Abstract
This study theoretically investigated light reflection and transmission in a system composed of a thin metal layer (Ag) adjacent to a rugate filter (RF) having a harmonic refractive index profile. Narrow dips in reflectance and peaks in transmittance in the RF band gap were obtained due to the excitation of a Tamm plasmon polariton (TPP) at the Ag–RF interface. It is shown that the spectral position and magnitude of the TPP dips/peaks in the RF band gap depend on the harmonic profile parameters of the RF refractive index, the metal layer thickness, and the external medium refractive index. The obtained dependences for reflectance and transmittance allow selecting parameters of the system which can be optimized for various applications.
1. Introduction
Recently, much attention has been paid to the study of Tamm plasmons and their applications. Tamm plasmon (otherwise known as Tamm plasmon polariton—TPP) is an electromagnetic mode localized at the interface between a metal film and a dielectric Bragg mirror [1,2,3,4,5]. Kaliteevsky et al. [3] called these localized modes Tamm plasmons by analogy with the electron states localized near the surface of a solid crystal and predicted by Tamm [6]. TPP localization is provided by the negative dielectric constant of the metal on the one side and the photonic stop band of the Bragg mirror on the other. In contrast to ordinary surface plasmon polaritons that are only transverse magnetic (TM) -polarized and have the dispersion relations outside the light cone, TPPs can be transverse electric (TE)- and TM-polarized with the dispersion inside the light cone. This allows direct optical excitation of TPP with TE- and TM-polarized light at any angle of incidence without the need for a prism or grating [3,4,5,6,7]. These unique capabilities make TPPs very attractive for various photoelectronic applications.
TPPs manifest themselves optically in the form of narrow dips/peaks in the reflection/transmission spectra in the spectral region corresponding to the photonic band gap of the Bragg mirror. TPPs are a good alternative to conventional surface plasmons, with potential applications for sensors [8,9,10,11,12,13,14], Tamm plasmon-based lasers [15,16,17], optical switches and filters [18,19,20], liquid crystal-tuned Tamm plasmon devices [21,22,23], and selective thermal and light emitters [24,25,26,27,28].
Over the past couple of decades, the optical properties of rugate filters (RFs) have been intensively studied [29]. RFs are dielectric thin films with a smooth periodic profile of the refractive index, giving rise to spectral band gaps like Bragg mirrors, typically composed of a square wave profile of the refractive index. The smooth profile of the RF refractive index makes it possible to improve many characteristics of optical devices compared to dielectric multilayer Bragg mirrors. RFs provide a photonic band gap without significant ripples in the reflection spectrum outside the band gap and without its higher harmonics, and they enable the possibility to overlay multiple harmonic waves (giving rise to multiple spectral notches). Furthermore, RFs have substantially higher laser-induced damage thresholds with respect to Bragg mirrors (see, for example, [29,30,31,32]). There have been numerous methods developed for obtaining RFs [33,34,35,36,37]; for example, porous silicon-based RFs represent a popular approach [31,38,39,40,41,42].
In this paper, RFs are explored as structures to excite Tamm plasmons, replacing the previously studied multilayer Bragg mirrors. The influence of RF parameters on the TPP excitation at the metal–RF interface is theoretically studied. The paper is organized as follows. Section 2 introduces a model of the metal–RF structure and derives equations allowing for the calculation of reflectance and transmittance of this structure in the RF band gap. Results of numerical calculations for a system using an Ag layer and their discussion are presented in Section 3. Section 4 presents some brief conclusions.
2. Theoretical Model and Basic Equations
Consider a structure, composed of an RF with a periodic dielectric function along the z-axis and a metal layer adjacent to the RF. A light beam, polarized along the x-axis, is normally incident on the metal layer along the z-axis and propagates through the metal and adjacent dielectric RF. Assuming that the principal axes of the RF dielectric tensor coincide with the Cartesian axes, the Cartesian indices of the electric and magnetic vectors can be omitted. A schematic of the structure together with directions of the light beams propagating in the system is presented in Figure 1.
Figure 1.
