Effect of Water Ingress on the Mechanical and Chemical Properties of Polybutylene Terephthalate Reinforced with Glass Fibers
Abstract
1. Introduction
2. Experimental Details
2.1. Materials
2.2. Specimen Manufacturing
2.2.1. Glass Transition Temperature
2.2.2. Differential Scanning Calorimetry (DSC) and Fourier Transform Infrared Spectroscopy (FTIR)
2.2.3. Gravimetric Analysis
2.2.4. Bulk Tensile Tests
2.3. Experimental Procedures
2.3.1. Glass Transition Temperature
2.3.2. Differential Scanning Calorimetry (DSC)
2.3.3. Gravimetric Analysis
2.3.4. Bulk Tensile Tests
2.3.5. Fourier Transform Infrared Spectroscopy (FTIR)
3. Experimental Results
3.1. Glass Transition Temperature
3.2. Differential Scanning Calorimetry (DSC)
3.3. Gravimetric Analysis
3.4. Bulk Tensile Tests
3.4.1. Validation of the Reduced-Scale “Dogbone” Specimens
3.4.2. Bulk Tensile Tests for Different Temperatures
3.4.3. Bulk Tensile Tests after Aging at Different Temperatures
3.5. Fourier Transform Infrared Spectroscopy (FTIR)
4. Numerical Simulation
4.1. Gravimetric Analysis
4.1.1. Evaluation of the Numerical Model Adopted
4.1.2. Simulation of the Experimental Results
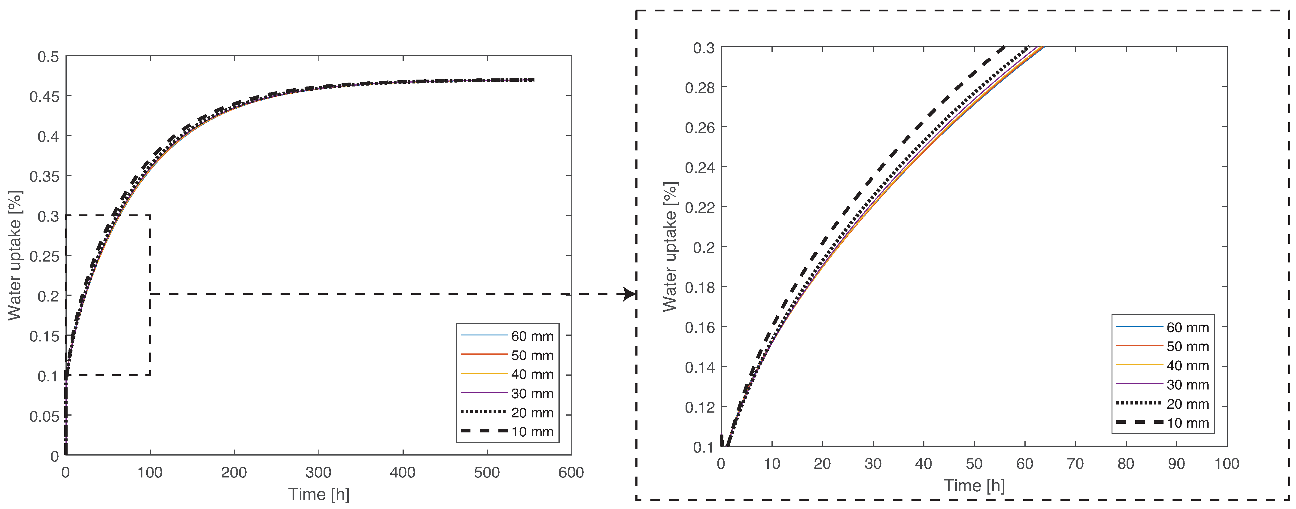
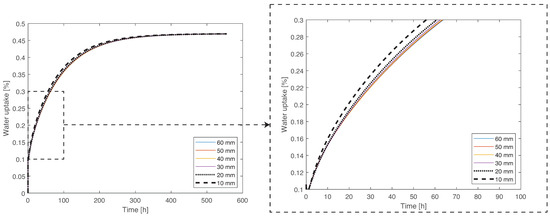
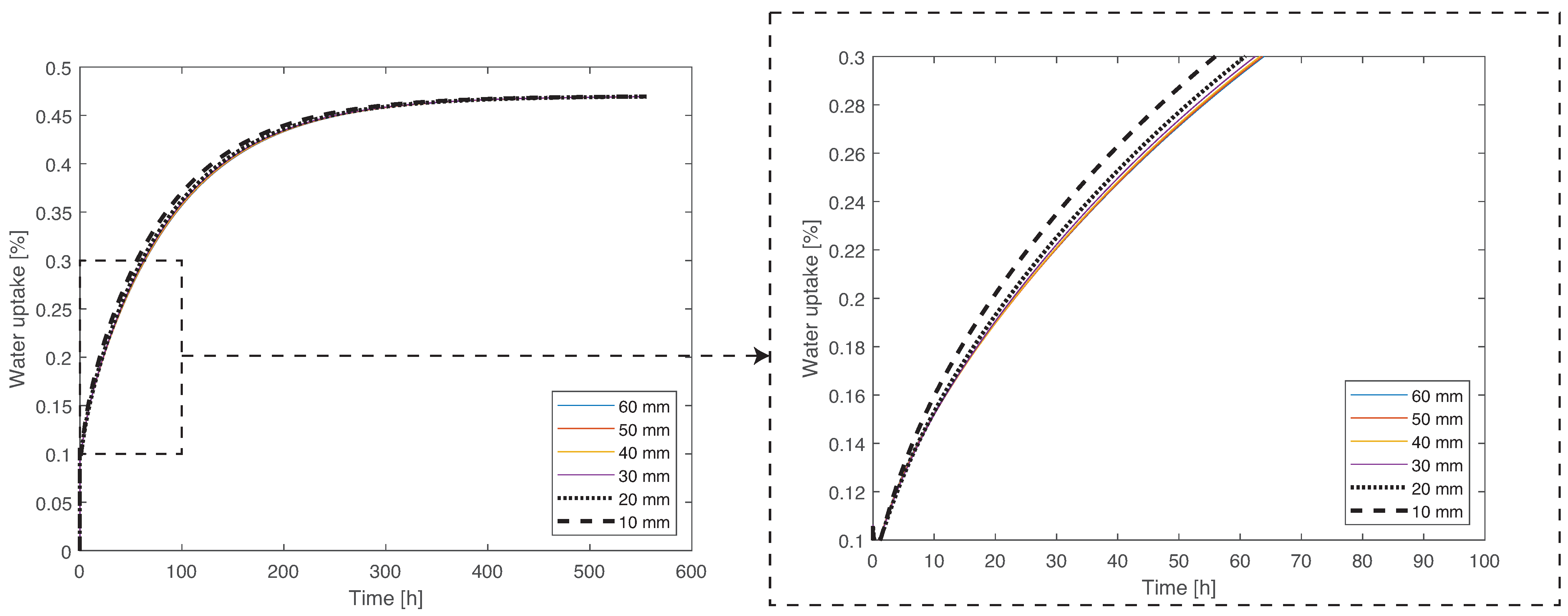
4.1.3. Minimum Plate Side Length–Thickness Ratio for the Water Flow to Be One Dimensional
4.2. Simulation of the Bulk Tensile Tests
5. Conclusions
Author Contributions
Funding
Institutional Review Board Statement
Informed Consent Statement
Data Availability Statement
Acknowledgments
Conflicts of Interest
References
- Brigante, D. New Composite Materials; Springer: Berlin, Germany, 2014. [Google Scholar]
- Yao, S.S.; Jin, F.L.; Rhee, K.Y.; Hui, D.; Park, S.J. Recent advances in carbon-fiber-reinforced thermoplastic composites: A review. Compos. Part B Eng. 2018, 142, 241–250. [Google Scholar] [CrossRef]
- Barbosa, A.; da Silva, L.; Öchsner, A. Hygrothermal aging of an adhesive reinforced with microparticles of cork. J. Adhes. Sci. Technol. 2015, 29, 1714–1732. [Google Scholar] [CrossRef]
- Fang, H.; Bai, Y.; Liu, W.; Qi, Y.; Wang, J. Connections and structural applications of fibre reinforced polymer composites for civil infrastructure in aggressive environments. Compos. Part B Eng. 2019, 164, 129–143. [Google Scholar] [CrossRef]
- Ghahari, S.; Assi, L.N.; Alsalman, A.; Alyamaç, K.E. Fracture properties evaluation of cellulose nanocrystals cement paste. Materials 2020, 13, 2507. [Google Scholar] [CrossRef] [PubMed]
- Borges, C.; Marques, E.; Carbas, R.; Ueffing, C.; Weißgraeber, P.; da Silva, L.F.M. Review on the effect of moisture and contamination on the interfacial properties of adhesive joints. Proc. Inst. Mech. Eng. Part C J. Mech. Eng. Sci. 2020. [Google Scholar] [CrossRef]
