A Novel Method for High Temperature Fatigue Testing of Nickel Superalloy Turbine Blades with Additional NDT Diagnostics
Abstract
1. Introduction
- Loads caused by static and dynamic action of the flowing medium on the profile part of the blade,
- Mass loads caused by centrifugal forces,
- Loads caused by elastic vibrations of the blades and the entire rotor.
- Tensile caused by centrifugal forces of the rotating masses of the shoulder blade and bandage,
- Bending from the action of the pressure of the medium on the profile part, from the centrifugal forces of the rotating blade mass, caused by transverse vibrations of the blade,
- Tangents from the action of the torsional moments of forces caused by the action of the flowing medium, from the action of the torsional moments of the blade mass forces, from the torsional vibrations of the blade’s working part,
- Normal in any blade cross-section, as the sum of normal component stresses.
2. Materials and Methods
3. Results and Discussion
3.1. Fluorescent Penetrant Inspection (FPI)
3.2. Eddy Current (ET)
3.3. Numerical Strength Analysis of High Pressure Turbine Blade Performance
- −
- Blade was fixed on upper surfaces of the blade attachment, as shown in Figure 7c,
- −
- Angular velocity: 1627 [rad/s],
- −
- HPT inlet pressure: 2,021,434 [Pa],
- −
- HPT outlet pressure: 966,777 [Pa],
- −
- HPT blade mass: 0.139 [kg],
- −
- Density of HPT blade material: 8320 [kg/m3],
- −
- Temperature: 950 [°C],
- −
- Elastic modulus of HPT blade material: 190 [GPa],
- −
- Poisson ratio of HPT blade material: 0.3.
3.4. High Temperature Fatigue Testing
3.5. Microstructural Characterization of the Fractured Turbine Blade
4. Conclusions
- The methodology and designed turbine blade grip could be successfully used to examine the high temperature fatigue performance of the full-scale turbine blade. The geometry of the rig itself allowed adoption of standard testing machines and thus simplified the complex high temperature testing of the turbine blades.
- The finite element model generated from the ANSYS software accurately predicted the area of potential failure of the turbine blade.
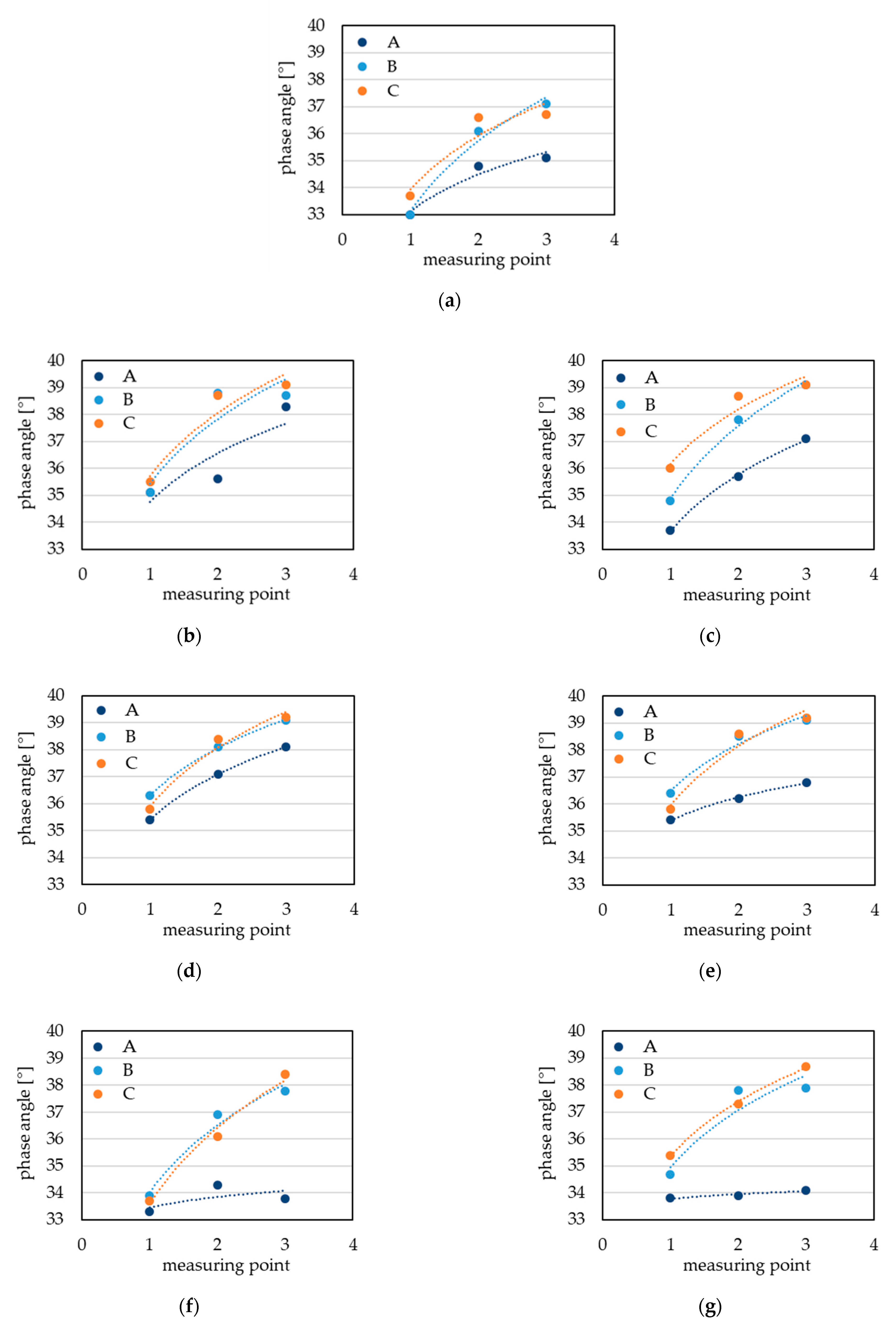
- Eddy current testing was successfully used to detect the most critical degraded region in the turbine blades, as the crack area accurately predicted by FE model was also localized as region A of the ET measurements, where the changes of phase angle were the most prominent.
Author Contributions
Funding
Institutional Review Board Statement
