Molybdenum Oxide Thin Films Grown on Flexible ITO-Coated PET Substrates
Abstract
1. Introduction
2. Materials and Methods
2.1. Thin Films Preparation
2.2. Characterization
2.2.1. Microstructural and Morphologic Characterization
2.2.2. Optical Characterization
2.2.3. Electrical Characterization
2.2.4. Electrochromic Characterization
3. Results and Discussion
3.1. Microstructural and Morphologic Characterization
3.1.1. Structural Analysis
3.1.2. Composition of the Films
3.1.3. Surface Chemistry Analysis
3.1.4. Raman Analyses
3.1.5. Morphological and Thin Film Growth Features
3.2. Optical Response of the Thin Films
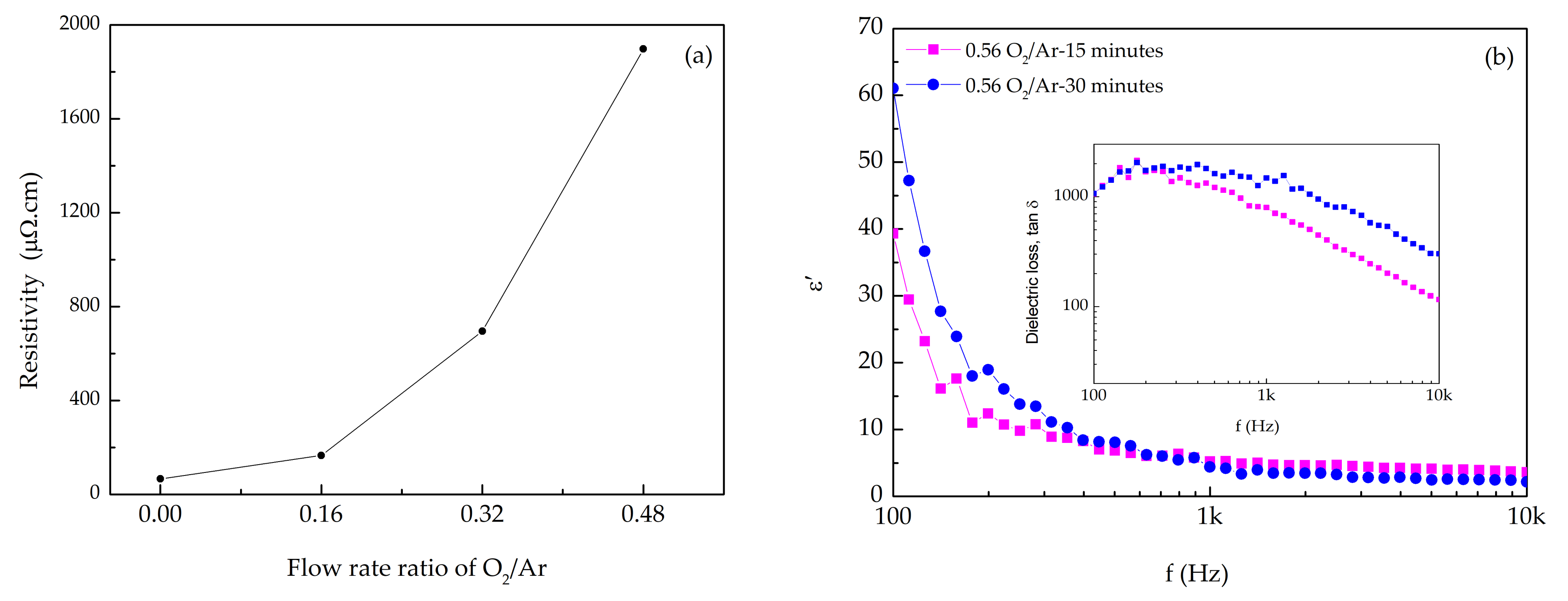
3.3. Electrical Characterization
3.4. Electrochromic Characterization
4. Conclusions
Author Contributions
Funding
Institutional Review Board Statement
Informed Consent Statement
Conflicts of Interest
References
- Yu, X.; Marks, T.J.; Facchetti, A. Metal oxides for optoelectronic applications. Nat. Mater. 2016, 15, 383–396. [Google Scholar] [CrossRef]
- Lorenz, M.; Rao, M.S.R.; Venkatesan, T.; Fortunato, E.; Barquinha, P.; Branquinho, R.; Salgueiro, D.; Martins, R.; Carlos, E.; Liu, A.; et al. The 2016 oxide electronic materials and oxide interfaces roadmap. J. Phys. D Appl. Phys. 2016, 49, 1–53. [Google Scholar] [CrossRef]
- Ashrit, P. Transition Metal Oxide Thin Film-Based Chromogenics and Devices, 2017th ed.; Elsevier: Amsterdam, The Netherlands, 2017. [Google Scholar]
- Monk, P.; Mortimer, R.; Rosseinsky, D. Electrochromism and Electrochromic Devices, 2007th ed.; Cambridge University Press: Cambridge, UK, 2007; Volume 1. [Google Scholar]
- Granqvist, C.G. Handbook of Inorganic Electrochromic Materials, 1995th ed.; Elsevier: Amsterdam, The Netherlands, 1995. [Google Scholar]
- Granqvist, C.G. Oxide electrochromics: An introduction to devices and materials. Sol. Energy Mater. Sol. Cells 2012, 99, 1–13. [Google Scholar] [CrossRef]
- Arvizu, M.A.; Granqvist, C.G. Gunnar A Niklasson, Rejuvenation of degraded electrochromic MoO3 thin films made by DC magnetron sputtering: Preliminary results. J. Phys. 2016, 764, 1–6. [Google Scholar]
- Miyata, N.; Akiyoshi, S. Preparation and electrochromic properties of rf-sputtered molybdenum oxide films. J. Appl. Phys. 1985, 58, 1651–1655. [Google Scholar] [CrossRef]
- Boufker, K. Lithiation study of molybdenum oxide thin films: Application to an electrochromic system. J. Appl. Electrochem. 1995, 25, 797–802. [Google Scholar] [CrossRef]
