Experimental Study on Bond Performance of Carbon- and Glass-Fiber Reinforced Polymer (CFRP/GFRP) Bars and Steel Strands to Concrete
Abstract
1. Introduction
2. Materials and Method
2.1. FRP Bars and Steel Strands
2.2. Concrete
2.3. Pull-Out Tests
2.4. Definition of Specimen Label
3. Test Results
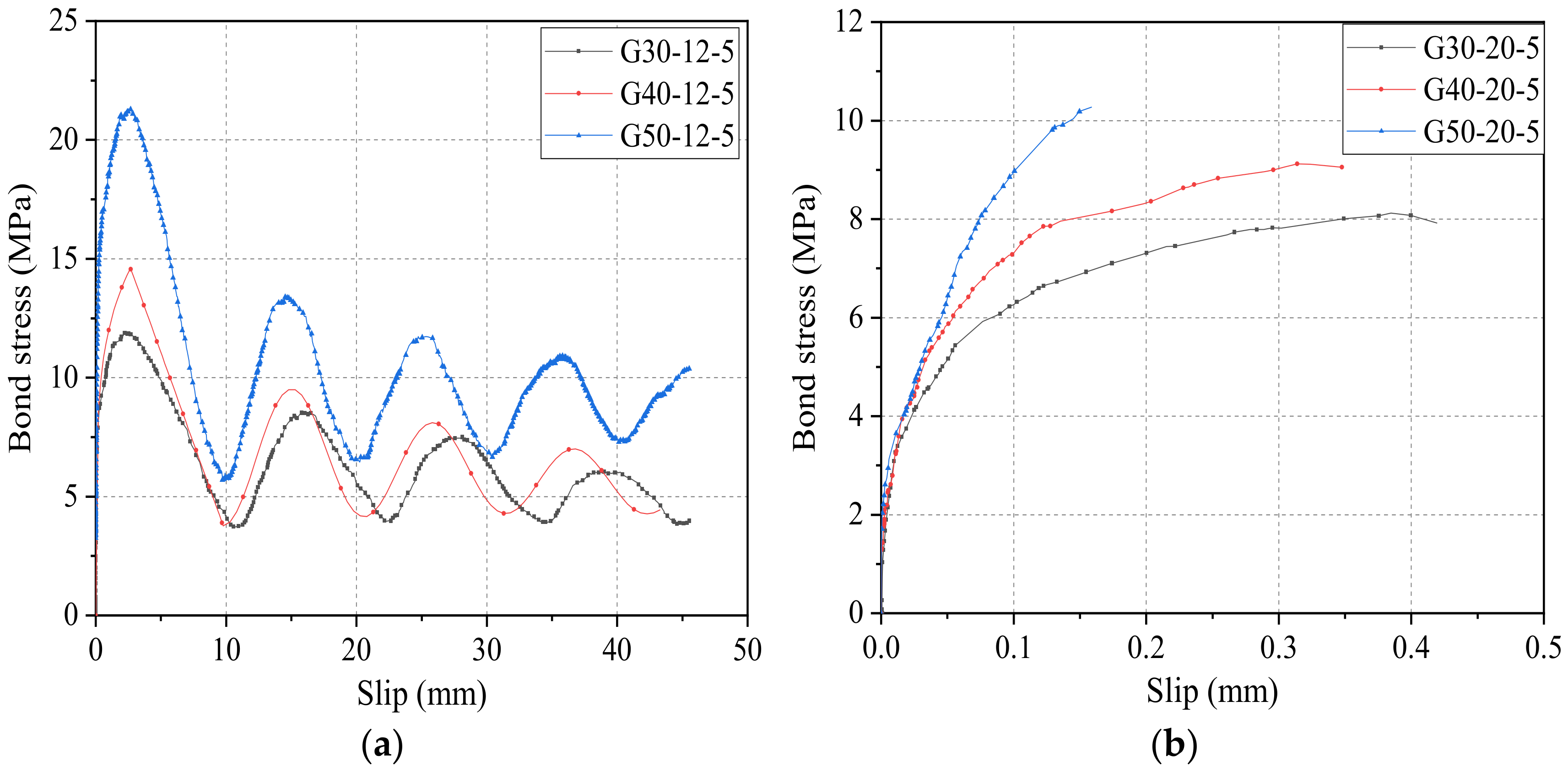
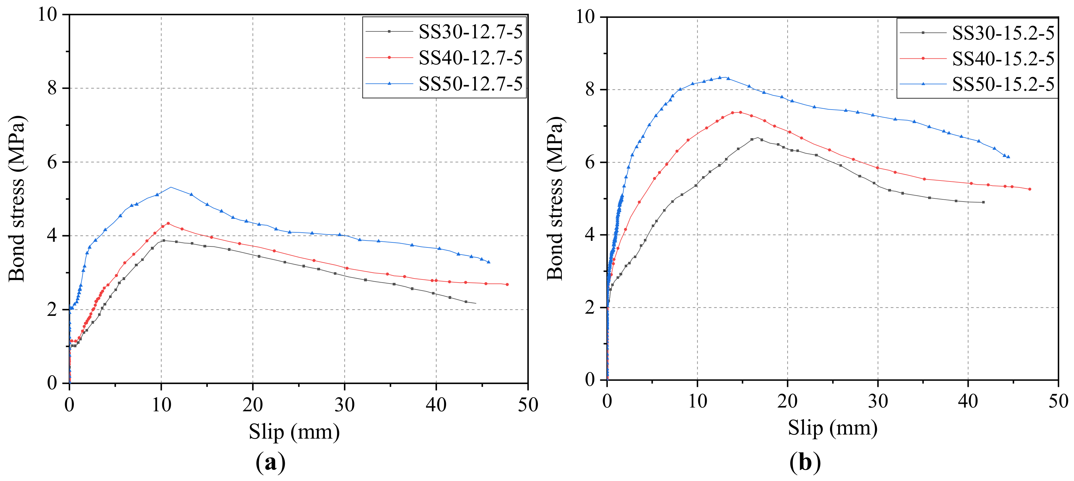
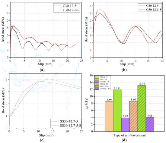
Typical Bond–Slip Curves and Failure Modes
4. Discussions
4.1. Influence of Various Factors
4.1.1. Effect of Type of Reinforcement
4.1.2. Effect of Grade of Concrete
4.1.3. Effect of Bond Length
4.1.4. Effect of Diameter of Reinforcement
4.1.5. Effect of Stirrup
4.2. Discussion of Bond Strength Retention Rate of GFRP/CFRP Bars and Steel Strands
5. Conclusions
Author Contributions
Funding
Institutional Review Board Statement
Informed Consent Statement
Data Availability Statement
Conflicts of Interest
References
- Nkurunziza, G.; Debaiky, A.; Cousin, P.; Benmokrane, B. Durability of GFRP bars: A critical review of the literature. Prog. Struct. Eng. Mater. 2005, 7, 194–209. [Google Scholar] [CrossRef]
- Sastri, V.S.; Ghali, E.; Elboujdaini, M. Corrosion Prevention and Protection: Practical Solutions; John Wiely & Sons Inc.: Hoboken, NJ, USA, 2012. [Google Scholar]
- ACI 440.1R-2015, Guide for the Design and Construction of Structural Concrete Reinforced with Fiber-Reinforced Polymer (FRP) Bars; American Concrete Institute: Farmington Hills, MI, USA, 2015.