Informed Consent Statement
Data Availability Statement
Acknowledgments
Conflicts of Interest
References
- Ashby, M.F.; Jones, D. Materiały Inżynierskie—Tom 2. Właściwości i Zastosowanie; WNT: Warszawa, Piland, 1995. [Google Scholar]
- Kolagar, A.; Tabrizi, N.; Cheraghzadeh, M.; Shahriari, M. Failure analysis of gas turbine first stage blade made of nickel-based superalloy. Case Stud. Eng. Fail. Anal. 2017, 8, 61–68. [Google Scholar] [CrossRef]
- Golewski, P. Obciążenia Cieplno-Mechaniczne Łopatek Silników Turbinowych z Ceramicznymi Powłokami Ochronnymi; Politechnika Lubelska: Lublin, Poland, 2015. [Google Scholar]
- Cieśla, M. Trwałość Nadstopu Niklu z Aluminidkową Warstwą Ochronną w Warunkach Obciążeń Cieplnych i Mechanicznych; Wydawnictwo Politechniki Śląskiej: Gliwice, Poland, 2009. [Google Scholar]
- Błachnio, B. Diagnozowanie stanu eksploatowanych łopatek turbiny gazowej. Diagnostyka 2008, 1, 91–96. [Google Scholar]
- Hou, J.; Wicks, B.J.; Antoniou, R.A. An Investigation of Fatigue Failures of Turbine Blades in a Gas Turbine Engine by Mechanical Analysis. Eng. Fail. Anal. 2002, 9, 201–211. [Google Scholar] [CrossRef]
- Shaniavski, A.A. Modeling of Fatigue Cracking of Metals. Synergetics for Aviation; Monography; Publishing House of Scientific and Technical Literature: Ufa, Russia, 2007. [Google Scholar]
- Blachnio, J.; Bogman, M. A non-destructive method to assess condition of gas turbine blades, based on the analysis of blade-surface images. Russ. J. Nondestruct. Test. 2010, 46, 860–866. [Google Scholar] [CrossRef]
- Bogdan, M.; Błachnio, J.; Kułaszka, A.; Derlatka, M. Assessing the Condition of Gas Turbine Rotor Blades with the Optoelectronic and Thermographic Methods. Metals 2019, 9, 31. [Google Scholar] [CrossRef]
- Lakshmi, M.V.; Mondal, A.K.; Jadhav, C.K.; Sreedhar, S. Quantitative NDE of Aero Engine Turbine Rotor Blade—A case study. In Proceedings of the National Seminar & Exhibition on Non-Destructive Evaluation (NDE 2011), Chennai, India, 8–10 December 2011; pp. 301–304. [Google Scholar]
- Gao, C.; Meeker, W.Q.; Mayton, D. Detecting cracks in aircraft engine fan blades using vibrothermography nondestructive evaluation. Reliab. Eng. Syst. Saf. 2014, 131, 229–235. [Google Scholar] [CrossRef]
- Gryguc, A.; Behravesh, S.; Jahed, H.; Wells, M.; Williams, B.; Gruber, R.; Duquett, A.; Sparrow, T.; Lambrou, M.; Su, X. Effect of thermomechanical processing defects on fatigue and fracture behaviour of forged magnesium. Frat. Integrità Strutt. 2020, 15, 213–227. [Google Scholar] [CrossRef]