Schematic of the “metal layer–rugate filter (RF)” structure together with directions of the light beams propagating in the system and the refractive indices of the constituent substances.
In the area above the metal layer, , the electromagnetic field of the incident and reflected beams is described by the electric and magnetic vectors,
where , is a refractive index of the medium in front of the metal layer, and , are the amplitudes of the incident and reflected beams, respectively.
In the metal layer, , the electric and magnetic vectors of the wave field are written as
where is the complex refractive index of the metal, and , are the amplitudes of the forward and backward waves, respectively.
In the RF area, , the dielectric tensor is periodic along the z-axis. Designating the period with the letter , the dielectric tensor principal value presented in the wave equation can be expanded in a Fourier series,
For the sake of simplicity, neglecting absorption in the RF, can be used in Equation (3), where is the RF average refractive index. Next, consider the case when a wavelength of the incident beam is close to the Bragg wavelength satisfying the Bragg resonance condition , where is an integer. Then, solving the wave equation in the RF area, one can use the coupled wave method [43,44] and present the electric vector of the electromagnetic field in the form of a superposition of the forward and backward waves,
where and are the slowly varying functions satisfying the Kogelnik Equations [39],
In Equation (5) is the offset from the Bragg resonance, . Solving Equation (5) under the assumptions,
one can obtain solutions in the following form [45]:
where , , and coefficients can be determined from the boundary conditions.
Using the Maxwell equation and Equations (4) and (5), the following expression is obtained for the magnetic field vector in the RF area:
In the area below RF, , there is only an outgoing wave described by the electric and magnetic vectors
where is a refractive index of the medium in the area .
Now, to get expressions for the amplitudes of the reflected, , and transmitted, , waves, one can write down the boundary conditions for the electric and magnetic vectors at , and :
when writing Equation (12), the conditions and are used, where is the number of periods of dielectric function along the RF length.
Substituting Equation (7) into Equations (10)–(12), these equations can be solved, and expressions for the reflectance, , and transmittance, , of the system can be obtained in the following form:
where
To consider the case when the RF refractive index is a periodic function, the following form is used:
In Equation (17), varying changes the value of the refractive index in the locations immediately adjacent to the metal; this gives a more general form of the harmonic function of the refractive index. Assuming , the corresponding dielectric function is . According to Equation (3), it has the following non-zero Fourier components: . In this case, in Equations (13)–(16), the integer must be set to 1; therefore, the Bragg wavelength .
3. Results of Numerical Calculations and Discussion
For numerical calculations, we take the “Ag layer–RF” structure with parameters that are close to those previously studied for a system consisting of an Ag plate and a Bragg mirror composed of alternating TiO2 and SiO2 layers with a thickness of and , respectively. In this system, the Tamm plasmon resonances were experimentally detected in the visible region [46]; therefore, we take the same period for the RF refractive index, nm, and average refractive index , calculated as where and are the refractive indices of TiO2 and SiO2, respectively [47,48].
The conditions in Equation (6) impose restrictions on the maximum values of a magnitude of the RF refractive index modulation. Indeed, the RF band gap is proportional to [45] and, therefore, to (taking into account that ). The value or values close to it ensure the fulfillment of the conditions in Equation (6) and are used further in the numerical calculations. For the complex refractive index of Ag, frequency dispersion is taken into account [49]. The refractive indices of media before the Ag layer and after the RF film are parameters that can be varied.
We calculated the reflectance and transmittance spectra of the system composed of the RF film with a refractive index profile described by Equation (17) and the Ag layer placed at the top of the RF (see Figure 1). For calculations, we set the refractive indices of the media before the Ag layer and after the RF as , the Ag layer thickness as 45 nm, and the RF thickness as L = 1919.4 nm (i.e., 14 periods of the RF refractive index). Values of in Equation (17) used for the calculations are presented in Table 1 and selected only as an example.
Table 1.
The RF refractive indices used for numerical calculations.