- Bedard, C. Composite reinforcing bars. Assessing their use in construction. Concr. Int. 1992, 14, 55–59. [Google Scholar]
- Yan, L.; Kasal, B.; Huang, L. A review of recent research on the use of cellulosic fibres, their fibre fabric reinforced cementitious, geo-polymer and polymer composites in civil engineering. Compos. Part B Eng. 2016, 92, 94–132. [Google Scholar] [CrossRef]
- Saadatmanseh, E.; Ehsani, M. Application of fibre-composites in civil engineering. In Proceedings of the Sessions Related to Structural Materials at Structures Congress, San Francisco, CA, USA, 1–5 May 1989; ASCE: Reston, VA, USA, 1989; pp. 526–535. [Google Scholar]
- Head, P.R. Advanced Composites in Civil Engineering—A Critical Overview at This High Interest, Low Use Stage of Development. In Proceedings of the Second International Conference on Advanced Composite Materials in Bridges and Structures, Montréal, QC, Canada, 11–14 August 1996; pp. 3–15. [Google Scholar]
- Robert, M.; Cousin, P.; Benmokrane, B. Durability of GFRP Reinforcing Bars Embedded in Moist Concrete. J. Compos. Constr. 2009, 13, 66–73. [Google Scholar] [CrossRef]
- Robert, M.; Benmokrane, B. Combined effects of saline solution and moist concrete on long-term durability of GFRP reinforcing bars. Constr. Build. Mater. 2013, 38, 274–284. [Google Scholar] [CrossRef]
- Wang, L.; Yi, J.; Zhang, J.; Chen, W.; Fu, F. Short-Term Flexural Stiffness Prediction of CFRP Bars Reinforced Coral Concrete Beams. Materials 2021, 14, 467. [Google Scholar] [CrossRef]
- Sharma, M.; Gao, S.; Mäder, E.; Sharma, H.; Wei, L.Y.; Bijwe, J. Carbon fiber surfaces and composite interphases. Compos. Sci. Technol. 2014, 102, 35–50. [Google Scholar] [CrossRef]
- Karbhari, V.M.; Chin, J.W.; Hunston, D.; Benmokrane, B.; Juska, T.; Morgan, R.; Lesko, J.J.; Sorathia, U.; Reynaud, D. Durability Gap Analysis for Fiber-Reinforced Polymer Composites in Civil Infrastructure. J. Compos. Constr. 2003, 7, 238–247. [Google Scholar] [CrossRef]
- Al-Salloum, Y.A.; El-Gamal, S.; Almusallam, T.H.; Alsayed, S.H.; Aqel, M. Effect of harsh environmental conditions on the tensile properties of GFRP bars. Compos. Part B Eng. 2013, 45, 835–844. [Google Scholar] [CrossRef]
- Lal, H.M.M.; Xian, G.; Thomas, S.; Zhang, L.; Zhang, Z.; Wang, H. Experimental Study on the Flexural Creep Behaviors of Pultruded Unidirectional Carbon/Glass Fiber-Reinforced Hybrid Bars. Materials 2020, 13, 976. [Google Scholar] [CrossRef]
- Mallick, P. Fiber-Reinforced Composites: Materials, Manufacturing, and Design, 3rd ed.; CRC Press: Boca Raton, FL, USA, 2007. [Google Scholar]
