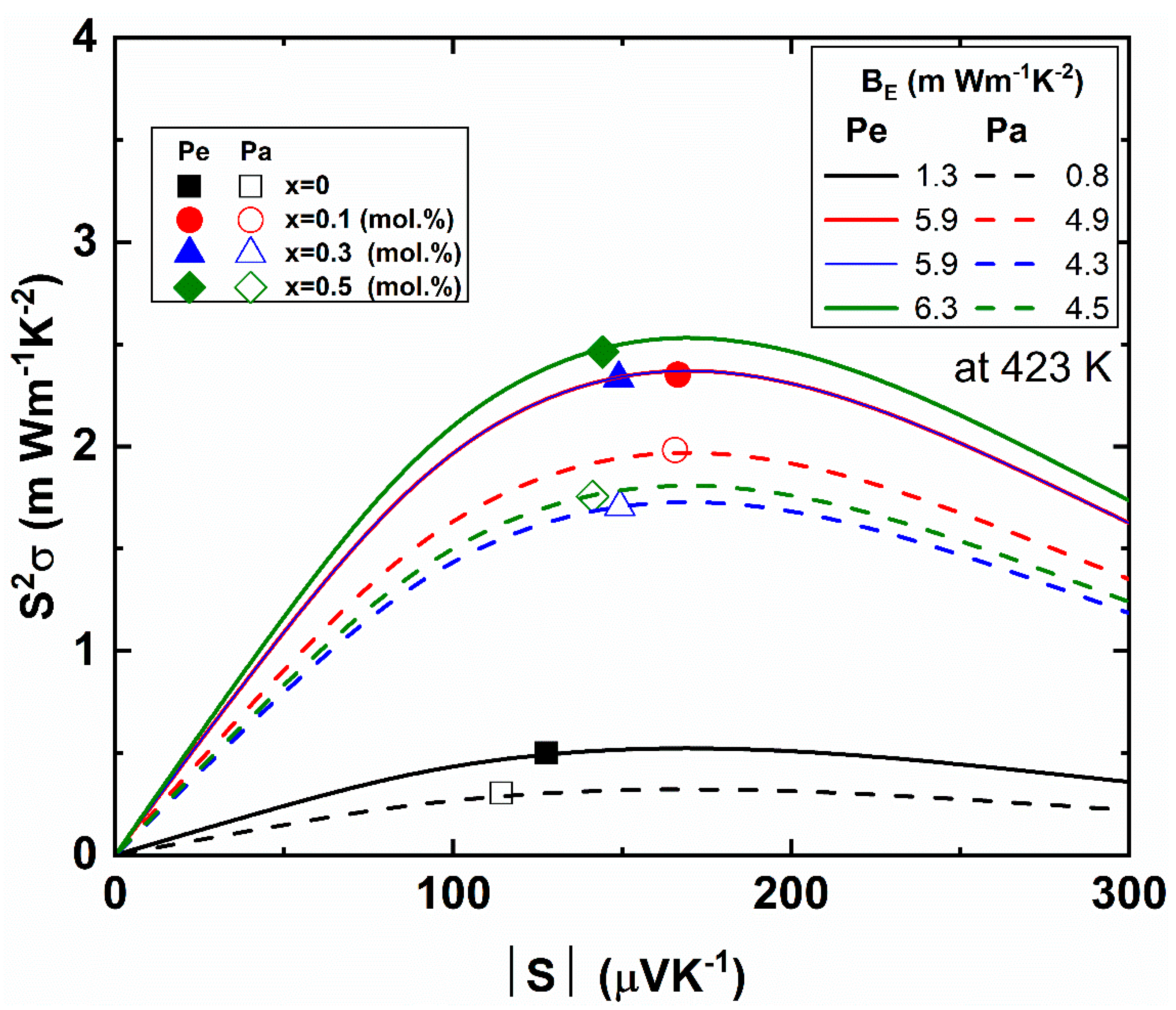
3. Results and Discussion
4. Conclusions
Author Contributions
Funding
Institutional Review Board Statement
Informed Consent Statement
Data Availability Statement
Conflicts of Interest
References
- He, J.; Tritt, T.M. Advances in Thermoelectric Materials Research: Looking back and Moving Forward. Science 2017, 357. [Google Scholar] [CrossRef] [PubMed]
- Yang, L.; Chen, Z.G.; Dargusch, M.S.; Zou, J. High Performance Thermoelectric Materials: Progress and Their Applications. Adv. Energy Mater. 2018, 8, 1701797. [Google Scholar] [CrossRef]
- Han, C.; Sun, Q.; Li, Z.; Dou, S.X. Thermoelectric Enhancement of Different Kinds of Metal Chalcogenides. Adv. Energy Mater. 2016, 6, 1600498. [Google Scholar] [CrossRef]
- Hu, L.; Zhu, T.; Liu, X.; Zhao, X. Point Defect Engineering of High-Performance Bismuth-Telluride-Based Thermoelectric Materials. Adv. Funct. Mater. 2014, 24, 5211–5218. [Google Scholar] [CrossRef]
- Kim, Y.M.; Lydia, R.; Kim, J.H.; Lin, C.C.; Ahn, K.; Rhyee, J.S. Enhancement of Thermoelectric Properties in Liquid-Phase Sintered Te-Excess Bismuth Antimony Tellurides Prepared by Hot-Press Sintering. Acta Mater. 2017, 135, 297–303. [Google Scholar] [CrossRef]
- Deng, R.; Su, X.; Zheng, Z.; Liu, W.; Yan, Y.; Zhang, Q.; Dravid, V.P.; Uher, C.; Kanatzidis, M.G.; Tang, X. Thermal Conductivity in Bi0.5Sb1.5Te3+x and the Role of Dense Dislocation Arrays at Grain Boundaries. Sci. Adv. 2018, 4, 5606. [Google Scholar] [CrossRef] [PubMed]
- Xie, W.; Tang, X.; Yan, Y.; Zhang, Q.; Tritt, T.M. Unique Nanostructures and Enhanced Thermoelectric Performance of Melt-Spun BiSbTe Alloys. Appl. Phys. Lett. 2009, 94, 102111. [Google Scholar] [CrossRef]
- Liu, W.S.; Zhang, Q.; Lan, Y.; Chen, S.; Yan, X.; Zhang, Q.; Wang, H.; Wang, D.; Chen, G.; Ren, Z. Thermoelectric Property Studies on Cu-Doped n-Type CuxBi2Te2.7Se0.3 Nanocomposites. Adv. Energy Mater. 2011, 1, 577–587. [Google Scholar] [CrossRef]
- Lee, G.E.; Kim, I.H.; Lim, Y.S.; Seo, W.S.; Choi, B.J.; Hwang, C.W. Preparation and Thermoelectric Properties of Iodine-Doped Bi2te3-Bi2se3 Solid Solutions. J. Korean Phys. Soc. 2014, 65, 696–701. [Google Scholar] [CrossRef]