- Wang, R.; Zhang, B.; Hu, D.; Jiang, K.; Mao, J.; Jing, F. Cyclic viscoplastic deformation modeling of a nickel-based single crystal superalloy with [001] orientation. MATEC Web Conf. 2018, 165, 19005. [Google Scholar] [CrossRef][Green Version]
- Hong, H.; Kang, J.; Choi, B.; Kim, I.; Yoo, Y.; Jo, C. A comparative study on thermomechanical and low cycle fatigue failures of a single crystal nickel-based superalloy. Int. J. Fatigue 2011, 33, 1592–1599. [Google Scholar] [CrossRef]
- Lee, J.M.; Wee, S.; Yun, J.; Song, H.; Kim, Y.; Koo, J.-M.; Seok, C.-S. Life Prediction of IN738LC Considering Creep Damage under Low Cycle Fatigue. Int. J. Precis. Eng. Manuf. Technol. 2018, 5, 311–316. [Google Scholar] [CrossRef]
- Šmíd, M.; Horník, V.; Kunz, L.; Hrbáček, K.; Hutař, P. High Cycle Fatigue Data Transferability of MAR-M 247 Superalloy from Separately Cast Specimens to Real Gas Turbine Blade. Metals 2020, 10, 1460. [Google Scholar] [CrossRef]
- Zhu, S.-P.; Yue, P.; Yu, Z.-Y.; Wang, Q. A Combined High and Low Cycle Fatigue Model for Life Prediction of Turbine Blades. Materials 2017, 10, 698. [Google Scholar] [CrossRef]
- Li, Z.; Shi, D.; Li, S.; Yang, X.; Li, N. Experimental investigation on creep-fatigue behaviours of as-received and service-exposed turbine blades: Mechanism and life evaluation. Fatigue Fract. Eng. Mater. Struct. 2020, 43, 2892–2906. [Google Scholar] [CrossRef]
- Wang, R.; Zhang, B.; Hu, D.; Jiang, K.; Mao, J.; Jing, F. A critical-plane-based thermomechanical fatigue lifetime prediction model and its application in nickel-based single-crystal turbine blades. Mater. High Temp. 2018, 36, 325–334. [Google Scholar] [CrossRef]
- Wang, R.; Jiang, K.; Jing, F.; Hu, D. Thermomechanical fatigue failure investigation on a single crystal nickel superalloy turbine blade. Eng. Fail. Anal. 2016, 66, 284–295. [Google Scholar] [CrossRef]
- Beghini, M.; Bertini, L.; Santus, C.; Monelli, B.; Scrinzi, E.; Pieroni, N.; Giovannetti, I. High temperature fatigue testing of gas turbine blades. Procedia Struct. Integr. 2017, 7, 206–213. [Google Scholar] [CrossRef]
- Wang, R.; Zhang, B.; Hu, D.; Jiang, K.; Liu, H.; Mao, J.; Jing, F.; Hao, X. Thermomechanical fatigue experiment and failure analysis on a nickel-based superalloy turbine blade. Eng. Fail. Anal. 2019, 102, 35–45. [Google Scholar] [CrossRef]
- Polish Standard PN-EN ISO 3452-1—Non-destructive testing—Penetrant Testing—Part 1: General principles. Available online: https://sklep.pkn.pl/pn-en-iso-3452-1-2013-08e.html (accessed on 10 March 2021).
