Ring-Forming Polymerization toward Perfluorocyclobutyl and Ortho-Diynylarene-Derived Materials: From Synthesis to Practical Applications
Abstract
1. Introduction
2. Synthesis of PFCB Polymers
2.1. PFCB-Based Copolymers and Blends
2.2. PFCB-Based Dielectric Polymers
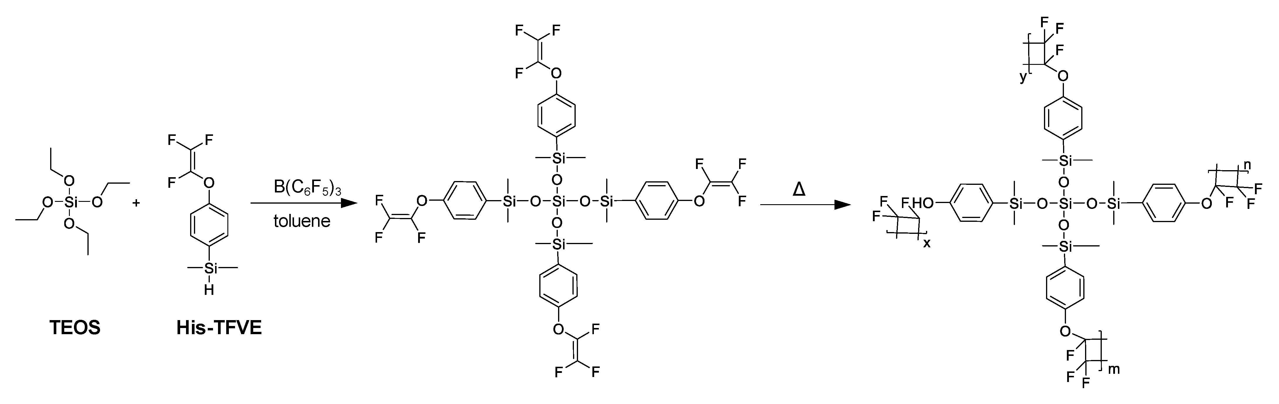
2.3. PFCB-Based Polysiloxanes
2.4. PFCB-Based Polymers from Renewable and Biobased Materials
2.5. Amphiphilic PFCB Polymers
2.6. Sulfonated PFCB-Based Polymers
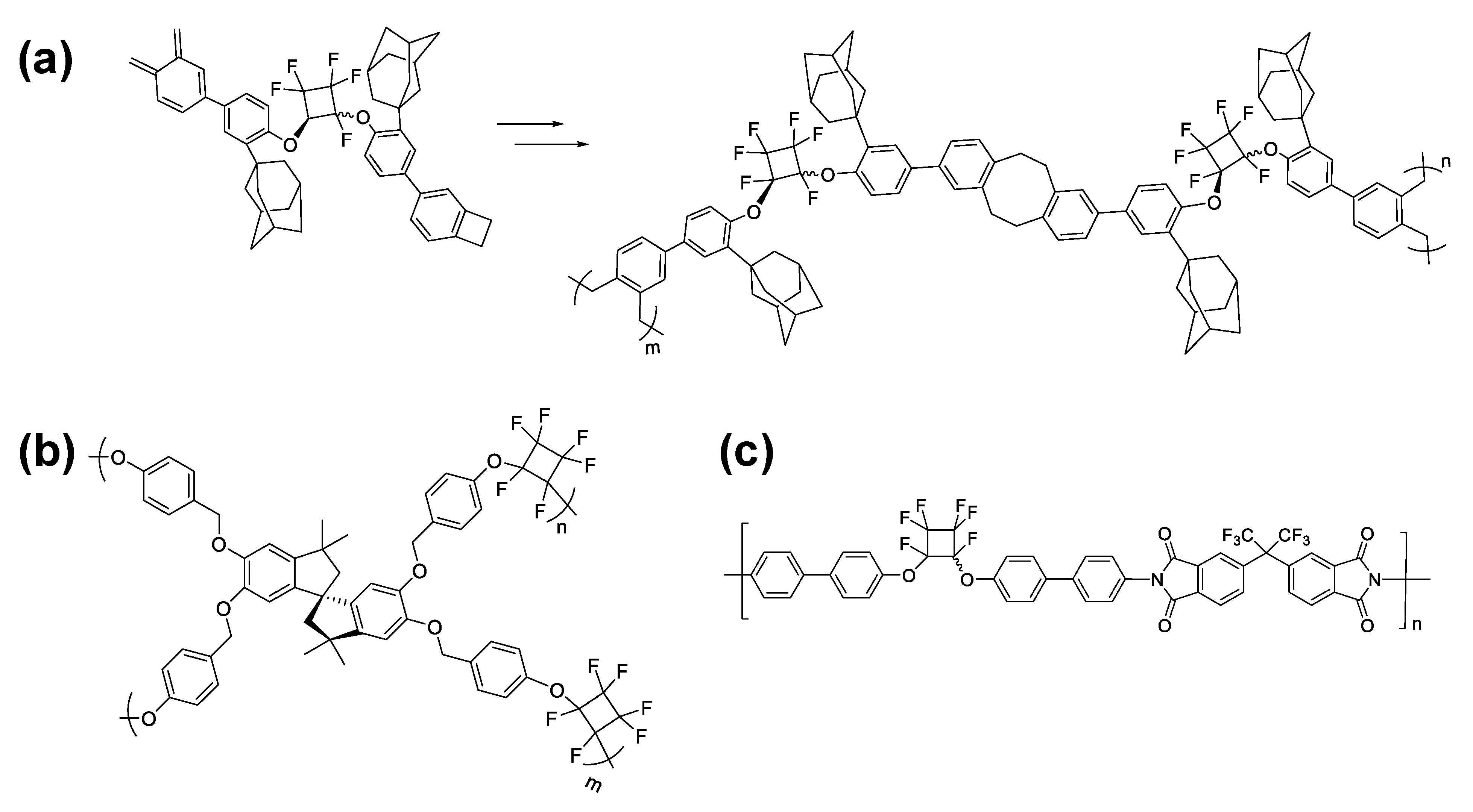
2.7. PFCBs with Polycyclic Aromatic Rings
2.8. Applications
2.8.1. Surface Coatings
2.8.2. Membrane Layer Materials
2.8.3. Electrical Applications
2.8.4. Optical Applications
3. ODA-Derived Thermosets
3.1. Synthesis of ODA Monomers
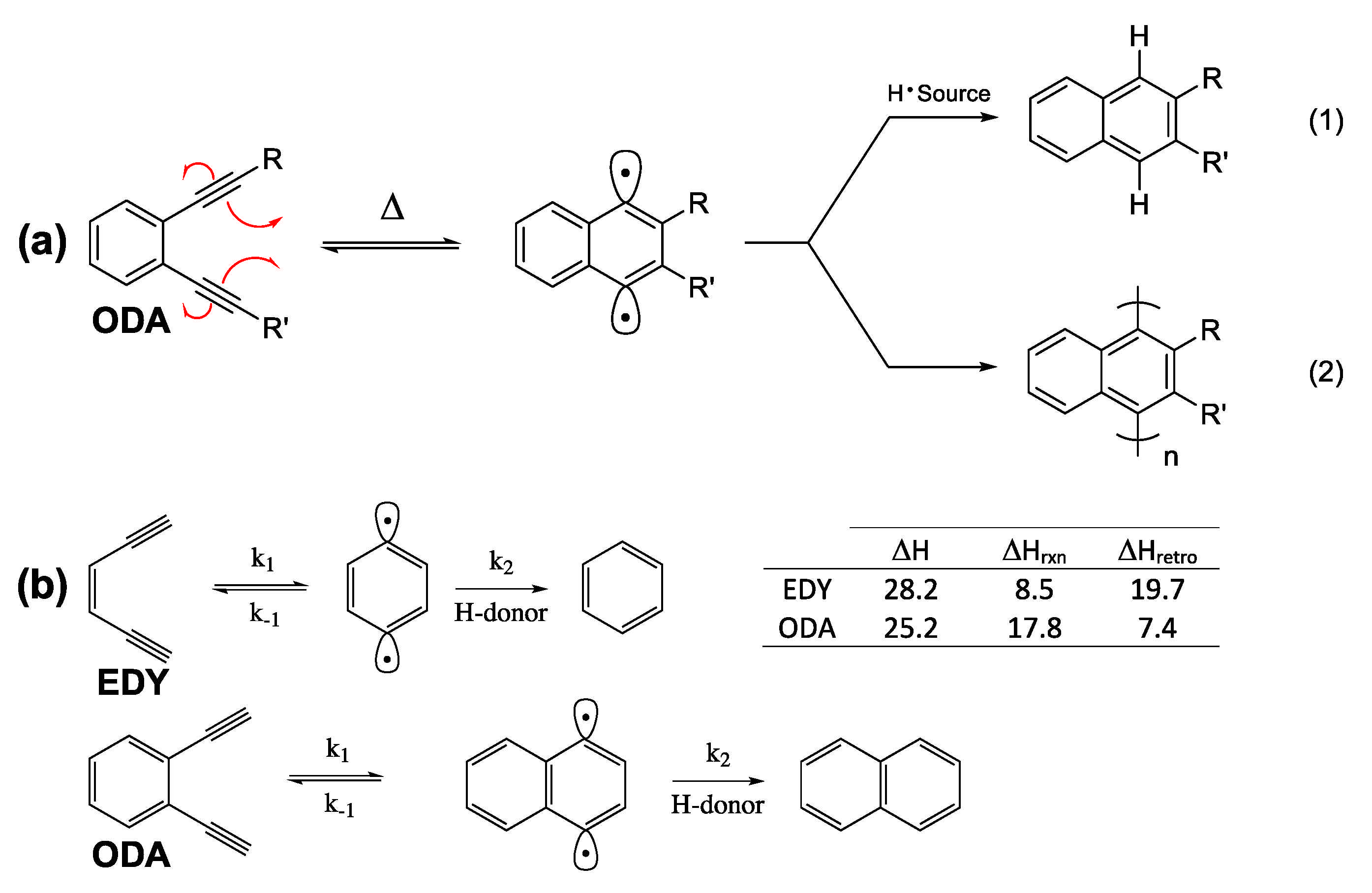
3.2. Bergman Cyclopolymerization
3.3. Applications
3.3.1. Electronic Applications
3.3.2. Optical Applications
4. Conclusions and Perspectives
Author Contributions
Funding
Institutional Review Board Statement
Informed Consent Statement
Data Availability Statement
Acknowledgments
Conflicts of Interest
References
- Sokolov, V.; Mishakov, G.; Panchenko, V.Y.; Tsvetkov, M.Y. Routes to Polymer-Based Photonics. Opt. Mem. Neural Netw. 2007, 16, 67–74. [Google Scholar] [CrossRef]
 - Black, C.T.; Ruiz, R.; Breyta, G.; Cheng, J.Y.; Colburn, M.E.; Guarini, K.W.; Kim, H.-C.; Zhang, Y. Polymer Self Assembly in Semiconductor Microelectronics. IBM J. Res. Dev. 2007, 51, 605–633. [Google Scholar] [CrossRef]
 - Hanemann, T.; Szabó, D.V. Polymer-Nanoparticle Composites: From Synthesis to Modern Applications. Materials 2010, 3, 3468–3517. [Google Scholar] [CrossRef]
 - Caldona, E.B.; De Leon, A.C.C.; Pajarito, B.B.; Advincula, R.C. A Review on Rubber-Enhanced Polymeric Materials. Polym. Rev. 2017, 57, 311–338. [Google Scholar] [CrossRef]
 - Caldona, E.B.; Albayalde, J.M.C.; Aglosolos, A.M.P.; Bautista, K.S.; Tavora, M.D.; Cabalza, S.A.P.; Diaz, J.R.O.; Mulato, M.D. Titania-Containing Recycled Polypropylene Surfaces with Photo-Induced Reversible Switching Wettability. J. Polym. Environ. 2019, 27, 1564–1571. [Google Scholar] [CrossRef]
 - Li, C.; Strachan, A. Molecular Scale Simulations on Thermoset Polymers: A Review. J. Polym. Sci. Part B Polym. Phys. 2015, 53, 103–122. [Google Scholar] [CrossRef]
 - Sek, D. Structure-Properties Relationship in Polymers with Condensed Aromatic Rings. I. Structure-Thermal Properties of New Polyketanils. Polym. J. 1981, 13, 13–22. [Google Scholar] [CrossRef][Green Version]
 - Natori, I.; Imaizumi, K.; Yamagishi, H.; Kazunori, M. Hydrocarbon Polymers Containing Six-membered Rings in the Main Chain. Microstructure and Properties of Poly(1,3-cyclohexadiene). J. Polym. Sci. Part B Polym. Phys. 1998, 36, 1657–1668. [Google Scholar] [CrossRef]
 - Smith, D.W., Jr.; Chen, S.; Kumar, S.M.; Ballato, J.; Topping, C.; Shah, H.V.; Foulger, S.H. Perfluorocyclobutyl Copolymers for Microphotonics. Adv. Mater. 2002, 14, 1585–1589. [Google Scholar] [CrossRef]
 - Caldona, E.B.; Wipf, D.O.; Smith, D.W., Jr. Characterization of a Tetrafunctional Epoxy-Amine Coating for Corrosion Protection of Mild Steel. Prog. Org. Coat. 2021, 151, 106045. [Google Scholar] [CrossRef]
 - Smith, D.W., Jr.; Babb, D.A.; Shah, H.V.; Hoeglund, A.; Traiphol, R.; Perahia, D.; Boone, H.W.; Langhoff, C.; Radler, M. Perfluorocyclobutane (PFCB) Polyaryl Ethers: Versatile Coatings Materials. J. Fluor. Chem. 2000, 104, 109–117. [Google Scholar] [CrossRef]
 - Iacono, S.T.; Budy, S.M.; Jin, J.; Smith, D.W., Jr. Science and Technology of Perfluorocyclobutyl Aryl Ether Polymers. J. Polym. Sci. Part A Polym. Chem. 2007, 45, 5705–5721. [Google Scholar] [CrossRef]
 - Caldona, E.B.; De Leon, A.C.C.; Thomas, P.G.; Naylor, D.F., III; Pajarito, B.B.; Advincula, R.C. Superhydrophobic Rubber-Modified Polybenzoxazine/SiO2 Nanocomposite Coating with Anticorrosion, Anti-Ice, and Superoleophilicity Properties. Ind. Eng. Chem. Res. 2017, 56, 1485–1497. [Google Scholar] [CrossRef]