- Cho, H.; Kim, J.H.; Back, S.Y.; Ahn, K.; Rhyee, J.S.; Park, S.D. Enhancement of Thermoelectric Properties in CuI-Doped Bi2Te2.7Se0.3 by Hot-Deformation. J. Alloys Compd. 2018, 731, 531–536. [Google Scholar] [CrossRef]
- Liu, Y.; Zhang, Y.; Lim, K.H.; Ibáñez, M.; Ortega, S.; Li, M.; David, J.; Martí-Sánchez, S.; Ng, K.M.; Arbiol, J.; et al. High Thermoelectric Performance in Crystallographically Textured n-Type Bi2Te3-xSex Produced from Asymmetric Colloidal Nanocrystals. ACS Nano 2018, 12, 7174–7184. [Google Scholar] [CrossRef]
- Zhai, R.; Hu, L.; Wu, H.; Xu, Z.; Zhu, T.J.; Zhao, X.B. Enhancing Thermoelectric Performance of n-Type Hot Deformed Bismuth-Telluride-Based Solid Solutions by Nonstoichiometry-Mediated Intrinsic Point Defects. ACS Appl. Mater. Interfaces 2017, 9, 28577–28585. [Google Scholar] [CrossRef] [PubMed]
- Hu, L.; Zhang, Y.; Wu, H.; Liu, Y.; Li, J.; He, J.; Ao, W.; Liu, F.; Pennycook, S.J.; Zeng, X. Synergistic Compositional–Mechanical–Thermal Effects Leading to a Record High zT in n-Type V2VI3 Alloys Through Progressive Hot Deformation. Adv. Funct. Mater. 2018, 28, 1–13. [Google Scholar] [CrossRef]
- Snyder, G.J.; Toberer, E.S. Complex TE Meterials. Nat. Mater. 2008, 7, 105–114. [Google Scholar] [CrossRef]
- Soni, A.; Yanyuan, Z.; Ligen, Y.; Aik, M.K.K.; Dresselhaus, M.S.; Xiong, Q. Enhanced Thermoelectric Properties of Solution Grown Bi2Te3-Xsex Nanoplatelet Composites. Nano Lett. 2012, 12, 1203–1209. [Google Scholar] [CrossRef] [PubMed]
- Cai, X.; Fan, X.; Rong, Z.; Yang, F.; Gan, Z.; Li, G. Improved Thermoelectric Properties of Bi2Te3-xSex Alloys by Melt Spinning and Resistance Pressing Sintering. J. Phys. D Appl. Phys. 2014, 47. [Google Scholar] [CrossRef]
- Lee, G.E.; Kim, I.H.; Lim, Y.S.; Seo, W.S.; Choi, B.J.; Hwang, C.W. Preparation and Thermoelectric Properties of Doped Bi2Te3-Bi2Se3 Solid Solutions. J. Electron. Mater. 2014, 43, 1650–1655. [Google Scholar] [CrossRef]
- Duan, X.; Hu, K.; Ding, S.; Man, D.; Jin, H. Influence of Ga-Doping on the Thermoelectric Properties of Bi(2-x)GaxTe2.7Se0.3. Alloy Prog. Nat. Sci. Mater. Int. 2015, 25, 29–33. [Google Scholar] [CrossRef]
- Kim, J.H.; Cho, H.; Yun, J.H.; Back, S.Y.; Lee, C.H.; Shim, J.; Rhyee, J.S. Possible Rashba Band Splitting and Thermoelectric Properties in CuI-Doped Bi2Te2.7Se0.3 Bulk Crystals. J. Alloy. Compd. 2019, 806, 636–642. [Google Scholar] [CrossRef]