- Boubakri, A.; Haddar, N.; Elleuch, K.; Bienvenu, Y. Impact of aging conditions on mechanical properties of thermoplastic polyurethane. Mater. Des. 2010, 31, 4194–4201. [Google Scholar] [CrossRef]
- Viana, G.; Costa, M.; Banea, M.; da Silva, L. A review on the temperature and moisture degradation of adhesive joints. Proc. Inst. Mech. Eng. Part L J. Mater. Des. Appl. 2017, 231, 488–501. [Google Scholar] [CrossRef]
- Viana, G.; Costa, M.; Banea, M.; da Silva, L. Moisture and temperature degradation of double cantilever beam adhesive joints. J. Adhes. Sci. Technol. 2017, 31, 1824–1838. [Google Scholar] [CrossRef]
- Zhou, J.; Lucas, J.P. Hygrothermal effects of epoxy resin. Part I: The nature of water in epoxy. Polymer 1999, 40, 5505–5512. [Google Scholar] [CrossRef]
- Zhou, J.; Lucas, J.P. Hygrothermal effects of epoxy resin. Part II: Variations of glass transition temperature. Polymer 1999, 40, 5513–5522. [Google Scholar] [CrossRef]
- Eftekhari, M.; Fatemi, A. Tensile, creep and fatigue behaviours of short fibre reinforced polymer composites at elevated temperatures: A literature survey. Fatigue Fract. Eng. Mater. Struct. 2015, 38, 1395–1418. [Google Scholar] [CrossRef]
- Eftekhari, M.; Fatemi, A. Tensile behavior of thermoplastic composites including temperature, moisture, and hygrothermal effects. Polym. Test. 2016, 51, 151–164. [Google Scholar] [CrossRef]
- Shen, C.H.; Springer, G.S. Moisture absorption and desorption of composite materials. J. Compos. Mater. 1976, 10, 2–20. [Google Scholar] [CrossRef]
- Rangaraj, S.V.; Smith, L.V. Effects of moisture on the durability of a wood/thermoplastic composite. J. Thermoplast. Compos. Mater. 2000, 13, 140–161. [Google Scholar] [CrossRef]
- Loh, W.; Crocombe, A.; Wahab, M.A.; Ashcroft, I. Modelling anomalous moisture uptake, swelling and thermal characteristics of a rubber toughened epoxy adhesive. Int. J. Adhes. Adhes. 2005, 25, 1–12. [Google Scholar] [CrossRef]
- Ito, E.; Kobayashi, Y. Effects of absorbed water on physical properties of polyesters. J. Appl. Polym. Sci. 1980, 25, 2145–2157. [Google Scholar] [CrossRef]
- Chow, C.; Xing, X.; Li, R. Moisture absorption studies of sisal fibre reinforced polypropylene composites. Compos. Sci. Technol. 2007, 67, 306–313. [Google Scholar] [CrossRef]
- Malpot, A.; Touchard, F.; Bergamo, S. Effect of relative humidity on mechanical properties of a woven thermoplastic composite for automotive application. Polym. Test. 2015, 48, 160–168. [Google Scholar] [CrossRef]