 - Caldona, E.B.; Al Christopher, C.; Mangadlao, J.D.; Lim, K.J.A.; Pajarito, B.B.; Advincula, R.C. On the Enhanced Corrosion Resistance of Elastomer-Modified Polybenzoxazine/Graphene Oxide Nanocomposite Coatings. React. Funct. Polym. 2018, 123, 10–19. [Google Scholar] [CrossRef]
 - Caldona, E.B.; Al Christopher, C.; Pajarito, B.B.; Advincula, R.C. Novel Anti-Corrosion Coatings from Rubber-Modified Polybenzoxazine-Based Polyaniline Composites. Appl. Surf. Sci. 2017, 422, 162–171. [Google Scholar] [CrossRef]
 - Smith, D.W.; Iacono, S.T.; Iyer, S.S. Handbook of Fluoropolymer Science and Technology; John Wiley & Sons: New York, NY, USA, 2014; ISBN 978-1-118-85008-4. [Google Scholar]
 - Babb, D.A.; Clement, K.S.; Richey, W.F.; Ezzell, B.R. Perfluorocyclobutane Ring-Containing Polymers. U.S. Patent No. 07/534,819, 7 June 1990. [Google Scholar]
 - Babb, D.A.; Ezzell, B.R.; Clement, K.S.; Richey, W.F.; Kennedy, A.P. Perfluorocyclobutane Aromatic Ether Polymers. J. Polym. Sci. Part A Polym. Chem. 1993, 31, 3465–3477. [Google Scholar] [CrossRef]
 - Kennedy, A.P.; Babb, D.A.; Bremmer, J.N.; Pasztor, A.J., Jr. Perfluorocyclobutane Aromatic Ether Polymers. II. Thermal/Oxidative Stability and Decomposition of a Thermoset Polymer. J. Polym. Sci. Part A Polym. Chem. 1995, 33, 1859–1865. [Google Scholar] [CrossRef]
 - Caldona, E.B.; Smith, D.W.; Wipf, D.O. Protective Action of Semi-Fluorinated Perfluorocyclobutyl Polymer Coatings against Corrosion of Mild Steel. J. Mater. Sci. 2020, 55, 1796–1812. [Google Scholar] [CrossRef]
 - Zhou, J.; Jin, J.; Haldeman, A.T.; Wagener, E.H.; Husson, S.M. Formation and Characterization of Perfluorocyclobutyl Polymer Thin Films. J. Appl. Polym. Sci. 2013, 129, 3226–3236. [Google Scholar] [CrossRef]
 - Verma, R.; Tomar, N.; Creager, S.E.; Smith, D.W., Jr. Statically Non-Wetting Electrospun Perfluorocyclobutyl (PFCB) Aryl Ether Polymer Doped with Room Temperature Ionic Liquid (RTIL). Polymer 2012, 53, 2211–2216. [Google Scholar] [CrossRef]
 - Zhou, J.; Tran, M.-M.; Haldeman, A.T.; Jin, J.; Wagener, E.H.; Husson, S.M. Perfluorocyclobutyl Polymer Thin-Film Composite Membranes for CO2 Separations. J. Membr. Sci. 2014, 450, 478–486. [Google Scholar] [CrossRef]
 - Zhou, J.; Haldeman, A.T.; Wagener, E.H.; Husson, S.M. CO2 Plasticization and Physical Aging of Perfluorocyclobutyl Polymer Selective Layers. J. Membr. Sci. 2014, 454, 398–406. [Google Scholar] [CrossRef]
 - Kalaw, G.J.D.; Wahome, J.A.N.; Zhu, Y.; Balkus, K.J., Jr.; Musselman, I.H.; Yang, D.-J.; Ferraris, J.P. Perfluorocyclobutyl(PFCB)-Based Polymer Blends for Proton Exchange Membrane Fuel Cells (PEMFCs). J. Membr. Sci. 2013, 431, 86–95. [Google Scholar] [CrossRef]
 - Chang, B.-J.; Kim, D.J.; Kim, J.H.; Lee, S.-B.; Joo, H.J. Sulfonated Poly (Fluorene-Co-Sulfone) Ether Membranes Containing Perfluorocyclobutane Groups for Fuel Cell Applications. J. Membr. Sci. 2008, 325, 989–996. [Google Scholar] [CrossRef]
 - Marestin, C.; Thiry, X.; Rojo, S.; Chauveau, E.; Mercier, R. Synthesis of Sulfonate Ester and Sulfonic Acid-Containing Poly(Arylene Perfluorocyclobutane)s (PFCB) by Direct Copolymerization of a Sulfonate Ester-Containing Precursor. Polymer 2017, 108, 179–192. [Google Scholar] [CrossRef]
 - Yuan, C.; Wang, J.; Jin, K.; Diao, S.; Sun, J.; Tong, J.; Fang, Q. Postpolymerization of Functional Organosiloxanes: An Efficient Strategy for Preparation of Low-k Material with Enhanced Thermostability and Mechanical Properties. Macromolecules 2014, 47, 6311–6315. [Google Scholar] [CrossRef]
 - Ghim, J.; Baeg, K.-J.; Noh, Y.-Y.; Kang, S.-J.; Jo, J.; Kim, D.-Y.; Cho, S.; Yuen, J.; Lee, K.; Heeger, A.J. Perfluorocyclobutane Containing Polymeric Gate Dielectric for Organic Thin Film Transistors with High on/off Ratio. Appl. Phys. Lett. 2006, 89, 202516. [Google Scholar] [CrossRef]
 - Luo, Y.; Jin, K.; He, C.; Wang, J.; Sun, J.; He, F.; Zhou, J.; Wang, Y.; Fang, Q. An Intrinsically Microporous Network Polymer with Good Dielectric Properties at High Frequency. Macromolecules 2016, 49, 7314–7321. [Google Scholar] [CrossRef]