- Nanni, A.; De Luca, A.; Zadeh, H. Reinforced Concrete with FRP Bars Mechanics and Design; CRC Press: Boca Raton, FL, USA, 2014; pp. 191–192. [Google Scholar] [CrossRef]
- Bywalski, C.; Drzazga, M.; Kaźmierowski, M.; Kamiński, M. Shear Behavior of Concrete Beams Reinforced with a New Type of Glass Fiber Reinforced Polymer Reinforcement: Experimental Study. Materials 2020, 13, 1159. [Google Scholar] [CrossRef] [PubMed]
- Baena, M.; Torres, L.; Turon, A.; Barris, C. Experimental study of bond behaviour between concrete and FRP bars using a pull-out test. Compos. Part B Eng. 2009, 40, 784–797. [Google Scholar] [CrossRef]
- Achillides, Z.; Pilakoutas, K. Bond Behavior of Fiber Reinforced Polymer Bars under Direct Pullout Conditions. J. Compos. Constr. 2004, 8, 173–181. [Google Scholar] [CrossRef]
- Benmokrane, B.; Zhang, B.; Laoubi, K.; Tighiouart, B.; Lord, I. Mechanical and bond properties of new generation of carbon fibre reinforced polymer reinforcing bars for concrete structures. Can. J. Civ. Eng. 2002, 29, 338–343. [Google Scholar] [CrossRef]
- Solyom, S.; Balázs, G.L. Bond of FRP bars with different surface characteristics. Constr. Build. Mater. 2020, 264, 119839. [Google Scholar] [CrossRef]
- Zheng, Y.; Ni, M.; Lu, C.; Chu, T.; Wu, X. Bond Behavior of GFRP-Concrete under Long-term Exposure to Aggressive Environments. J. Adv. Concr. Technol. 2020, 18, 730–742. [Google Scholar] [CrossRef]
- Ellis, D.S.; Tabatabai, H.; Nabizadeh, A. Residual Tensile Strength and Bond Properties of GFRP Bars after Exposure to Elevated Temperatures. Materials 2018, 11, 346. [Google Scholar] [CrossRef] [PubMed]
- Yan, F.; Lin, Z.; Zhang, D.; Gao, Z.; Li, M. Experimental study on bond durability of glass fiber reinforced polymer bars in concrete exposed to harsh environmental agents: Freeze-thaw cycles and alkaline-saline solution. Compos. Part B Eng. 2017, 116, 406–421. [Google Scholar] [CrossRef]
- Özkal, F.M.; Polat, M.; Yağan, M.; Öztürk, M.O. Mechanical properties and bond strength degradation of GFRP and steel rebars at elevated temperatures. Constr. Build. Mater. 2018, 184, 45–57. [Google Scholar] [CrossRef]
- Robert, M.; Benmokrane, B. Effect of aging on bond of GFRP bars embedded in concrete. Cem. Concr. Compos. 2010, 32, 461–467. [Google Scholar] [CrossRef]
- Bazli, M.; Zhao, X.L.; Raman, R.K.S.; Bai, Y.; Al-Saadi, S. Bond strength durability between frp tubes and seawater sea sand concrete under sea water condition. In Proceedings of the Seventh Asia-Pacific Conference on FRP in Structures (APFIS 2019), Gold Coast, Australia, 10–13 December 2019. [Google Scholar]
- Li, G.; Zhao, J.; Wang, Z. Fatigue Behavior of Glass Fiber-Reinforced Polymer Bars after Elevated Temperatures Exposure. Materials 2018, 11, 1028. [Google Scholar] [CrossRef] [PubMed]