- Stein, R.; Misra, A. Morphological studies on polybutylene terephthalate. J. Polym. Sci. Polym. Phys. Ed. 1980, 18, 327–342. [Google Scholar] [CrossRef]
- Ishak, Z.M.; Lim, N. Effect of moisture absorption on the tensile properties of short glass fiber reinforced poly(butylene terephthalate). Polym. Eng. Sci. 1994, 34, 1645–1655. [Google Scholar] [CrossRef]
- Mohd Ishak, Z.; Ishiaku, U.; Karger-Kocsis, J. Hygrothermal aging and fracture behavior of styrene-acrylonitrile/acrylate based core–shell rubber toughened poly (butylene terephthalate). J. Appl. Polym. Sci. 1999, 74, 2470–2481. [Google Scholar] [CrossRef]
- Rosato, D.V.; Rosato, D.V.; Rosato, M.V. Plastic Product Material and Process Selection Handbook; Elsevier: Amsterdam, The Netherlands, 2004. [Google Scholar]
- Wels, S.; Boettge, B.; Bernhardt, R.; Klengel, S.; Claudi, A. Dielectric strength and aging performance of polybutylene terephthalate (PBT) under the influence of temperature and humidity. In The International Symposium on High Voltage Engineering; Springer: Berlin, Germany, 2019; pp. 472–482. [Google Scholar]
- Huang, J.; Yang, J.; Chyu, M.K.; Wang, Q.; Zhu, Z. Continuous-distribution kinetics for degradation of polybutylene terephthalate (PBT) in supercritical methanol. Polym. Degrad. Stab. 2009, 94, 2142–2148. [Google Scholar] [CrossRef]
- Jie, H.; Ke, H.; Wenjie, Q.; Zibin, Z. Process analysis of depolymerization polybutylene terephthalate in supercritical methanol. Polym. Degrad. Stab. 2006, 91, 2527–2531. [Google Scholar] [CrossRef]
- Muo, I.; Azeez, A.A. Green entrepreneurship: Literature review and agenda for future research. Int. J. Entrep. Knowl. 2019, 7, 17–29. [Google Scholar] [CrossRef]
- Blažková, I. Sectoral and firm-level determinants of profitability: A multilevel approach. Int. J. Entrep. Knowl. 2018, 6, 32–44. [Google Scholar] [CrossRef]
- Kliestik, T.; Misankova, M.; Valaskova, K.; Svabova, L. Bankruptcy prevention: New effort to reflect on legal and social changes. Sci. Eng. Ethics 2018, 24, 791–803. [Google Scholar] [CrossRef] [PubMed]
- Ishak, Z.M.; Ariffin, A.; Senawi, R. Effects of hygrothermal aging and a silane coupling agent on the tensile properties of injection molded short glass fiber reinforced poly(butylene terephthalate) composites. Eur. Polym. J. 2001, 37, 1635–1647. [Google Scholar] [CrossRef]
- Ishak, Z.M.; Ishiaku, U.; Karger-Kocsis, J. Hygrothermal aging and fracture behavior of short-glass-fiber-reinforced rubber-toughened poly(butylene terephthalate) composites. Compos. Sci. Technol. 2000, 60, 803–815. [Google Scholar] [CrossRef]
- Mohd Ishak, Z.; Tengku Mansor, T.; Yow, B.; Ishiaku, U.; Karger-Kocsis, J. Short glass fibre reinforcedpoly (butylene terephthalate) Part 1–Microstructural characterisation and kinetics of moisture absorption. Plast. Rubber Compos. 2000, 29, 263–270. [Google Scholar] [CrossRef]