 - Kong, L.; Qi, T.; Ren, Z.; Jin, Y.; Li, Y.; Cheng, Y.; Xiao, F. High-Performance Intrinsic Low-k Polymer via the Synergistic Effect of Its Three Units: Adamantyl, Perfluorocyclobutylidene and Benzocyclobutene. RSC Adv. 2016, 6, 68560–68567. [Google Scholar] [CrossRef]
 - Wang, Y.; Luo, Y.; Jin, K.; Sun, J.; Fang, Q. A Spiro-Centered Thermopolymerizable Fluorinated Macromonomer: Synthesis and Conversion to the High Performance Polymer. RSC Adv. 2017, 7, 18861–18866. [Google Scholar] [CrossRef]
 - Jia, M.; Li, Y.; He, C.; Huang, X. Soluble Perfluorocyclobutyl Aryl Ether-Based Polyimide for High-Performance Dielectric Material. ACS Appl. Mater. Interfaces 2016, 8, 26352–26358. [Google Scholar] [CrossRef]
 - Lim, B.; Hwang, J.-T.; Kim, J.Y.; Ghim, J.; Vak, D.; Noh, Y.-Y.; Lee, S.-H.; Lee, K.; Heeger, A.J.; Kim, D.-Y. Synthesis of a New Cross-Linkable Perfluorocyclobutane-Based Hole-Transport Material. Org. Lett. 2006, 8, 4703–4706. [Google Scholar] [CrossRef] [PubMed]
 - Jiang, X.; Liu, S.; Liu, M.S.; Herguth, P.; Jen, A.; Fong, H.; Sarikaya, M. Perfluorocyclobutane-based Arylamine Hole-transporting Materials for Organic and Polymer Light-emitting Diodes. Adv. Funct. Mater. 2002, 12, 745–751. [Google Scholar] [CrossRef]
 - Gong, X.; Moses, D.; Heeger, A.; Liu, S.; Jen, A.-Y. High-Performance Polymer Light-Emitting Diodes Fabricated with a Polymer Hole Injection Layer. Appl. Phys. Lett. 2003, 83, 183–185. [Google Scholar] [CrossRef]
 - Lim, B.; Nah, Y.-C.; Hwang, J.-T.; Ghim, J.; Vak, D.; Yun, J.-M.; Kim, D.-Y. Synthesis of Novel Arylamine Containing Perfluorocyclobutane and Its Electrochromic Properties. J. Mater. Chem. 2009, 19, 2380–2385. [Google Scholar] [CrossRef]
 - Shah, H.; Smith, D.; Ballato, J.; Foulger, S.; Deguzman, P.; Nordin, G. Direct Generation of Optical Diffractive Elements in Perfluorocyclobutane (PFCB) Polymers by Soft Lithography. IEEE Photonics Technol. Lett. 2000, 12, 1650–1652. [Google Scholar] [CrossRef][Green Version]
 - Jiang, J.; Callender, C.L.; Blanchetière, C.; Noad, J.P.; Chen, S.; Ballato, J.; Smith, D.W., Jr. Property-Tailorable PFCB-Containing Polymers for Wavelength Division Devices. J. Light. Technol. 2006, 24, 3227. [Google Scholar] [CrossRef]
 - Ballato, J.; Foulger, S.; Smith, D.W. Optical Properties of Perfluorocyclobutyl Polymers. JOSA B 2003, 20, 1838–1843. [Google Scholar] [CrossRef]
 - Ghim, J.; Lee, D.-S.; Shin, B.G.; Vak, D.; Yi, D.K.; Kim, M.-J.; Shim, H.-S.; Kim, J.-J.; Kim, D.-Y. Optical Properties of Perfluorocyclobutane Aryl Ether Polymers for Polymer Photonic Devices. Macromolecules 2004, 37, 5724–5731. [Google Scholar] [CrossRef]
 - Chen, S.; Cardenes, J.; Nordin, G.P.; Topping, C.M.; Jin, J.J.; Thomson, J.; Ballato, J.M.; Foulger, S.H.; Smith, D.W., Jr. Direct Micro-Transfer Molding of Perfluorocyclobutyl (PFCB) Polymer Waveguides; International Society for Optics and Photonics: Seattle, WA, USA, 2002; Volume 4805, pp. 55–60. [Google Scholar] [CrossRef]
 - Oh, M.-C.; Lee, M.-H.; Ahn, J.-H.; Lee, H.-J.; Han, S.G. Polymeric Wavelength Filters with Polymer Gratings. Appl. Phys. Lett. 1998, 72, 1559–1561. [Google Scholar] [CrossRef]
 - Brown, D.K.; Cracowski, J.-M.; Iacono, S.T.; Christensen, K.; Smith, D.W. Preparation of Biphenyl Perfluorocyclobutyl (BP-PFCB) Polyethylene Glycol (PEG) Copolymers by the Formation of Fluorinated Arylene Vinylene Ether (FAVE). Polym. Bull. 2015, 72, 1393–1405. [Google Scholar] [CrossRef]
 - Neilson, A.R.; Budy, S.M.; Ballato, J.M.; Smith, D.W., Jr. Synthesis and Characterization of Highly Fluorescent Phenylene Vinylene Containing Perfluorocyclobutyl (PFCB) Aromatic Ether Polymers. Polymer 2008, 49, 3228–3232. [Google Scholar] [CrossRef]
 - Brown, D.K.; Iacono, S.T.; Cracowski, J.; Christensen, K.; Smith, D.W., Jr. Synthesis and Characterization of a Biphenyl Perfluorocyclobutyl (BP-PFCB) Polyethylene Glycol (PEG) Blend Compatibilizer. Polym. Adv. Technol. 2016, 27, 1389–1396. [Google Scholar] [CrossRef]