- Salmons, J.R.; McCrate, T.E. Bond characteristics of untensioned prestressing strand. PCI J. 1977, 22, 52–65. [Google Scholar] [CrossRef]
- Gustavso, R. Experimental studies of the bond response of three-wire strands and some influencing parameters. Mater. Struct. 2004, 37, 96–106. [Google Scholar] [CrossRef]
- Martí-Vargas, J.; Serna, P.; Navarro-Gregori, J.; Bonet, J. Effects of concrete composition on transmission length of prestressing strands. Constr. Build. Mater. 2012, 27, 350–356. [Google Scholar] [CrossRef]
- Godat, A.; Aldaweela, S.; Aljaberi, H.; Al Tamimi, N.; Alghafri, E. Bond strength of FRP bars in recycled-aggregate concrete. Constr. Build. Mater. 2021, 267, 120919. [Google Scholar] [CrossRef]
- El-Nemr, A.; Ahmed, E.A.; Barris, C.; Benmokrane, B. Bond-dependent coefficient of glass- and carbon-FRP bars in normal- and high-strength concretes. Constr. Build. Mater. 2016, 113, 77–89. [Google Scholar] [CrossRef]
- Baena, M.; Torres, L.; Turon, A.; Llorens, M.; Barris, C. Bond behaviour between recycled aggregate concrete and glass fibre reinforced polymer bars. Constr. Build. Mater. 2016, 106, 449–460. [Google Scholar] [CrossRef]
- Xie, J.; Simiyu, E.S.; Lei, G.; Nie, Z. Experimental study on bonding properties between steel strand and concrete at cryogenic temperatures. Trans. Tianjin Univ. 2016, 22, 308–316. [Google Scholar] [CrossRef]
- Yi, J.; Wang, L.; Floyd, R.W.; Zhang, J. Rotation-affected bond strength model between steel strand and concrete. Eng. Struct. 2020, 204, 110060. [Google Scholar] [CrossRef]
- Li, F.; Qu, Y.; Wang, J. Bond life degradation of steel strand and concrete under combined corrosion and fatigue. Eng. Fail. Anal. 2017, 80, 186–196. [Google Scholar] [CrossRef]
- ASTM D7205/D7205M-06(2016), Standard Test Method for Tensile Properties of Fiber Reinforced Polymer Matrix Composite Bars; ASTM: West Conshohocken, PA, USA, 2016.
- Losberg, A.; Olsson, P. Bond failure of deformed reinforcing bars based on the longitudinal splitting effect of the bars. J. Proc. 1976, 76, 5–18. [Google Scholar]
- Lee, Y.H.; Kim, M.S.; Kim, H.; Lee, J.; Kim, D.-J. Experimental study on bond strength of fiber reinforced polymer rebars in normal strength concrete. J. Adhes. Sci. Technol. 2013, 27, 508–522. [Google Scholar] [CrossRef]


















| Bar Type | Tensile Strength (MPa) | Modulus of Elasticity (GPa) |
|---|---|---|
| CFRP-12 mm | 2322 | 144 |
| CFRP-20 mm | 2108 | 143 |
| GFRP-12 mm | 991 | 44 |
| GFRP-20 mm | 744 | 45 |
| Steel strand-12.7 mm | 1860 | 195 |
| Steel strand-15.2 mm | 1860 | 195 |