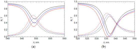
For each initial (at z = 0) phase of the RF refractive index, reflection dips and transmission peaks in the spectral region of the RF band gap were obtained, associated with the excitation of TPP at the Ag layer–RF interface. Results of calculations are shown in Figure 2a for all values presented in Table 1. Figure 2b shows the reflectance of only the RF with the same parameters that were used for each case of in Figure 2a. As can be seen, the inclusion of the thin layer of metal on top of the RF thin film drastically modified the spectral content of the optical architecture.
Figure 2.
(a) Reflectance and transmittance spectra of the “Ag layer–RF” system at different initial phase α: (1, black), (2, blue), (3, red), and (4, orange); reflectance—Solid lines, transmittance—Dashed lines, Ag film thickness = 45 nm. (b) Reflectance spectrum of only the RF, where the numbers near the curves correspond with the values used in Figure 2a.
It can be seen from Figure 2a that the position and magnitude of the TPP spectral bands depend strongly on the initial phase , as the TPP wavelength decreases with increasing α (Figure 2b). Comparing the RF refractive index profiles, which correspond to bands 1 and 3 [] or 2 and 4 we can conclude that the sign of the term added to the RF average refractive index, , significantly affects the TPP wavelength.
The influence of the Ag layer thickness on the TPP wavelength and the TPP dip/peak magnitude is shown in Figure 3 for the bands 1 (Figure 3a), 2 (Figure 3b), 3 (Figure 3c), and 4 (Figure 3d). The TPP wavelength and reflectance dip, as a rule, decrease (the TPP transmittance peak increases) with an increase in Ag layer thickness; however, for peak 3, there is an optimal thickness of 35 nm.
Figure 3.
Influence of the Ag film thickness l on the reflectance and transmittance of the system for different RF profiles n(z); (a) TPP band 1, ; (b) TPP band 2, ; (c) TPP band 3, ; (d) TPP band 4, . Reflectance—Solid lines, transmittance—Dashed lines, l = 30 nm—Black, 35 nm—Orange, 45 nm—Blue, 55 nm—Red. The TPP bands refer to those found in Figure 2.
In Figure 4, we show the influence of the refractive index of the medium above the Ag layer, , on the reflectance and transmittance of the system with the RF profiles from Table 1. In all of these cases, an increase in the refractive index of the medium above the Ag layer leads to a TPP wavelength decrease and a change in the dip/peak magnitude.

Figure 4.
Influence of the refractive index of the medium above the Ag layer, n1, on the reflectance and transmittance: = 1 (black line), 1.5 (blue), and 2.5 (red); (a) TPP band 1; (b) TPP band 2; (c) TPP band 3; (d) TPP band 4. Reflectance—Solid lines, transmittance—Dashed lines, thickness of the Ag layer = 35 nm.
The influence of the refractive index of the medium below the RF, , on the reflectance and transmittance of the system is shown in Figure 5 for the same cases as in Figure 4. As in the case of a change of the refractive index of the medium above the Ag layer, an increase in the medium refractive index below the RF shifts the TPP bands toward shorter wavelengths and changes the dip/peak magnitude.
Figure 5.
Influence of the refractive index of medium below the RF, n2 on reflectance and transmittance: = 1 (black line), 1.5 (blue line), and 2.5 (red line); (a) TPP band 1; (b) TPP band 2; (c) TPP band 3; (d) TPP band 4. Reflectance—Solid lines, transmittance—Dashed lines, thickness of the Ag layer = 35 nm.
As seen from Figure 4 and Figure 5, the dependence of reflectance and transmittance on the refractive index of the media above the metal layer and below the RF is different for different profiles of the RF. Furthermore, the impact of becomes weaker when the transmittance of the system decreases. It takes place for some profiles (see, for example, Figure 4c) or with increasing the number of periods along the RF. In both of these cases, the electromagnetic field at the boundary of the RF with the adjacent medium (after the RF) becomes weaker; therefore, the influence of the adjacent medium on TPP is also weakened.