 - Spraul, B.K.; Suresh, S.; Glaser, S.; Perahia, D.; Ballato, J.; Smith, D.W. Perfluorocyclobutyl-Linked Hexa-p Eri-Hexabenzocoronene Networks. J. Am. Chem. Soc. 2004, 126, 12772–12773. [Google Scholar] [CrossRef]
 - Farajidizaji, B.; Shelar, K.E.; Narayanan, G.; Mukeba, K.M.; Donnadieu, B.; Pittman, C.U., Jr.; Sygula, A.; Smith, D.W., Jr. Acenaphthylene-derived Perfluorocyclobutyl Aromatic Ether Polymers. J. Polym. Sci. A Part Polym. Chem. 2019, 57, 1270–1274. [Google Scholar] [CrossRef]
 - Mukeba, K.M.; Faradizaji, B.; Shelar, K.E.; Pittman, C.U., Jr.; Smith, D.W., Jr. Semi–Fluorinated Arylene Vinylene Ether (FAVE) Telechelic Polymers from Polycyclic Aromatic Hydrocarbon Bisphenols and Trifluorovinyl Aryl Ethers. Polymer 2020, 209, 122955. [Google Scholar] [CrossRef]
 - Smith, D.W., Jr.; Shah, H.V.; Perera, K.P.U.; Perpall, M.W.; Babb, D.A.; Martin, S.J. Polyarylene Networks via Bergman Cyclopolymerization of Bis-ortho-diynyl Arenes. Adv. Funct. Mater. 2007, 17, 1237–1246. [Google Scholar] [CrossRef]
 - Wang, Y.; Chen, S.; Hu, A. Construction of Polyarylenes with Various Structural Features via Bergman Cyclization Polymerization. Polym. Synth. Based Triple-Bond Build. Blocks 2017, 97–126. [Google Scholar] [CrossRef]
 - Smith, D.W.; Babb, D.A.; Snelgrove, R.V.; Townsend, P.H.; Martin, S.J. Polynaphthalene Networks from Bisphenols. J. Am. Chem. Soc. 1998, 120, 9078–9079. [Google Scholar] [CrossRef]
 - Iacono, S.T.; Perpall, M.W.; Wapner, P.G.; Hoffman, W.P.; Smith, D.W., Jr. Carbonization and Thermal Expansion of Glassy Carbon Derived from Bis-Ortho-Diynylarenes. Carbon 2007, 45, 931–935. [Google Scholar] [CrossRef]
 - Shah, H.; Brittain, S.; Huang, Q.; Hwu, S.-J.; Whitesides, G.; Smith, D. Bis-o-Diynylarene (BODA) Derived Polynaphthalenes as Precursors to Glassy Carbon Microstructures. Chem. Mater. 1999, 11, 2623–2625. [Google Scholar] [CrossRef]
 - Perera, K.P.U.; Abboud, K.A.; Smith, D.W., Jr.; Krawiec, M. Three Bis-Ortho-Diynylarenes (BODA). Acta Crystallogr. C 2003, 59, o107–o110. [Google Scholar] [CrossRef]
 - Jones, R.R.; Bergman, R.G. P-Benzyne. Generation as an Intermediate in a Thermal Isomerization Reaction and Trapping Evidence for the 1, 4-Benzenediyl Structure. J. Am. Chem. Soc. 1972, 94, 660–661. [Google Scholar] [CrossRef]
 - Johnson, J.P.; Bringley, D.A.; Wilson, E.E.; Lewis, K.D.; Beck, L.W.; Matzger, A.J. Comparison of “Polynaphthalenes” Prepared by Two Mechanistically Distinct Routes. J. Am. Chem. Soc. 2003, 125, 14708–14709. [Google Scholar] [CrossRef]
 - Zengin, H.; Smith, D.W. Bis-Ortho-Diynylarene Polymerization as a Route to Solid and Hollow Carbon Fibers. J. Mater. Sci. 2007, 42, 4344–4349. [Google Scholar] [CrossRef]
 - Zhou, J.; Tao, Y.; Chen, X.; Chen, X.; Fang, L.; Wang, Y.; Sun, J.; Fang, Q. Perfluorocyclobutyl-Based Polymers for Functional Materials. Mater. Chem. Front. 2019, 3, 1280–1301. [Google Scholar] [CrossRef]
 - Tao, Y.; Zhou, J.; Fang, L.; Wang, Y.; Chen, X.; Chen, X.; Hou, J.; Sun, J.; Fang, Q. Fluoro-Containing Polysiloxane Thermoset with Good Thermostability and Acid Resistance Based on the Renewable Multifunctional Vanillin. ACS Sustain. Chem. Eng. 2019, 7, 7304–7311. [Google Scholar] [CrossRef]
 - Fang, L.; Zhou, J.; Tao, Y.; Wang, Y.; Chen, X.; Chen, X.; Hou, J.; Sun, J.; Fang, Q. Low Dielectric Fluorinated Polynorbornene with Good Thermostability and Transparency Derived from a Biobased Allylphenol(Eugenol). ACS Sustain. Chem. Eng. 2019, 7, 4078–4086. [Google Scholar] [CrossRef]
 - Liu, H.; Zhang, S.; Feng, C.; Li, Y.; Lu, G.; Huang, X. Synthesis and Self-Assembly of a Fluorine-Containing Amphiphilic Graft Copolymer Bearing a Perfluorocyclobutyl Aryl Ether-Based Backbone and Poly(Acrylic Acid) Side Chains. Polym. Chem. 2015, 6, 4309–4318. [Google Scholar] [CrossRef]