| Design Grade | W/C | Water (kg/m3) | Cement (kg/m3) | River Sand (kg/m3) | Gravel (kg/m3) | Water Reducer (kg/m3) | Compressive Strength (MPa) |
|---|---|---|---|---|---|---|---|
| C30 | 0.62 | 215 | 347 | 701 | 1137 | 0 | 39.3 |
| C40 | 0.48 | 214 | 448 | 614 | 1124 | 0 | 46.9 |
| C50 | 0.40 | 149 | 375 | 760 | 1115 | 1.49 | 60.7 |
| Specimen | Diameter d (mm) | Bond Length l (mm) | Bond Strength τ0 (MPa) | Residual Bond Strength τ1 (MPa) | τ1/τ0 | s0 (mm) | s1 (mm) | s1/s0 | Failure Mode |
|---|---|---|---|---|---|---|---|---|---|
| C30-10-5 | 10 | 5d | 13.11 ± 1.21 | 9.06 ± 0.24 | 0.69 | 1.02 ± 0.02 | 7.68 ± 1.02 | 7.53 | Pull-out |
| C30-10-7.5 | 10 | 7.5d | 12.27 ± 2.98 | 8.61 ± 2.42 | 0.70 | 1.27 ± 0.12 | 8.24 ± 1.51 | 6.49 | Pull-out |
| C30-10-10 | 10 | 10d | 10.21 ± 2.41 | 6.62 ± 1.72 | 0.65 | 0.88 ± 0.01 | 5.84 ± 0.28 | 6.63 | Pull-out |
| C30-12-5 | 12 | 5d | 8.59 ± 0.39 | 4.45 ± 0.05 | 0.52 | 0.47 ± 0.05 | 5.94 ± 1.38 | 12.64 | Pull-out |
| C30-12-7.5 | 12 | 7.5d | 10.06 ± 1.65 | 4.69 ± 1.82 | 0.47 | 0.70 ± 0.61 | 7.51 ± 2.91 | 10.72 | Pull-out |
| C30-12-10 | 12 | 10d | 9.23 ± 1.76 | 4.42 ± 1.01 | 0.47 | 0.56 ± 0.08 | 7.85 ± 0.67 | 14.02 | Pull-out |
| C30-12-5-S | 12 | 5d | 8.66 ± 1.11 | 5.48 ± 1.44 | 0.63 | 1.06 ± 0.25 | 7.16 ± 4.93 | 6.75 | Pull-out |
| G30-12-5 | 12 | 5d | 11.91 ± 1.13 | 8.57 ± 0.67 | 0.72 | 2.73 ± 0.05 | 15.57 ± 0.48 | 5.70 | Pull-out |
| G30-12-7.5 | 12 | 7.5d | 11.40 ± 1.02 | - | - | 1.03 ± 0.84 | - | - | Splitting |
| G30-12-10 | 12 | 10d | 10.19 ± 0.92 | - | - | 0.26 ± 0.07 | - | - | Splitting |
| G30-20-5 | 20 | 5d | 8.12 ± 0.50 | - | - | 0.38 ± 0.11 | - | - | Splitting |
| G30-20-7.5 | 20 | 7.5d | 7.91 ± 0.04 | - | - | 0.13 ± 0.02 | - | - | Splitting |
| G40-12-5 | 12 | 5d | 14.61 ± 1.11 | 9.50 ± 0.69 | 0.65 | 2.67 ± 0.37 | 14.39 ± 0.44 | 5.39 | Pull-out |
| G40-20-5 | 20 | 5d | 9.12 ± 0.68 | - | - | 0.31 ± 0.03 | - | - | Splitting |
| G50-12-5 | 12 | 5d | 21.33 ± 1.02 | 13.53 ± 0.51 | 0.63 | 2.56 ± 0.14 | 14.61 ± 0.11 | 5.71 | Pull-out |
| G50-20-5 | 20 | 5d | 10.27 ± 1.29 | - | - | 0.16 ± 0.02 | - | - | Splitting |
| G30-12-5-S | 12 | 5d | 13.16 ± 1.15 | 8.60 ± 0.18 | 0.65 | 2.70 ± 1.07 | 15.53 ± 0.42 | 5.75 | Pull-out |
| Specimen | Diameter d (mm) | Bond Length l (mm) | Bond Strength τ0 (MPa) | Residual Bond Strength τ1 (MPa) | τ1/τ0 | s0 (mm) | s1 (mm) | s1/s0 | Failure Mode |
|---|---|---|---|---|---|---|---|---|---|
| SS30-12.7-5 | 12.7 | 5d | 3.87 ± 0.71 | 2.10 ± 0.80 | 0.53 | 10.31 ± 4.18 | 46.87 ± 0.85 | 4.55 | Pull-out |
| SS30-12.7-7.5 | 12.7 | 7.5d | 3.63 ± 1.18 | 2.00 ± 0.29 | 0.55 | 15.56 ± 2.48 | 43.89 ± 4.33 | 2.82 | Pull-out |