The TPP wavelength is proportional to the Bragg wavelength [3], and there is an obvious shift in the spectral position of the TPP bands with a change in the RF period and the average refractive index . However, the influence of the magnitude of the RF refractive index modulation, , is not obvious. In Figure 6, we show reflectance and transmittance of the system with fixed and , but with different values for the RF refractive index profiles taken from Table 1.
Figure 6.
Reflectance and transmittance of the system at different values np = 0.15 (red), 0.2 (blue), and 0.25 (black); (a) TPP band 1; (b) TPP band 2; (c) TPP band 3; (d) TPP band 4. Thickness of the Ag layer = 35 nm, = 137.1 nm, .
The RF band gap is proportional to and, therefore, broadens with increasing . This broadening leads to a TPP wavelength shift (see Figure 6), which has an opposite sign for the peaks to the right and left of the RF band gap center (see Figure 2a,b). As a result, the TPP wavelength in the case of bands 1 and 2 increases with increasing (Figure 6a,b, respectively), while the TPP wavelength in the case of the bands 3 and 4 decreases with increasing (Figure 6c,d, respectively). The magnitude of the reflectance dips and transmittance peaks can change with increasing depending on the dip/peak spectral position.
Calculations were also performed for the case when the Ag layer is placed at the bottom of RF. The character of the dependence of reflectance and transmittance on the parameters of the system in this case is the same as in the case of the Ag layer on the top of RF. However, the degree of influence of these parameters decreases significantly with an increasing number of RF periods due to a strong decrease in the electromagnetic field exciting the TPP at the bottom of the RF.
We also compared the results of calculating the reflectance and transmission spectra at using Equations (13)–(16) to results obtained using COMSOL modeling. A difference between these cases is barely noticeable.
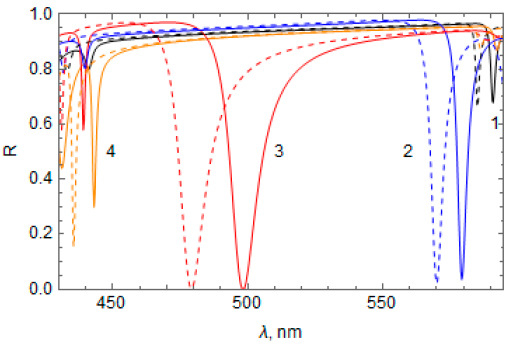
Lastly, we also calculated the reflectance spectrum of the “Ag layer + RF” system using Equation (13), slightly going beyond the conditions in Equation (6) for applicability of the obtained analytical solution. For this, we set the magnitude of the RF refractive index modulation to be . In this case, and the second condition in Equation (6) is violated. Results of the calculation for all cases of the RF refractive index profile presented in Table 1 at are shown in Figure 7 (dotted curves). In the same figure, we also show the results of calculating the reflectance spectrum obtained using COMSOL software (solid curves).
Figure 7.
Comparison of the reflectance spectrum of the “Ag layer + RF” calculated using COMSOL software (solid lines) and using Equations (12)–(15) (dashed lines) at TPP bands are numbered according to Table 1: 1 (black), 2 (blue), 3 (red), 4 (orange). , = 137.1 nm, thickness of the Ag layer = 45 nm.
It can be seen that, for all considered cases of , the qualitative picture of the spectral distribution of TPP bands obtained using the analytical solution remains the same as in the calculation using COMSOL software. This holds true even when there is a slight violation of the condition in Equation (6), although, in this case, the wavelength of the TPP bands is slightly shifted toward shorter waves, as shown in Figure 7.
4. Conclusions
We studied the light reflectance and transmittance of a system composed of a metal (Ag) layer adjacent to a rugate filter having a harmonic refractive index profile. Narrow dips in the reflectance and peaks in the transmittance were obtained, due to the excitation of TPP at the Ag layer–RF interface. We show that parameters of the harmonic profile of the RF refractive index significantly affect the TPP wavelength and magnitude of the TPP dips/peaks. Depending on the profile of the RF refractive index, the spectral position of the TPP can be at any point in the RF band gap. The influence of the metal layer thickness and the external medium refractive index on the position and magnitude of the TPP dips/peaks was also established. It should be noted that the proposed analytical solution describes the spectral position and magnitude of the TPP bands quite well, even when the RF parameters slightly violate the conditions for its derivation.