- Kim, J.H.; Cho, H.; Back, S.Y.; Yun, J.H.; Lee, H.S.; Rhyee, J.S. Lattice Distortion and Anisotropic Thermoelectric Properties in Hot-Deformed CuI-Doped Bi2Te2.7Se0.3. J. Alloy. Compd. 2020, 815, 152649. [Google Scholar] [CrossRef]
- Yang, J.Y.; Fan, X.A.; Chen, R.G.; Zhu, W.; Bao, S.Q.; Duan, X.K. Consolidation and Thermoelectric Properties of n-Type Bismuth Telluride Based Materials by Mechanical Alloying and Hot Pressing. J. Alloy. Compd. 2006, 416, 270–273. [Google Scholar] [CrossRef]
- Fusa, M.; Sumida, N.; Hasezaki, K. Preparation of n-Type Bi2Te2.85Se0.15 Thermoelectric Semiconductor without Harmful Dopants. Mater. Trans. 2012, 53, 597–600. [Google Scholar] [CrossRef]
- Yan, X.; Poudel, B.; Ma, Y.; Liu, W.S.; Joshi, G.; Wang, H.; Lan, Y.; Wang, D.; Chen, G.; Ren, Z.F. Experimental Studies on Anisotropic Thermoelectric Properties and Structures of n-Type Bi2Te2.7Se0.3. Nano Lett. 2010, 10, 3373–3378. [Google Scholar] [CrossRef]
- Hu, L.; Gao, H.; Liu, X.; Xie, H.; Shen, J.; Zhu, T.; Zhao, X. Enhancement in Thermoelectric Performance of Bismuth Telluride Based Alloys by Multi-Scale Microstructural Effects. J. Mater. Chem. 2012, 22, 16484–16490. [Google Scholar] [CrossRef]
- Wang, S.; Tan, G.; Xie, W.; Zheng, G.; Li, H.; Yang, J.; Tang, X. Enhanced Thermoelectric Properties of Bi2(Te1-xSex)3-Based Compounds as N-Type Legs for Low-Temperature Power Generation. J. Mater. Chem. 2012, 22, 20943–20951. [Google Scholar] [CrossRef]
- Lee, G.E.; Eum, A.Y.; Song, K.M.; Kim, I.H.; Lim, Y.S.; Seo, W.S.; Choi, B.J.; Hwang, C.W. Preparation and Thermoelectric Properties of n-Type Bi2Te2.7Se0.3:Dm. J. Electron. Mater. 2015, 44, 1579–1584. [Google Scholar] [CrossRef]
- Cho, H.; Yun, J.H.; Kim, J.H.; Back, S.Y.; Lee, H.S.; Kim, S.J.; Byeon, S.; Jin, H.; Rhyee, J.S. Possible Charge Density Wave and Enhancement of Thermoelectric Properties at Mild-Temperature Range in n-Type CuI-Doped Bi2Te2.1Se0.9 Compounds. ACS Appl. Mater. Interfaces 2020, 12, 925–933. [Google Scholar] [CrossRef] [PubMed]
- Kim, J.H.; Song, Y.J.; Rhyee, J.S.; Kim, B.S.; Park, S.D.; Lee, H.J.; Shin, J.W. Small-Polaron Transport and Thermoelectric Properties of the Misfit-Layer Composite (BiSe)1.09TaSe2/TaSe2. Phys. Rev. B 2013, 87, 1–6. [Google Scholar] [CrossRef]