- Hsu, A.; Jemian, W.; Wilcox, R. Solvent effect of water on S-glass. J. Mater. Sci. 1976, 11, 2099–2104. [Google Scholar] [CrossRef]
- Bergeret, A.; Ferry, L.; Ienny, P. Influence of the fibre/matrix interface on ageing mechanisms of glass fibre reinforced thermoplastic composites (PA-6, 6, PET, PBT) in a hygrothermal environment. Polym. Degrad. Stab. 2009, 94, 1315–1324. [Google Scholar] [CrossRef]
- Gardner, R.; Martin, J. Effect of relative humidity on the mechanical properties of poly (1, 4-butylene terephthalate). J. Appl. Polym. Sci. 1980, 25, 2353–2361. [Google Scholar] [CrossRef]
- ISO 294-3. Plastics-Injection Moulding os Test Specimens of Thermoplastic Materials, Part 3: Small Plates. 2002. Available online: https://www.iso.org/standard/32205.html (accessed on 1 March 2016).
- Institution, B.S. Methods of Testing Plastic. Introduction. BS 2782:2011. 2011. Available online: https://shop.bsigroup.com/ProductDetail?pid=000000000030244347 (accessed on 1 September 2019).
- Costa, M.; Viana, G.; Canto, C.; da Silva, L.; Banea, M.; Chaves, F.; Campilho, R.; Fernandes, A. Effect of the size reduction on the bulk tensile and double cantilever beam specimens used in cohesive zone models. Proc. Inst. Mech. Eng. Part L J. Mater. Des. Appl. 2016, 230, 968–982. [Google Scholar] [CrossRef]
- Viana, G.; Costa, M.; Banea, M.; da Silva, L. Behaviour of environmentally degraded epoxy adhesives as a function of temperature. J. Adhes. 2017, 93, 95–112. [Google Scholar] [CrossRef]
- Zhang, Y.; Adams, R.; da Silva, L. A rapid method of measuring the glass transition temperature using a novel dynamic mechanical analysis method. J. Adhes. 2013, 89, 785–806. [Google Scholar] [CrossRef]
- Konishi, T.; Miyamoto, Y. Smectic structure and glass transition in poly (butylene terephthalate). Polym. J. 2010, 42, 349–353. [Google Scholar] [CrossRef]
- Pyda, M.; Nowak-Pyda, E.; Mays, J.; Wunderlich, B. Heat capacity of poly (butylene terephthalate). J. Polym. Sci. Part B Polym. Phys. 2004, 42, 4401–4411. [Google Scholar] [CrossRef]
- Yin, H.; Dittrich, B.; Farooq, M.; Kerling, S.; Wartig, K.A.; Hofmann, D.; Huth, C.; Okolieocha, C.; Altstädt, V.; Schönhals, A.; et al. Carbon-based nanofillers/Poly (butylene terephthalate): Thermal, dielectric, electrical and rheological properties. J. Polym. Res. 2015, 22, 140. [Google Scholar] [CrossRef]
- Ensinger. TECADUR PBT GF 30. Material Data Sheet, December 2007, Germany. Available online: https://www.ensingerplastics.com/en/shapes/products/tecadur-pbt-gf30-natural (accessed on 1 November 2020).