 - Feng, C.; Yao, W.; Lu, G.; Li, Y.; Huang, X. Main-Chain PPEGMEMA-b-PBTFVPP-b-PPEGMEMA Perfluorocyclobutyl Aryl Ether-Based Amphiphilic ABA Triblock Copolymer: Synthesis and Self-Assembly. RSC Adv. 2015, 5, 77388–77398. [Google Scholar] [CrossRef]
 - Matsumoto, T.; Ito, S.; Tanaka, K.; Chujo, Y. Synthesis, Properties and Structure of Borafluorene-Based Conjugated Polymers with Kinetically and Thermodynamically Stabilized Tetracoordinated Boron Atoms. Polym. J. 2018, 50, 197–202. [Google Scholar] [CrossRef]
 - Iacono, S.T.; Budy, S.M.; Smith, D.W.; Mabry, J.M. Preparation of Composite Fluoropolymers with Enhanced Dewetting Using Fluorinated Silsesquioxanes as Drop-in Modifiers. J. Mater. Chem. 2010, 20, 2979–2984. [Google Scholar] [CrossRef]
 - Wang, J.; Sun, J.; Zhou, J.; Jin, K.; Fang, Q. Fluorinated and Thermo-Cross-Linked Polyhedral Oligomeric Silsesquioxanes: New Organic–Inorganic Hybrid Materials for High-Performance Dielectric Application. ACS Appl. Mater. Interfaces 2017, 9, 12782–12790. [Google Scholar] [CrossRef]
 - Paul, D.; Barlow, J. Polymer Blends. J. Macromol. Sci. Macromol. Chem. 1980, 18, 109–168. [Google Scholar] [CrossRef]
 - Wang, J.; Zhou, J.; Jin, K.; Wang, L.; Sun, J.; Fang, Q. A New Fluorinated Polysiloxane with Good Optical Properties and Low Dielectric Constant at High Frequency Based on Easily Available Tetraethoxysilane (TEOS). Macromolecules 2017, 50, 9394–9402. [Google Scholar] [CrossRef]
 - Sini, N.; Azechi, M.; Endo, T. Synthesis and Properties of Spiro-Centered Benzoxazines. Macromolecules 2015, 48, 7466–7472. [Google Scholar]
 - Khalil, A.A.; ur Rahman, U.; Khan, M.R.; Sahar, A.; Mehmood, T.; Khan, M. Essential Oil Eugenol: Sources, Extraction Techniques and Nutraceutical Perspectives. RSC Adv. 2017, 7, 32669–32681. [Google Scholar] [CrossRef]
 - Alexandridis, P. Amphiphilic Copolymers and Their Applications. Curr. Opin. Colloid Interface Sci. 1996, 1, 490–501. [Google Scholar] [CrossRef]
 - Qian, G.; Smith, D.W., Jr.; Benicewicz, B.C. Synthesis and Characterization of High Molecular Weight Perfluorocyclobutyl-Containing Polybenzimidazoles (PFCB–PBI) for High Temperature Polymer Electrolyte Membrane Fuel Cells. Polymer 2009, 50, 3911–3916. [Google Scholar] [CrossRef]
 - Bi, L.; Hong, J.; Li, S.; Zhu, Z.; Zhu, Y. Post-Functionalization of Perfluorocyclobutyl Aryl Ether Polymers with a Novel Perfluorosulfonated Side Chain Precursor. J. Polym. Res. 2019, 26, 1–9. [Google Scholar] [CrossRef]
 - Mikami, T.; Miyatake, K.; Watanabe, M. Poly (Arylene Ether) s Containing Superacid Groups as Proton Exchange Membranes. ACS Appl. Mater. Interfaces 2010, 2, 1714–1721. [Google Scholar] [CrossRef]
 - Alabugin, I.V.; Manoharan, M. Radical-Anionic Cyclizations of Enediynes: Remarkable Effects of Benzannelation and Remote Substituents on Cyclo Re Aromatization Reactions. J. Am. Chem. Soc. 2003, 125, 4495–4509. [Google Scholar] [CrossRef] [PubMed]
 - Spence, J.D.; Rios, A.C.; Frost, M.A.; McCutcheon, C.M.; Cox, C.D.; Chavez, S.; Fernandez, R.; Gherman, B.F. Syntheses, Thermal Reactivities, and Computational Studies of Aryl-Fused Quinoxalenediynes: Effect of Extended Benzannelation on Bergman Cyclization Energetics. J. Org. Chem. 2012, 77, 10329–10339. [Google Scholar] [CrossRef]
 - Xiao, Y.; Hu, A. Bergman Cyclization in Polymer Chemistry and Material Science. Macromol. Rapid Commun. 2011, 32, 1688–1698. [Google Scholar] [CrossRef]
 - Lee, M.D.; Dunne, T.S.; Siegel, M.M.; Chang, C.C.; Morton, G.O.; Borders, D.B. Calichemicins, a Novel Family of Antitumor Antibiotics. 1. Chemistry and Partial Structure of Calichemicin. Gamma. 1I. J. Am. Chem. Soc. 1987, 109, 3464–3466. [Google Scholar] [CrossRef]
 - Golik, J.; Clardy, J.; Dubay, G.; Groenewold, G.; Kawaguchi, H.; Konishi, M.; Krishnan, B.; Ohkuma, H.; Saitoh, K.; Doyle, T.W. Esperamicins, a Novel Class of Potent Antitumor Antibiotics. 2. Structure of Esperamicin X. J. Am. Chem. Soc. 1987, 109, 3461–3462. [Google Scholar] [CrossRef]