- Wu, F.; Wang, W.; Hu, X.; Tang, M. Thermoelectric Properties of I-Doped n-Type Bi2Te3-Based Material Prepared by Hydrothermal and Subsequent Hot Pressing. Prog. Nat. Sci. Mater. Int. 2017, 27, 203–207. [Google Scholar] [CrossRef]
- Shuai, J.; Mao, J.; Song, S.; Zhu, Q.; Sun, J.; Wang, Y.; He, R.; Zhou, J.; Chen, G.; Singh, D.J.; et al. Tuning the Carrier Scattering Mechanism to Effectively Improve the Thermoelectric Properties. Energy Environ. Sci. 2017, 10, 799–807. [Google Scholar] [CrossRef]
- Rowe, D.M. Materials, Preparation, and Characterization in Thermoelectrics; CRC Press: New York, NY, USA, 2012; 544p. [Google Scholar]
- Rowe, D.M. CRC Handbook of Thermoelectrics; CRC Press: Florida, FL, USA, 1995; pp. 43–53. [Google Scholar]
- Zhao, L.D.; Zhang, B.P.; Liu, W.S.; Li, J.F. Effect of Mixed Grain Sizes on Thermoelectric Performance of Bi2Te3 Compound. J. Appl. Phys. 2009, 105. [Google Scholar] [CrossRef]
- Fu, C.; Zhu, T.; Liu, Y.; Xie, H.; Zhao, X. Band Engineering of High Performance P-Type FeNbSb Based Half-Heusler Thermoelectric Materials for Figure of Merit Zt > 1. Energy Environ. Sci. 2015, 8, 216–220. [Google Scholar] [CrossRef]
- Zhang, L.; Xiao, P.; Shi, L.; Henkelman, G.; Goodenough, J.B.; Zhou, J. Suppressing the Bipolar Contribution to the Thermoelectric Properties of Mg2si0.4sn0.6 by Ge Substitution. J. Appl. Phys. 2015, 117, 115103. [Google Scholar] [CrossRef]
- Oh, T.S.; Hyun, D.; Kolomoets, N.V. Thermoelectric Properties of the Hot-Pressed (Bi,Sb)2(Te,Se)3 Alloys. Scr. Metter. 2000, 42, 849–854. [Google Scholar] [CrossRef]
- Sumithra, S.; Takas, N.J.; Misra, D.K.; Nolting, W.M.; Poudeu, P.F.P.; Stokes, K.L. Enhancement in Thermoelectric Figure of Merit in Nanostructured Bi2Te3 with Semimetal Nanoinclusions. Adv. Energy Mater. 2011, 1, 1141–1147. [Google Scholar] [CrossRef]
- Heremans, J.P.; Wiendlocha, B.; Chamoire, A.M. Resonant Levels in Bulk Thermoelectric Semiconductors. Energy Environ. Sci. 2012, 5, 5510–5530. [Google Scholar] [CrossRef]
- Wu, L.; Yang, J.; Wang, S.; Wei, P.; Yang, J.; Zhang, W.; Chen, L. Two-Dimensional Thermoelectrics with Rashba Spin-Split Bands in Bulk BiTeI. Phys. Rev. B 2014, 90, 1–7. [Google Scholar] [CrossRef]