- Nirupama, V.; Sekhar, M.C.; Subramanyam, T.K.; Uthanna, S. Structural and electrical characterization of magnetron sputtered MoO3 thin films. J. Phys. Conf. Ser. 2010, 208, 1–6. [Google Scholar] [CrossRef]
- Senthilkumar, R.; Anandhababu, G.; Mahalingam, T.; Ravi, G. Photoelectrochemical study of MoO3 assorted morphology films formed by thermal evaporation. J. Energy Chem. 2016, 25, 798–804. [Google Scholar] [CrossRef]
- Lin, C.-Y.; Wang, C.-M.; Kao, K.-S.; Chen, Y.-C.; Liu, C.-C. Electrochromic properties of MoO3 thin films derived by a sol-gel process. J. Sol.-Gel. Sci. Technol. 2010, 53, 51–58. [Google Scholar] [CrossRef]
- Chang, C.-C.; Chi, P.-W.; Chandan, P.; Lin, C.-K. Electrochemistry and Rapid Electrochromism Control of MoO3/V2O5 Hybrid Nanobilayers. Materials 2019, 12, 2475. [Google Scholar] [CrossRef] [PubMed]
- Sivakumar, R.; Gopinath, C.S.; Jayachandran, M.; Sanjeeviraja, C. An electrochromic device (ECD) cell characterization on electron beam evaporated MoO3 films by intercalating/deintercalating the H+ ions. Curr. Appl. Phys. 2007, 7, 76–86. [Google Scholar] [CrossRef]
- Donnadieu, A.; Davazoglou, D.; Abdellaoui, A.; Bataillon, P.E. Structure, Optical and Electro-optical prpoerties of polycrystalline WO3 and MoO3 thin films prepared by chemical vapour deposition. Thin Solid Films 1988, 164, 333–338. [Google Scholar] [CrossRef]
- Lee, Y.J.; Nichols, W.T.; Kim, D.; Kim, Y.D. Chemical vapour transport synthesis and optical characterization of MoO3 thin films. J. Appl. Phys. 2009, 42. [Google Scholar] [CrossRef]
- Chang, C.-C.; Luo, J.-Y.; Chen, T.-K.; Yeh, K.-W.; Huang, T.-W.; Hsu, C.-H.; Chao, W.-H.; Ke, C.-T.; Hsu, P.-C.; Wang, M.-J.; et al. Pulsed laser deposition of (MoO3)1 - X(V2O5)x thin films: Preparation, characterization and gasochromic studies. Thin Solid Films 2010, 519, 1552–1557. [Google Scholar] [CrossRef]
- Ramana, C.V.; Hussain, O.M.; Julien, C.M. Electronic Properties and Performance upon Lithium Intercalation of MoO3 Thin Grown by PLD. ECS-Electrochem. Soc. 2006, 1, 1–7. [Google Scholar]
- Bouzidi, A.; Benramdane, N.; Tabet-Derraz, H.; Mathieu, C.; Khelifa, B.; Desfeux, R. Effect of substrate temperature on the structural and optical properties of MoO3 thin films prepared by spray pyrolysis technique. Mater. Sci. Eng. B Solid-State Mater. Adv. Technol. 2003, 97, 5–8. [Google Scholar] [CrossRef]
- Afify, H.H.; Hassan, S.A.; Abouelsayed, A.; Demian, S.E.; Zayed, H.A. Synthesis, characterization and structural control of nano crystalline molybdenum oxide MoO3 single phase by low cost technique. Mater. Chem. Phys. 2016, 176, 87–95. [Google Scholar] [CrossRef]