 - Nicolaou, K.; Dai, W. Chemistry and Biology of the Enediyne Anticancer Antibiotics. Angew. Chem. Int. Ed. Engl. 1991, 30, 1387–1416. [Google Scholar] [CrossRef]
 - Sonogashira, K.; Tohda, Y.; Hagihara, N. A Convenient Synthesis of Acetylenes: Catalytic Substitutions of Acetylenic Hydrogen with Bromoalkenes, Iodoarenes and Bromopyridines. Tetrahedron Lett. 1975, 16, 4467–4470. [Google Scholar] [CrossRef]
 - Soheili, A.; Albaneze-Walker, J.; Murry, J.A.; Dormer, P.G.; Hughes, D.L. Efficient and General Protocol for the Copper-Free Sonogashira Coupling of Aryl Bromides at Room Temperature. Org. Lett. 2003, 5, 4191–4194. [Google Scholar] [CrossRef]
 - Thomas, A.M.; Sujatha, A.; Anilkumar, G. Recent Advances and Perspectives in Copper-Catalyzed Sonogashira Coupling Reactions. RSC Adv. 2014, 4, 21688–21698. [Google Scholar] [CrossRef]
 - Kobayashi, S.; Reddy, R.S.; Sugiura, Y.; Sasaki, D.; Miyagawa, N.; Hirama, M. Investigation of the Total Synthesis of N1999-A2: Implication of Stereochemistry. J. Am. Chem. Soc. 2001, 123, 2887–2888. [Google Scholar] [CrossRef] [PubMed]
 - Wang, D.; Gao, S. Sonogashira Coupling in Natural Product Synthesis. Org. Chem. Front. 2014, 1, 556–566. [Google Scholar] [CrossRef]
 - Kabalka, G.W.; Wang, L.; Namboodiri, V.; Pagni, R.M. Rapid Microwave-Enhanced, Solventless Sonogashira Coupling Reaction on Alumina. Tetrahedron Lett. 2000, 41, 5151–5154. [Google Scholar] [CrossRef]
 - Jones, K.M.; Keller, T.M. Synthesis and Characterization of Multiple Phenylethynylbenzenes via Cross-Coupling with Activated Palladium Catalyst. Polymer 1995, 36, 187–192. [Google Scholar] [CrossRef]
 - Eberhard, M.R.; Wang, Z.; Jensen, C.M. Investigations into the Pd-Catalysed Cross-Coupling of Phenylacetylene with Aryl Chlorides: Simple One-Pot Procedure and the Effect of ZnCl2 Co-Catalysis. Chem. Commun. 2002, 818–819. [Google Scholar] [CrossRef]
 - Faure, E.; Falentin-Daudré, C.; Jérôme, C.; Lyskawa, J.; Fournier, D.; Woisel, P.; Detrembleur, C. Catechols as Versatile Platforms in Polymer Chemistry. Prog. Polym. Sci. 2013, 38, 236–270. [Google Scholar] [CrossRef]
 - Wang, Y.; Chen, S.; Hu, A. Chemical Synthesis of Carbon Nanomaterials through Bergman Cyclization. Polyphenylenes Nanographenes Graphene Nanoribbons 2017, 147–171. [Google Scholar]
 - Bucca, D.; Keller, T.M. Oxidation-resistant Thermosets Derived from Thermal Copolymerization of Acetylenic Monomers Containing Boron and Silicon. J. Polym. Sci. Part A Polym. Chem. 1999, 37, 4356–4359. [Google Scholar] [CrossRef]
 - Bergman, R.G. Reactive 1,4-Dehydroaromatics. Acc. Chem. Res. 1973, 6, 25–31. [Google Scholar] [CrossRef]
 - Lockhart, T.P.; Comita, P.B.; Bergman, R.G. Kinetic Evidence for the Formation of Discrete 1, 4-Dehydrobenzene Intermediates. Trapping by Inter-and Intramolecular Hydrogen Atom Transfer and Observation of High-Temperature CIDNP. J. Am. Chem. Soc. 1981, 103, 4082–4090. [Google Scholar] [CrossRef]
 - John, J.A.; Tour, J.M. Synthesis of Polyphenylenes and Polynaphthalenes by Thermolysis of Enediynes and Dialkynylbenzenes. J. Am. Chem. Soc. 1994, 116, 5011–5012. [Google Scholar] [CrossRef]
 - John, J.A.; Tour, J.M. Synthesis of Polyphenylene Derivatives by Thermolysis of Enediynes and Dialkynylaromatic Monomers. Tetrahedron 1997, 53, 15515–15534. [Google Scholar] [CrossRef]
 - Neenan, T.X.; Whitesides, G.M. Synthesis of High Carbon Materials from Acetylenic Precursors. Preparation of Aromatic Monomers Bearing Multiple Ethynyl Groups. J. Org. Chem. 1988, 53, 2489–2496. [Google Scholar] [CrossRef]
 - Zhu, B.; Qian, G.; Xiao, Y.; Deng, S.; Wang, M.; Hu, A. A Convergence of Photo-bergman Cyclization and Intramolecular Chain Collapse towards Polymeric Nanoparticles. J. Polym. Sci. Part A Polym. Chem. 2011, 49, 5330–5338. [Google Scholar] [CrossRef]
 - dos Passos Gomes, G.; Alabugin, I.V. Drawing Catalytic Power from Charge Separation: Stereoelectronic and Zwitterionic Assistance in the Au (I)-Catalyzed Bergman Cyclization. J. Am. Chem. Soc. 2017, 139, 3406–3416. [Google Scholar] [CrossRef]