Lastly, we would like to point out that the potential applications of TPPs on metal with adjacent RF include all areas where TPPs on metal with an adjacent traditional Bragg mirror are applicable, but with the advantages of RF mentioned in Section 1. In particular, the possibility of superimposing several harmonic waves of the refractive index in RF allows for the simultaneous use of several spectral notches, which makes it possible to use TPPs excited in the spectral region of different notches.
We believe that the proposed analytical method for studying plasmonic structures with an RF and the obtained dependences of reflectance and transmittance can be used for designing devices based on Tamm plasmons.
Author Contributions
Conceptualization and methodology, V.Y.R.; investigation and writing—original draft preparation, I.P.P.; conceptualization, validation, and writing—review and editing, T.J.B.; writing—review and editing and supervision, D.R.E. All authors have read and agreed to the published version of the manuscript.
Funding
This research was partially funded by STCU, grant number P652c, and the Ministry of Education and Science of Ukraine, grant number 20BF051-04.
Institutional Review Board Statement
Not applicable.
Informed Consent Statement
Not applicable.
Data Availability Statement
Data sharing not applicable.
Conflicts of Interest
The authors declare no conflict of interest. The funders had no role in the design of the study; in the collection, analyses, or interpretation of data; in the writing of the manuscript, or in the decision to publish the results.
References
- Gaspar-Armenta, A.; Villa, F. Photonic surface-wave excitation: Photonic crystal-metal interface. J. Opt. Soc. Am. B 2003, 20, 2349–2354. [Google Scholar] [CrossRef]
- Vinogradov, A.P.; Dorofeenko, A.V.; Erokhin, S.G.; Inoue, M.; Lisyansky, A.A.; Merzlikin, A.M.; Granovsky, A.B. Surface state peculiarities in one-dimensional photonic crystal interfaces. Phys. Rev. B 2006, 74, 045128. [Google Scholar] [CrossRef]
- Kaliteevski, M.; Iorsh, I.; Brand, S.; Abram, R.A.; Chamberlain, J.M.; Kavokin, A.V.; Shelykh, I.A. Tamm plasmon-polaritons: Possible electromagnetic states at the interface of a metal and a dielectric Bragg mirror. Phys. Rev. B 2007, 76, 165415. [Google Scholar] [CrossRef]
- Sasin, M.E.; Seisyan, R.P.; Kalitteevski, M.A.; Brand, S.; Abram, R.A.; Chamberlain, J.M.; Egorov, A.Y.u.; Vasil’ev, A.P.; Mikhrin, V.S.; Kavokin, A.V. Tamm plasmon polaritons: Slow and spatially compact light. Appl. Phys. Lett. 2008, 92, 251112. [Google Scholar] [CrossRef]
- Sasin, M.E.; Seisyan, R.P.; Kalitteevski, M.A.; Brand, S.; Abram, R.A.; Chamberlain, J.M.; Iorsh, I.; Shelykh, I.; Egorov, A.Y.U.; Vasil’ev, A.P.; et al. Tamm plasmon-polaritons: First experimental observation. Superlattices Microstruct. 2010, 47, 44–49. [Google Scholar] [CrossRef]
- Tamm, I. Über eine mögliche Art der Elektronenbindung an Kristalloberflächen. Z. Phys. 1932, 76, 849–850. [Google Scholar] [CrossRef]