- Wang, S.; Li, H.; Lu, R.; Zheng, G.; Tang, X. Metal Nanoparticle Decorated n-Type Bi2Te3-Based Materials with Enhanced Thermoelectric Performances. Nanotechnology 2013, 24. [Google Scholar] [CrossRef]
- Peng, H.; Kioussis, N.; Snyder, G.J. Elemental Tellurium as a Chiral p-Type Thermoelectric Material. Phys. Rev. B 2014, 89, 1–7. [Google Scholar] [CrossRef]
- Kim, H.S.; Heinz, N.A.; Gibbs, Z.M.; Tang, Y.; Kang, S.D.; Snyder, G.J. High Thermoelectric Performance In (Bi0.25Sb0.75)2Te3 Due to Band Convergence and Improved by Carrier Concentration Control. Mater. Today 2017, 20, 452–459. [Google Scholar] [CrossRef]
- Kim, J.H.; Rhyee, J.S.; Kwon, Y.S. Magnon Gap Formation and Charge Density Wave Effect on Thermoelectric Properties in the SmNiC2 Compound. Phys. Rev. B 2012, 86, 2–7. [Google Scholar] [CrossRef]
- Zhu, T.; Gao, H.; Chen, Y.; Zhao, X. Ioffe-Regel Limit and Lattice Thermal Conductivity Reduction of High Performance (AgSbTe2)15(GeTe)85 Thermoelectric Materials. J. Mater. Chem. A 2014, 2, 3251–3256. [Google Scholar] [CrossRef]
- Hu, L.; Wu, H.; Zhu, T.; Fu, C.; He, J.; Ying, P.; Zhao, X. Tuning Multiscale Microstructures to Enhance Thermoelectric Performance of n-Type Bismuth-Telluride-Based Solid Solutions. Adv. Energy Mater. 2015, 5, 1–13. [Google Scholar] [CrossRef]
- Zhu, T.J.; Hu, L.P.; Zhao, X.B.; He, J. New Insights Into Intrinsic Point Defects in Ⅴ2Ⅵ3 Thermoelectric Materials. Adv. Sci. 2016, 3. [Google Scholar] [CrossRef]
- Rhyee, J.S.; Cho, E.; Ahn, K.; Lee, K.H.; Lee, S.M. Thermoelectric Properties of Bipolar Diffusion Effect on In4Se3-Xtex Compounds. Appl. Phys. Lett. 2010, 97, 152104. [Google Scholar] [CrossRef]
- Muzaffar, M.U.; Zhu, B.; Yang, Q.; Zhou, Y.; Zhang, S.; Zhang, Z.; He, J. Suppressing Bipolar Effect to Broadening the Optimum Range of Thermoelectric Performance for P-Type Bismuth Telluride–Based Alloys Via Calcium Doping. Mater. Today Phys. 2019, 9, 100130. [Google Scholar] [CrossRef]
- Witting, I.T.; Chasapis, T.C.; Ricci, F.; Peters, M.; Heinz, N.A.; Hautier, G.; Snyder, G.J. The Thermoelectric Properties of Bismuth Telluride. Adv. Electron. Mater. 2019, 5, 1800904. [Google Scholar] [CrossRef]
- Michel, C.; Baranovskii, S.D.; Klar, P.J.; Thomas, P.; Goldlücke, B. Strong Non-Arrhenius Temperature Dependence of the Resistivity in the Regime of Traditional Band Transport. Appl. Phys. Lett. 2006, 89, 112116. [Google Scholar] [CrossRef]