 - Nag, O.K.; Anis-Ul-Haque, K.M.; Debnath, D.; Begum, R.; Younus, M.; Chawdhury, N.; Kociok-Köhn, G.; Raithby, P.R. Synthesis and Optical Properties of Biphenylene Ethynylene Co-Polymers and Their Model Compounds. J. Chem. Sci. 2015, 127, 365–374. [Google Scholar] [CrossRef]
 - Perpall, M.W.; Perera, K.P.U.; DiMaio, J.; Ballato, J.; Foulger, S.H.; Smith, D.W. Novel Network Polymer for Templated Carbon Photonic Crystal Structures. Langmuir 2003, 19, 7153–7156. [Google Scholar] [CrossRef]
 - Yang, X.; Li, Z.; Zhi, J.; Ma, J.; Hu, A. Synthesis of Ultrathin Mesoporous Carbon through Bergman Cyclization of Enediyne Self-Assembled Monolayers in SBA-15. Langmuir 2010, 26, 11244–11248. [Google Scholar] [CrossRef]
 - Ryan, E.; McKerrow, A.; Leu, J.; Ho, P. Materials Issues and characterization of low-k dielectric materials. In Low Dielectric Constant Materials for IC Applications; Springer: Cham, Switzerland, 2003; pp. 23–74. [Google Scholar]
 - Eizenberg, M. Introduction: Interlayer dielectrics in microelectronic devices. In Interlayer Dielectrics for Semiconductor Technologies; Elsevier: Amsterdam, The Netherlands, 2003; pp. 1–6. [Google Scholar]
 - Harrop, P.; Campbell, D. Selection of Thin Film Capacitor Dielectrics. Thin Solid Films 1968, 2, 273–292. [Google Scholar] [CrossRef]
 - Muraka, S.P.; Eizenberg, M.; Sinha, A.K. Interlayer Dielectrics for Semiconductor Technologies; Elsevier: Amsterdam, The Netherlands, 2003; Volume 1, ISBN 0-08-052195-9. [Google Scholar]
 - Gill, W.; Rogojevic, S.; Lu, T. Vapor deposition of low-k polymeric dielectrics. In Low Dielectric Constant Materials for IC Applications; Springer: Cham, Switzerland, 2003; pp. 95–119. [Google Scholar]
 - Maier, G. Low Dielectric Constant Polymers for Microelectronics. Prog. Polym. Sci. 2001, 26, 3–65. [Google Scholar] [CrossRef]
 - Moore, J.; Lang, C.-I.; Lu, T.-M.; Yang, G.-R. Vapor-Depositable Polymers with Low Dielectric Constants; ACS Symposium Series; ACS Publications: Washington, DC, USA, 1995; Volume 614, pp. 449–470. [Google Scholar] [CrossRef]
 - Lang, C.-I.; Yang, G.-R.; Moore, J.; Lu, T.-M. Vapor Deposition of Very Low k Polymer Films, Poly (Naphthalene), Poly (Fluorinated Naphthalene). MRS Online Proc. Libr. OPL 1995, 381. [Google Scholar] [CrossRef]
 - Lu, T.; Moore, J. Vapor Deposition of Low-Dielectric-Constant Polymeric Thin Films. MRS Bull. 1997, 22, 28–31. [Google Scholar] [CrossRef]
 - Zengin, H.; Zengin, G.; Zhou, W.; Topping, C.M.; Smith, D.W., Jr.; Foulger, S.H. Preparation and Characterization of Bis-ortho-diynylarene (BODA)-derived Submicrogratings. Polym. Eng. Sci. 2007, 47, 2095–2099. [Google Scholar] [CrossRef]
 - Hosomura, T.; Okamoto, H. Effects of Pressure Carbonization in the C C Composite Process. Mater. Sci. Eng. A 1991, 143, 223–229. [Google Scholar] [CrossRef]
 - Fitzer, E.; Schäfer, W. The Effect of Crosslinking on the Formation of Glasslike Carbons from Thermosetting Resins. Carbon 1970, 8, 353–364. [Google Scholar] [CrossRef]
 - Tzeng, S.-S.; Chr, Y.-G. Evolution of Microstructure and Properties of Phenolic Resin-Based Carbon/Carbon Composites during Pyrolysis. Mater. Chem. Phys. 2002, 73, 162–169. [Google Scholar] [CrossRef]
 - Sharma, S. Polymer-to-Carbon Conversion: From Nature to Technology. Materials 2019, 12, 774. [Google Scholar] [CrossRef]
 - Sharma, S.; Kumar, C.S.; Korvink, J.G.; Kübel, C. Evolution of Glassy Carbon Microstructure: In Situ Transmission Electron Microscopy of the Pyrolysis Process. Sci. Rep. 2018, 8, 1–12. [Google Scholar] [CrossRef] [PubMed]
 - Jurkiewicz, K.; Pawlyta, M.; Zygadło, D.; Chrobak, D.; Duber, S.; Wrzalik, R.; Ratuszna, A.; Burian, A. Evolution of Glassy Carbon under Heat Treatment: Correlation Structure–Mechanical Properties. J. Mater. Sci. 2018, 53, 3509–3523. [Google Scholar] [CrossRef]
 - Schueller, O.J.; Brittain, S.T.; Marzolin, C.; Whitesides, G. Fabrication and Characterization of Glassy Carbon MEMS. Chem. Mater. 1997, 9, 1399–1406. [Google Scholar] [CrossRef]