- Ma, M.; Niu, L.; Ma, J.; Ma, J.; Jiao, T. Fabrication and Thermal Degradation Kinetics of PBT/BEO/Nano-Sb2O3 Composites. J. Nanomater. 2020, 2020. [Google Scholar] [CrossRef]
- Souilem, S.; Doulache, N.; Khemici, M.; Gourari, A. TSDC and DSC study of effects of physical aging on polybutylene terephthalate (PBT). Int. J. Polym. Anal. Charact. 2014, 19, 175–188. [Google Scholar] [CrossRef]
- Fick, A. On liquid diffusion. J. Membr. Sci. 1995, 100, 33–38. [Google Scholar] [CrossRef]
- Bastioli, C.; Guanella, I.; Romano, G. Effects of water sorption on the physical properties of PET, PBT, and their long fibers composites. Polym. Compos. 1990, 11, 1–9. [Google Scholar] [CrossRef]























| Material | (°C) | 
|---|---|
| PBT-GF30 | 49 ± 4 | 
| PBT | 54 ± 6 | 
| Material | T (°C) | D (m/s) | (%) | 
|---|---|---|---|
| PBT | 35 | ||
| PBT-GF30 | 35 | ||
| PBT-GF30 | 70 | ||
| PBT-GF30 | 130 | 
| Property | Standard Specimens | Reduced-Scale Specimens | Error | 
|---|---|---|---|
| Young’s modulus (GPa) | 8.6 ± 0.1 | 8.2 ± 0.1 | 4.6% | 
| Tensile strength (MPa) | 112 ± 1 | 105 ± 1 | 6.3% | 
| Property | 35 °C | 70 °C | 130 °C | 
|---|---|---|---|
| Young’s modulus (GPa) | 8.2 ± 0.1 | 4.6 ± 0.1 | 2.3 ± 0.1 | 
| Tensile strength (MPa) | 105 ± 1 | 66 ± 1 | 44 ± 1 | 
| Publisher’s Note: MDPI stays neutral with regard to jurisdictional claims in published maps and institutional affiliations. | 
© 2021 by the authors. Licensee MDPI, Basel, Switzerland. This article is an open access article distributed under the terms and conditions of the Creative Commons Attribution (CC BY) license (http://creativecommons.org/licenses/by/4.0/).
Share and Cite
Borges, C.S.P.; Akhavan-Safar, A.; Marques, E.A.S.; Carbas, R.J.C.; Ueffing, C.; Weißgraeber, P.; da Silva, L.F.M. Effect of Water Ingress on the Mechanical and Chemical Properties of Polybutylene Terephthalate Reinforced with Glass Fibers. Materials 2021, 14, 1261. https://doi.org/10.3390/ma14051261
Borges CSP, Akhavan-Safar A, Marques EAS, Carbas RJC, Ueffing C, Weißgraeber P, da Silva LFM. Effect of Water Ingress on the Mechanical and Chemical Properties of Polybutylene Terephthalate Reinforced with Glass Fibers. Materials. 2021; 14(5):1261. https://doi.org/10.3390/ma14051261
Chicago/Turabian StyleBorges, Catarina S. P., Alireza Akhavan-Safar, Eduardo A. S. Marques, Ricardo J. C. Carbas, Christoph Ueffing, Philipp Weißgraeber, and Lucas F. M. da Silva. 2021. "Effect of Water Ingress on the Mechanical and Chemical Properties of Polybutylene Terephthalate Reinforced with Glass Fibers" Materials 14, no. 5: 1261. https://doi.org/10.3390/ma14051261
APA StyleBorges, C. S. P., Akhavan-Safar, A., Marques, E. A. S., Carbas, R. J. C., Ueffing, C., Weißgraeber, P., & da Silva, L. F. M. (2021). Effect of Water Ingress on the Mechanical and Chemical Properties of Polybutylene Terephthalate Reinforced with Glass Fibers. Materials, 14(5), 1261. https://doi.org/10.3390/ma14051261
 
         
                                                




 
       