- Hashibon, A.; Elsässer, C. First-Principles Density Functional Theory Study of Native Point Defects in Bi2Te3. Phys. Rev. B 2011, 84, 144117. [Google Scholar] [CrossRef]
- Rhyee, J.-S.; Lee, K.H.; Lee, S.M.; Cho, E.; Kim, S.I.; Lee, E.; Kwon, Y.S.; Shim, J.H.; Kotliar, G. Peierls Distortion as a Route to High Thermoelectric Performance in In4Se3-δ Crystals. Nature 2009, 459, 965–968. [Google Scholar] [CrossRef]
- Ji, H.S.; Kim, H.; Lee, C.; Rhyee, J.S.; Kim, M.H.; Kaviany, M.; Shim, J.H. Vacancy-Suppressed Lattice Conductivity of High-ZT In4Se3-x. Phys. Rev. B 2013, 87, 125111. [Google Scholar] [CrossRef]
- Zhang, X.; Bu, Z.; Shi, X.; Chen, Z.; Lin, S.; Shan, B.; Wood, M.; Snyder, A.H.; Chen, L.; Snyder, G.J.; et al. Electronic Quality Factor for Thermoelectrics. Sci. Adv. 2020, 6, 0726. [Google Scholar] [CrossRef] [PubMed]







Publisher’s Note: MDPI stays neutral with regard to jurisdictional claims in published maps and institutional affiliations. |
© 2021 by the authors. Licensee MDPI, Basel, Switzerland. This article is an open access article distributed under the terms and conditions of the Creative Commons Attribution (CC BY) license (http://creativecommons.org/licenses/by/4.0/).
Share and Cite
Kim, J.H.; Back, S.Y.; Yun, J.H.; Lee, H.S.; Rhyee, J.-S. Scattering Mechanisms and Suppression of Bipolar Diffusion Effect in Bi2Te2.85Se0.15Ix Compounds. Materials 2021, 14, 1564. https://doi.org/10.3390/ma14061564
Kim JH, Back SY, Yun JH, Lee HS, Rhyee J-S. Scattering Mechanisms and Suppression of Bipolar Diffusion Effect in Bi2Te2.85Se0.15Ix Compounds. Materials. 2021; 14(6):1564. https://doi.org/10.3390/ma14061564
Chicago/Turabian StyleKim, Jin Hee, Song Yi Back, Jae Hyun Yun, Ho Seong Lee, and Jong-Soo Rhyee. 2021. "Scattering Mechanisms and Suppression of Bipolar Diffusion Effect in Bi2Te2.85Se0.15Ix Compounds" Materials 14, no. 6: 1564. https://doi.org/10.3390/ma14061564
APA StyleKim, J. H., Back, S. Y., Yun, J. H., Lee, H. S., & Rhyee, J.-S. (2021). Scattering Mechanisms and Suppression of Bipolar Diffusion Effect in Bi2Te2.85Se0.15Ix Compounds. Materials, 14(6), 1564. https://doi.org/10.3390/ma14061564