 - Ruiz-Morales, J.; Canales-Vázquez, J.; Marrero-López, D.; Savvin, S.; Núnez, P.; Dos Santos-García, A.; Sánchez-Bautista, C.; Peña-Martínez, J. Fabrication of 3D Carbon Microstructures Using Glassy Carbon Microspheres and Organic Precursors. Carbon 2010, 48, 3964–3967. [Google Scholar] [CrossRef]
 - Sharma, S.; Sharma, A.; Cho, Y.-K.; Madou, M. Increased Graphitization in Electrospun Single Suspended Carbon Nanowires Integrated with Carbon-MEMS and Carbon-NEMS Platforms. ACS Appl. Mater. Interfaces 2012, 4, 34–39. [Google Scholar] [CrossRef]
 - Wang, C.; Taherabadi, L.; Jia, G.; Madou, M.; Yeh, Y.; Dunn, B. C-MEMS for the Manufacture of 3D Microbatteries. Electrochem. Solid State Lett. 2004, 7, A435. [Google Scholar] [CrossRef]
 - Sharma, S. Glassy Carbon: A Promising Material for Micro-and Nanomanufacturing. Materials 2018, 11, 1857. [Google Scholar] [CrossRef]
 - Bauer, J.; Schroer, A.; Schwaiger, R.; Kraft, O. Approaching Theoretical Strength in Glassy Carbon Nanolattices. Nat. Mater. 2016, 15, 438–443. [Google Scholar] [CrossRef]
 - Rettenbacher, A.S.; Perpall, M.W.; Echegoyen, L.; Hudson, J.; Smith, D.W. Radical Addition of a Conjugated Polymer to Multilayer Fullerenes (Carbon Nano-Onions). Chem. Mater. 2007, 19, 1411–1417. [Google Scholar] [CrossRef]
 - Ma, X.; Li, F.; Wang, Y.; Hu, A. Functionalization of Pristine Graphene with Conjugated Polymers through Diradical Addition and Propagation. Chem. Asian J. 2012, 7, 2547–2550. [Google Scholar] [CrossRef]
 - Ma, J.; Deng, S.; Cheng, X.; Wei, W.; Hu, A. Covalent Surface Functionalization of Multiwalled Carbon Nanotubes through Bergman Cyclization of Enediyne-containing Dendrimers. J. Polym. Sci. Part A Polym. Chem. 2011, 49, 3951–3959. [Google Scholar] [CrossRef]
 - Kausar, A. Carbon Nano Onion as Versatile Contender in Polymer Compositing and Advance Application. Fuller. Nanotub. Carbon Nanostruct. 2017, 25, 109–123. [Google Scholar] [CrossRef]
 - Bartelmess, J.; Giordani, S. Carbon Nano-Onions (Multi-Layer Fullerenes): Chemistry and Applications. Beilstein J. Nanotechnol. 2014, 5, 1980–1998. [Google Scholar] [CrossRef]
 - Mifsud, N.; Mellon, V.; Perera, K.P.U.; Smith, D.W.; Echegoyen, L. In Situ EPR Spectroscopy of Aromatic Diyne Cyclopolymerization. J. Org. Chem. 2004, 69, 6124–6127. [Google Scholar] [CrossRef]
 






















Publisher’s Note: MDPI stays neutral with regard to jurisdictional claims in published maps and institutional affiliations.  | 
© 2021 by the authors. Licensee MDPI, Basel, Switzerland. This article is an open access article distributed under the terms and conditions of the Creative Commons Attribution (CC BY) license (http://creativecommons.org/licenses/by/4.0/).
Share and Cite
Caldona, E.B.; Borrego, E.I.; Shelar, K.E.; Mukeba, K.M.; Smith, D.W., Jr. Ring-Forming Polymerization toward Perfluorocyclobutyl and Ortho-Diynylarene-Derived Materials: From Synthesis to Practical Applications. Materials 2021, 14, 1486. https://doi.org/10.3390/ma14061486
Caldona EB, Borrego EI, Shelar KE, Mukeba KM, Smith DW Jr. Ring-Forming Polymerization toward Perfluorocyclobutyl and Ortho-Diynylarene-Derived Materials: From Synthesis to Practical Applications. Materials. 2021; 14(6):1486. https://doi.org/10.3390/ma14061486
Chicago/Turabian StyleCaldona, Eugene B., Ernesto I. Borrego, Ketki E. Shelar, Karl M. Mukeba, and Dennis W. Smith, Jr. 2021. "Ring-Forming Polymerization toward Perfluorocyclobutyl and Ortho-Diynylarene-Derived Materials: From Synthesis to Practical Applications" Materials 14, no. 6: 1486. https://doi.org/10.3390/ma14061486
APA StyleCaldona, E. B., Borrego, E. I., Shelar, K. E., Mukeba, K. M., & Smith, D. W., Jr. (2021). Ring-Forming Polymerization toward Perfluorocyclobutyl and Ortho-Diynylarene-Derived Materials: From Synthesis to Practical Applications. Materials, 14(6), 1486. https://doi.org/10.3390/ma14061486
        
                                                