- Takayama, O.; Bogdanov, A.A.; Lavrinenko, A.B. Photonic surface waves on metamaterial interfaces. J. Phys. Cond. Mat. 2017, 29, 463001. [Google Scholar] [CrossRef] [PubMed]
- Zhang, W.L.; Wang, F.; Rao, Y.J.; Jiang, Y. Novel sensing concept based on optical Tamm plasmon. Opt. Exp. 2014, 22, 14524–14529. [Google Scholar] [CrossRef] [PubMed]
- Auguié, B.; Fuertes, M.C.; Angelomé, P.C.; Abdala, N.L.; Soler Illia, G.J.A.A.; Fainstein, A. Tamm plasmon resonance in mesoporous multilayers: Toward a sensing application. ACS Photonics 2014, 1, 775–780. [Google Scholar] [CrossRef]
- Baryshev, A.V.; Merzlikin, A.M. Approach to visualization of and optical sensing by Bloch surface waves in noble or base metal-based plasmonic photonic crystal slabs. Appl. Opt. 2014, 53, 3142–3146. [Google Scholar] [CrossRef] [PubMed]
- Kumar, S.; Maji, P.S.; Das, R. Tamm-plasmon resonance based temperature sensor in a Ta2O5/SiO2 based distributed Bragg reflector. Sens. Actuators A 2017, 260, 10–15. [Google Scholar] [CrossRef]
- Maji, P.S.; Shukla, M.K.; Das, R. Blood component detection based on miniaturized self-referenced hybrid Tamm-plasmon-polariton sensor. Sens. Actuators B 2018, 255, 729–734. [Google Scholar] [CrossRef]
- Buzavaite-Verteliene, E.; Plikusiene, I.; Tolenis, T.; Valavicius, A.; Anulyte, J.; Ramanavicius, A.; Balevicius, Z. Hybrid Tamm-surface plasmon polariton mode for highly sensitive detection of protein interactions. Opt. Express 2020, 28, 29033–29043. [Google Scholar] [CrossRef] [PubMed]
- Balevicius, Z. Strong coupling between Tamm and surface plasmons for advanced optical bio-sensing. Coatings 2020, 10, 1187. [Google Scholar] [CrossRef]
- Symonds, C.; Lemaître, A.; Senellart, P.; Jomaa, M.H.; Aberra Guebrou, S.; Homeyer, E.; Brucoli, G.; Bellessa, J. Lasing in a hybrid GaAs/silver Tamm structure. Appl. Phys. Lett. 2012, 100, 121122. [Google Scholar] [CrossRef]
- Brückner, R.; Zakhidov, A.A.; Scholz, R.; Sudzius, M.; Hintschich, S.I.; Fröb, H.; Lyssenko, V.G.; Leo, K. Phase-locked coherent modes in a patterned metal–organic microcavity. Nat. Photonics 2012, 6, 322–326. [Google Scholar] [CrossRef]
- Symonds, C.; Lheureux, G.; Hugonin, J.P.; Greffet, J.J.; Laverdant, J.; Brucoli, G.; Lemaitre, A.; Senellart, P.; Bellessa, J. Confined Tamm plasmon lasers. Nano Lett. 2013, 13, 3179–3184. [Google Scholar] [CrossRef]
- Zhang, W.L.; Yu, S.F. Bistable switching using an optical Tamm cavity with a Kerr medium. Opt. Commun. 2010, 283, 2622–2626. [Google Scholar] [CrossRef]
- Zhou, H.; Yang, G.; Wang, K.; Long, H.; Lu, P. Multiple optical Tamm states at a metal−dielectric mirror interface. Opt. Lett. 2010, 35, 4112–4114. [Google Scholar] [CrossRef]
- Gong, Y.; Liu, X.; Lu, H.; Wang, I.; Wang, G. Perfect absorber supported by optical Tamm states in plasmonic waveguide. Opt. Exp. 2011, 19, 18393–18398. [Google Scholar] [CrossRef]
- Cheng, H.-C.; Kuo, C.-Y.; Hung, Y.-J.; Chen, K.-P.; Jeng, S.-C. Liquid-Crystal Active Tamm-Plasmon Devices. Phys. Rev. Appl. 2018, 9, 064034. [Google Scholar] [CrossRef]