| SS30-12.7-10 | 12.7 | 10d | 3.19 ± 2.49 | 1.93 ± 0.05 | 0.61 | 13.25 ± 2.55 | 46.13 ± 0.17 | 3.48 | Pull-out |
| SS30-15.2-5 | 15.2 | 5d | 6.68 ± 1.01 | 4.48 ± 0.78 | 0.67 | 16.71 ± 2.06 | 44.99 ± 0.52 | 2.69 | Pull-out |
| SS30-15.2-7.5 | 15.2 | 7.5d | 5.49 ± 0.82 | 3.73 ± 0.68 | 0.68 | 20.57 ± 2.12 | 46.52 ± 0.57 | 2.26 | Pull-out |
| SS30-15.2-10 | 15.2 | 10d | 4.23 ± 0.46 | 2.91 ± 0.42 | 0.69 | 17.91 ± 5.62 | 44.75 ± 0.18 | 2.50 | Pull-out |
| SS40-12.7-5 | 12.7 | 5d | 4.34 ± 0.49 | 2.71 ± 0.19 | 0.62 | 10.79 ± 4.54 | 45.19 ± 0.23 | 4.19 | Pull-out |
| SS40-15.2-5 | 15.2 | 5d | 7.37 ± 1.43 | 5.23 ± 1.71 | 0.71 | 14.33 ± 1.65 | 45.99 ± 0.63 | 3.21 | Pull-out |
| SS50-12.7-5 | 12.7 | 5d | 5.32 ± 0.86 | 3.44 ± 0.55 | 0.65 | 11.07 ± 7.26 | 46.98 ± 0.35 | 4.24 | Pull-out |
| SS50-15.2-5 | 15.2 | 5d | 8.34 ± 0.69 | 6.15 ± 0.63 | 0.74 | 13.17 ± 1.09 | 45.59 ± 0.41 | 3.46 | Pull-out |
| SS30-12.7-5-S | 12.7 | 5d | 4.05 ± 0.14 | 2.21 ± 0.55 | 0.55 | 13.97 ± 0.88 | 47.23 ± 0.28 | 3.38 | Pull-out |
| SB30-12-5 | 12 | 5d | 15.17 ± 0.69 | 5.08 ± 0.18 | 0.33 | 0.60 ± 0.13 | 8.08 ± 0.57 | 13.47 | Pull-out |
| SB30-12-5-S | 12 | 5d | 15.72 ± 0.64 | 6.19 ± 0.49 | 0.39 | 1.27 ± 0.25 | 7.96 ± 0.37 | 6.27 | Pull-out |
Publisher’s Note: MDPI stays neutral with regard to jurisdictional claims in published maps and institutional affiliations. |
© 2021 by the authors. Licensee MDPI, Basel, Switzerland. This article is an open access article distributed under the terms and conditions of the Creative Commons Attribution (CC BY) license (http://creativecommons.org/licenses/by/4.0/).
Share and Cite
Zhao, J.; Luo, X.; Wang, Z.; Feng, S.; Gong, X.; Shumuye, E.D. Experimental Study on Bond Performance of Carbon- and Glass-Fiber Reinforced Polymer (CFRP/GFRP) Bars and Steel Strands to Concrete. Materials 2021, 14, 1268. https://doi.org/10.3390/ma14051268
Zhao J, Luo X, Wang Z, Feng S, Gong X, Shumuye ED. Experimental Study on Bond Performance of Carbon- and Glass-Fiber Reinforced Polymer (CFRP/GFRP) Bars and Steel Strands to Concrete. Materials. 2021; 14(5):1268. https://doi.org/10.3390/ma14051268
Chicago/Turabian StyleZhao, Jun, Xin Luo, Zike Wang, Shuaikai Feng, Xinglong Gong, and Eskinder Desta Shumuye. 2021. "Experimental Study on Bond Performance of Carbon- and Glass-Fiber Reinforced Polymer (CFRP/GFRP) Bars and Steel Strands to Concrete" Materials 14, no. 5: 1268. https://doi.org/10.3390/ma14051268
APA StyleZhao, J., Luo, X., Wang, Z., Feng, S., Gong, X., & Shumuye, E. D. (2021). Experimental Study on Bond Performance of Carbon- and Glass-Fiber Reinforced Polymer (CFRP/GFRP) Bars and Steel Strands to Concrete. Materials, 14(5), 1268. https://doi.org/10.3390/ma14051268