- Dai, T.; Ren, Y.; Qian, L.; Liu, X. Characterization of Molybdenum Oxide Thin Films Grown by Atomic Layer Deposition. J. Electron. Mater. 2018, 47, 6709–6715. [Google Scholar] [CrossRef]
- Vos, M.F.J.; Macco, B.B.; Thissen, N.F.W.; Bol, A.A.; Kessels, W.M.M. Atomic layer deposition of molybdenum oxide from (NtBu)2(NMe2)2Mo and O2 plasma. J. Vac. Sci. Technol. A Vac. Surf. Film. 2016, 34, 01A103. [Google Scholar] [CrossRef]
- Yao, J.N.; Loo, B.H.; Fujishima, A. A Study of the Photochromic and Electrochromic Properties of MoO3 Thin Films. Phys. Chem. 1990, 94, 13–17. [Google Scholar] [CrossRef]
- Granqvist, C.G. Electrochromics and Thermochromics: Towards a New Paradigm for Energy Efficient Buildings. Mater. Today Proc. 2016, 3, S2–S11. [Google Scholar] [CrossRef]
- Hosono, H. Recent progress in transparent oxide semiconductors: Materials and device application. Thin Solid Films 2007, 515, 6000–6014. [Google Scholar] [CrossRef]
- Granqvist, C.G. Oxide electrochromics: Why, how, and whither. Sol. Energy Mater. Sol. Cells 2008, 92, 203–208. [Google Scholar] [CrossRef]
- Wen, R.T.; Niklasson, G.A.; Granqvist, C.G. Strongly improved electrochemical cycling durability by adding iridium to electrochromic nickel oxide films. ACS Appl. Mater. Interfaces 2015, 7, 9319–9322. [Google Scholar] [CrossRef]
- Arvizu, M.A.; Triana, C.A.; Stefanov, B.I.; Granqvist, C.G.; Niklasson, G.A. Electrochromism in sputter-deposited W-Ti oxide films: Durability enhancement due to Ti. Sol. Energy Mater. Sol. Cells 2014, 125, 184–189. [Google Scholar] [CrossRef]
- Usha, N.; Sivakumar, R.; Sanjeeviraja, C. Electrochromic properties of radio frequency magnetron sputter deposited mixed Nb2O5:MoO3 (95:5) thin films cycled in H+ and Li+ ions. Mater. Sci. Semicond. Process. 2015, 30, 31–40. [Google Scholar] [CrossRef]
- Usha, N.; Sivakumar, R.; Sanjeeviraja, C.; Balasubramaniam, R.; Kuroki, Y. Mixed Nb2O5:MoO3(95:5 and 85:15) thin films and their properties for electrochromic device applications. J. Mater. Sci. Mater. Electron. 2016, 27, 7809–7821. [Google Scholar] [CrossRef]
- Granqvist, C.G. Recent progress in thermochromics and electrochromics: A brief survey. Thin Solid Films 2016, 614, 90–96. [Google Scholar] [CrossRef]
- Domingues, R.P.; Rodrigues, M.S.; Lopes, C.; Pedrosa, P.; Alves, E.; Barradas, N.P.; Borges, J.; Vaz, F. Thin films composed of metal nanoparticles (Au, Ag, Cu) dispersed in AlN: The influence of composition and thermal annealing on the structure and plasmonic response. Thin Solid Films 2019, 676, 12–25. [Google Scholar] [CrossRef]