- Timofeev, I.V.; Pankin, P.S.; Vetrov, S.Y.; Arkhipkin, V.G.; Lee, W.; Zyryanov, V.Y. Chiral Optical Tamm States: Temporal Coupled-Mode Theory. Crystals 2017, 7, 113. [Google Scholar] [CrossRef]
- Buchnev, O.; Belosludtsev, A.; Reshetnyak, V.; Evans, D.R.; Fedotov, V.A. Observing and controlling a Tamm plasmon at the interface with a metasurface. Nanophotonics 2020, 9, 897–903. [Google Scholar] [CrossRef]
- Yang, Z.-Y.; Ishii, S.; Yokoyama, T.; Dao, T.D.; Sun, M.-G.; Nagao, T.; Chen, K.-P. Tamm plasmon selective thermal emitters. Opt. Lett. 2016, 41, 4453–4456. [Google Scholar] [CrossRef] [PubMed]
- Yang, Z.-Y.; Ishii, S.; Yokoyama, T.; Dao, T.D.; Sun, M.-G.; Pankin, P.S.; Timofeev, I.V.; Nagao, T.; Chen, K.-P. Narrowband wavelength selective thermal emitters by confined Tamm plasmon polaritons. ACS Photonics 2017, 4, 2212–2219. [Google Scholar] [CrossRef]
- Lee, B.J.; Fu, C.J.; Zhang, Z.M. Coherent thermal emission from one-dimensional photonic crystals. Appl. Phys. Lett. 2005, 87, 071904. [Google Scholar] [CrossRef]
- Gazzano, O.; Vasconcellos, S.M.; Gauthron, K.; Symonds, C.; Voisin, P.; Bellessa, J.; Lemaître, A.; Senellart, P. Single photon source using confined Tamm plasmon modes. Appl. Phys. Lett. 2012, 100, 232111. [Google Scholar] [CrossRef]
- Jiménez-Solano, A.; Galisteo-López, J.F.; Míguez, H. Flexible and adaptable light-emitting coatings for arbitrary metal surfaces based on optical Tamm mode coupling. Adv. Opt. Mater. 2018, 6, 1700560. [Google Scholar] [CrossRef]
- Bovard, B.G. Rugate filter theory: An overview. Appl. Opt. 1993, 32, 5427–5442. [Google Scholar] [CrossRef]
- Southwell, W.H.; Hall, R.L. Rugate filter sidelobe suppression using quintic and rugated quintic matching layers. Appl. Opt. 1989, 28, 2949–2951. [Google Scholar] [CrossRef]
- Lorenzo, E.; Oton, C.J.; Capuj, N.E.; Ghulinyan, M.; Navarro-Urrios, D.; Gaburro, Z.; Pavesi, L. Porous silicon-based rugate filters. Appl. Opt. 2005, 44, 5415–5421. [Google Scholar] [CrossRef] [PubMed]
- Jupé, M.; Lappschies, M.; Jensen, L.; Starke, K.; Ristau, D. Laser-induced damage in gradual index layers and Rugate filters. Proc. SPIE 2006, 6403, 640311. [Google Scholar]
- Bartholomew, C.S.; Morrow, M.D.; Betz, H.T.; Grieser, J.L.; Spence, R.A.; Murarka, N.P. Rugate filters by laser flash evaporation of SiOxNy on room-temperature polycarbonate. J. Vac. Sci. Technol. A 1988, 6, 1703–1707. [Google Scholar] [CrossRef]
- Gunning, W.J.; Hall, R.L.; Woodberry, F.J.; Southwell, W.H.; Gluck, N.S. Codeposition of continuous composition rugate filters. Appl. Opt. 1989, 28, 2945–2948. [Google Scholar] [CrossRef] [PubMed]
- Jankowski, A.F.; Schrawyer, L.R.; Perry, P.L. Reactive sputtering of molybdenum-oxide gradient-index filters. J. Vac. Sci. Technol. A 1991, 9, 1184–1187. [Google Scholar] [CrossRef]
- Swart, P.L.; Bulkin, P.V.; Lacquet, B.M. Rugate filter manufacturing by electron cyclotron resonance plasma-enhanced chemical vapor deposition of SiNx. Opt. Eng. 1997, 36, 1214–1219. [Google Scholar] [CrossRef]