- Abassi, W.; Rahman, S.; Metala, M.J. NDE Techniques and Lifetime Assessment of Turbine Equipment; Power-Gen International: Orlando, FL, USA, December 2008. [Google Scholar]
- Olejnik, A.; Dziubinski, A.; Kiszkowiak, Ł. CFD simulation of empty fuel tanks separation from a trainer jet. Aircr. Eng. Aerosp. Technol. 2020. [Google Scholar] [CrossRef]
- Olejnik, A.; Dziubinski, A.; Kiszkowiak, Ł. Separation safety analysis using CFD simulation and remeshing. Aerosp. Sci. Technol. 2020, 106, 106190. [Google Scholar] [CrossRef]
- Kukla, D.; Kopec, M.; Kowalewski, Z.L.; Politis, D.J.; Jóźwiak, S.; Senderowski, C. Thermal Barrier Stability and Wear Behavior of CVD Deposited Aluminide Coatings for MAR 247 Nickel Superalloy. Materials 2020, 13, 3863. [Google Scholar] [CrossRef] [PubMed]

















| Element | C | Al | Si | Cr | Co | Ni | Nb |
|---|---|---|---|---|---|---|---|
| wt.% | 2.1 | 6.2 | 4.4 | 4.1 | 10.0 | 70.8 | 2.4 |
| No | Name | Maximum Displacement [m] | Maximum Stresses [MPa] |
|---|---|---|---|
| 1. | Entire HPT blade | 0.445 | 598.8 |
| 2. | Section 1 of HPT blade | 0.147 | 542.9 |
| 3. | Section 2 of HPT blade | 0.208 | 368.3 |
| 4. | Section 3 of HPT blade | 0.278 | 284.2 |
| 5. | Section 4 of HPT blade | 0.357 | 192.2 |
| 6. | Section 5 of HPT blade | 0.431 | 112.6 |
| Point | C | Al | Si | Cr | Fe | Co | Ni |
|---|---|---|---|---|---|---|---|
| 1 | 1.6 | 4.3 | 0.1 | 71.2 | 1.2 | - | 21.6 |
| 2 | 0.9 | 10.9 | - | 15.3 | 0.7 | 1.3 | 71.0 |
| 3 | 1.1 | 6.0 | 0.5 | 20.9 | - | 4.1 | 67.4 |
| 4 | 1.5 | 9.1 | 2.9 | 5.5 | - | 3.6 | 77.4 |
Publisher’s Note: MDPI stays neutral with regard to jurisdictional claims in published maps and institutional affiliations. |
© 2021 by the authors. Licensee MDPI, Basel, Switzerland. This article is an open access article distributed under the terms and conditions of the Creative Commons Attribution (CC BY) license (http://creativecommons.org/licenses/by/4.0/).
Share and Cite
Kukla, D.; Kopec, M.; Sitek, R.; Olejnik, A.; Kachel, S.; Kiszkowiak, Ł. A Novel Method for High Temperature Fatigue Testing of Nickel Superalloy Turbine Blades with Additional NDT Diagnostics. Materials 2021, 14, 1392. https://doi.org/10.3390/ma14061392
Kukla D, Kopec M, Sitek R, Olejnik A, Kachel S, Kiszkowiak Ł. A Novel Method for High Temperature Fatigue Testing of Nickel Superalloy Turbine Blades with Additional NDT Diagnostics. Materials. 2021; 14(6):1392. https://doi.org/10.3390/ma14061392
Chicago/Turabian StyleKukla, Dominik, Mateusz Kopec, Ryszard Sitek, Aleksander Olejnik, Stanisław Kachel, and Łukasz Kiszkowiak. 2021. "A Novel Method for High Temperature Fatigue Testing of Nickel Superalloy Turbine Blades with Additional NDT Diagnostics" Materials 14, no. 6: 1392. https://doi.org/10.3390/ma14061392
APA StyleKukla, D., Kopec, M., Sitek, R., Olejnik, A., Kachel, S., & Kiszkowiak, Ł. (2021). A Novel Method for High Temperature Fatigue Testing of Nickel Superalloy Turbine Blades with Additional NDT Diagnostics. Materials, 14(6), 1392. https://doi.org/10.3390/ma14061392