- Barradas, N.P.; Jeynes, C.; Webb, R.P. Simulated annealing analysis of Rutherford backscattering data. Appl. Phys. Lett. 2017, 71, 291–293. [Google Scholar] [CrossRef]
- Pethe, S.A.; Takahashi, E.; Kaul, A.; Dhere, N.G. Effect of sputtering process parameters on film properties of molybdenum back contact. Sol. Energy Mater. Sol. Cells 2012, 100, 1–5. [Google Scholar] [CrossRef]
- Kashyout, A.E.B.; Soliman, H.M.A.; Abou, H.; Aly, P.; Fathy, M. Preparation and characterization of DC sputtered molybdenum thin films. Alex. Eng. J. 2011, 50, 57–63. [Google Scholar] [CrossRef]
- Pachlhofer, J.M.; Martín-Luengo, A.T.; Franz, R.; Franzke, E.; Köstenbauer, H.; Winkler, J.; Bonanni, A.; Mitterer, C. Industrial-scale sputter deposition of molybdenum oxide thin films: Microstructure evolution and properties. J. Vac. Sci. Technol. A Vac. Surf. Film. 2017, 35, 1–8. [Google Scholar] [CrossRef]
- Pachlhofer, J.M.; Jachs, C.; Franz, R.; Franzke, E.; Mitterer, C. Structure evolution in reactively sputtered molybdenum oxide thin fi lms. Vaccum 2016, 131, 246–251. [Google Scholar] [CrossRef]
- Arvizu, M.A.; Tomás, S.A. Influence of Thermal Annealings in Argon on the Structural and Thermochromic Properties of MoO 3. Int. J. Thermophys. 2017, 38, 1–9. [Google Scholar] [CrossRef]
- Bhatia, S.; Khanna, A. Structural and optical properties of molybdenum trioxide thin films. AIP Conf. Proc. 2015, 1665, 1–3. [Google Scholar]
- Ponce-Mosso, M.; Pérez-González, M.; García-Tinoco, P.E.; Crotte-Ledesma, H.; Morales-Luna, M.; Tomás, S.A. Enhanced photocatalytic activity of amorphous MoO3 thin films deposited by rf reactive magnetron sputtering. Catal. Today 2018, 349, 150–158. [Google Scholar] [CrossRef]
- Shi, Y.; Guo, B.; Corr, S.A.; Shi, Q.; Hu, Y.-S.; Heier, K.R.; Chen, L.; Seshadri, R.; Stucky, G.D. Ordered mesoporous metallic MoO2 materials with highly reversible lithium storage capacity. Nano Lett. 2009, 9, 4215–4220. [Google Scholar] [CrossRef]
- Wagner, C.D.; Riggs, W.M.; Davis, L.E.; Moulder, J.F.; Muilenberg, G.E. Handbook of X-Ray Photoelectron Spectroscopy, 1979th ed.; Perkin-Elmer Corporation: Eden Prairie, MN, USA, 1979. [Google Scholar]
- Fleisch, T.H. An XPS study of the UV reduction and photochromism of MoO3 and WO3. J. Chem. Phys. 1982, 76, 780–786. [Google Scholar] [CrossRef]
- Murphy, N.R.; Sun, L.; Grant, J.T.; Jones, J.G.; Jakubiak, R. Molybdenum Oxides Deposited by Modulated Pulse Power Magnetron Sputtering: Stoichiometry as a Function of Process Parameters. J. Electron. Mater. 2015, 44, 3677–3686. [Google Scholar] [CrossRef]