- Kaminska, K.; Brown, T.; Beydaghyan, G.; Robbie, K. Rugate filters grown by glancing angle deposition. In Applications of Photonic Technology 5; Lessard, R.A., Lampropoulos, G.A., Schini, G.W., Eds.; SPIE: Bellingham, WA, USA, 2003; Volume 4833, pp. 633–639. [Google Scholar]
- Berger, M.G.; Arens-Fischer, R.; Thönissen, M.; Krüger, M.; Billat, S.; Lüth, H.; Hilbrich, S.; Theiss, W.; Grosse, P. Dielectric filters made of PS: Advanced performance by oxidation and new layer structures. Thin Solid Films 1997, 297, 237–240. [Google Scholar] [CrossRef]
- Kaminska, K.; Brown, T.; Beydaghyan, G.; Robbie, K. Vacuum evaporated porous silicon photonic interference filters. Appl. Opt. 2003, 42, 4212–4219. [Google Scholar] [CrossRef]
- Keshavarzi, S.; Kovacs, A.; Abdo, M.; Badilita, V.; Zhu, R.; Korvink, J.G.; Mescheder, U. Porous silicon based rugate filter wheel for multispectral imaging applications. ECS J. Sol. St. Sci. Tech. 2019, 8, Q43–Q49. [Google Scholar] [CrossRef]
- Ilyasa, S.; Böckinga, T.; Kilianb, K.; Reecea, P.J.; Goodingb, J.; Gausc, K.; Gala, M. Porous silicon based narrow line-width rugate filters. Opt. Mater. 2007, 29, 619–622. [Google Scholar] [CrossRef]
- Verly, P.G. Hybrid approach for rugate filter design. Appl. Opt. 2008, 47, C172–C178. [Google Scholar] [CrossRef] [PubMed]
- Kogelnik, H. Coupled wave theory for thick hologram gratings. Bell Syst. Tech. J. 1969, 48, 2909–2947. [Google Scholar] [CrossRef]
- Yariv, A.; Yeh, P. Optical Waves in Crystals: Propagation and Control of Laser Radiation; J. Wiley & Sons: Hoboken, NJ, USA, 2003; pp. 177–201. [Google Scholar]
- Karpov, S.Y.; Stolyarov, S.N. Propagation and transformation of electromagnetic waves in one-dimensional periodic structures. Phys. Usp. 1993, 36, 1–22. [Google Scholar] [CrossRef]
- Chang, C.-Y.; Chen, Y.-H.; Tsai, Y.-L.; Kuo, H.-C.; Chen, K.-P. Tunability and optimization of coupling efficiency in Tamm plasmon modes. IEEE J. Sel. Top. Quant. Electr. 2015, 21, 4600206. [Google Scholar] [CrossRef]
- Siefke, T.; Kroker, S.; Pfeiffer, K.; Puffky, O.; Dietrich, K.; Franta, D.; Ohlídal, I.; Szeghalmi, A.; Kley, E.-B.; Tünnermann, A. Materials pushing the application limits of wire grid polarizers further into the deep ultraviolet spectral range. Adv. Opt. Mater. 2016, 4, 1780–1786. [Google Scholar] [CrossRef]
- Gao, L.; Lemarchand, F.; Lequime, M. Refractive index determination of SiO2 layer in the UV/Vis/NIR range: Spectrophotometric reverse engineering on single and bi-layer designs. J. Eur. Opt. Soc. Rap. Publ. 2013, 8, 13010. [Google Scholar] [CrossRef]
- Rakić, A.D.; Djurišic, A.B.; Elazar, J.M.; Majewski, M.L. Optical properties of metallic films for vertical-cavity optoelectronic devices. Appl. Opt. 1998, 37, 5271–5283. [Google Scholar] [CrossRef] [PubMed]
Publisher’s Note: MDPI stays neutral with regard to jurisdictional claims in published maps and institutional affiliations. |
© 2021 by the authors. Licensee MDPI, Basel, Switzerland. This article is an open access article distributed under the terms and conditions of the Creative Commons Attribution (CC BY) license (http://creativecommons.org/licenses/by/4.0/).