- Morales-Luna, M.; Tomás, S.A.; Arvizu, M.A.; Pérez-González, M.; Campos-Gonzalez, E. The evolution of the Mo5+ oxidation state in the thermochromic effect of MoO3 thin films deposited by rf magnetron sputtering. J. Alloy. Compd. 2017, 722, 938–945. [Google Scholar] [CrossRef]
- Choi, J.G.; Thompson, L.T. XPS study of as-prepared and reduced molybdenum oxides. Appl. Surf. Sci. 1996, 93, 143–149. [Google Scholar] [CrossRef]
- Gesheva, K.A.; Ivanova, T. A low-temperature atmospheric pressure CVD process for growing thin films of MoO3 and MoO3-WO3 for electrochromic device applications. Chem. Vap. Depos. 2006, 12, 231–238. [Google Scholar] [CrossRef]
- Camacho-lópez, M.A.; Escobar-alarcón, L.; Picquart, M.; Arroyo, R.; Córdoba, G.; Haro-poniatowski, E. Micro-Raman study of m-MoO2 to α-MoO3 transformation induced by cw-laser irradiation. Opt. Mater. 2011, 33, 480–484. [Google Scholar] [CrossRef]
- Lee, S.-H.; Cheong, H.M.; Tracy, C.E.; Mascaranhas, A.; Benson, D.K.; Deb, S.K. Raman spectroscopic studies of electrochromic a-MO3. Electrochim. Acta 1999, 44, 3111–3115. [Google Scholar] [CrossRef]
- Lee, S.; Seong, M.J.; Tracy, C.E.; Mascarenhas, A.; Pitts, J.R.; Deb, S.K. Raman spectroscopic studies of electrochromic a-MoO3 thin films. Solid State Ionics 2002, 147, 129–133. [Google Scholar] [CrossRef]
- Pergament, A.L.; Malinenko, V.P.; Aleshina, L.A.; Kazakova, E.L.; Kuldin, N.A. Electrical Switching in Thin Film Structures Based on Transition Metal Oxides. J. Exp. Phys. 2014, 2014, 1–6. [Google Scholar] [CrossRef]
- Yasaka, M. X-ray thin-film measurement techniques. Rigaku J. 2010, 26, 1–9. [Google Scholar]
- Parratt, L.G. Surface studies of solids by total reflection of X-rays. Phys. Rev. 1954, 95, 359–369. [Google Scholar] [CrossRef]
- Mâaza, M.; Gibaud, A.; Sella, C.; Pardo, B.; Dunsteter, F.; Corno, J.; Bridou, F.; Vignaud, G.; Désert, A.; Menelle, A. X-ray scattering by nano-particles within granular thin films, investigation by grazing angle X-ray reflectometry. Eur. Phys. J. B 1999, 7, 339–345. [Google Scholar] [CrossRef]
- Pat, S.; Özmumcu, M.; Ekem, N.; Özkan, M.; Korkmaz, Ş.; Balbaǧ, M.Z. Antireflective coating on polyethylene terephthalate by thermionic vacuum arc. J. Plast. Film Sheeting 2010, 26, 259–270. [Google Scholar] [CrossRef]
- Ko, Y.H.; Kim, M.S.; Yu, J.S. Controllable electrochemical synthesis of ZnO nanorod arrays on flexible ITO/PET substrate and their structural and optical properties. Appl. Surf. Sci. 2012, 259, 99–104. [Google Scholar] [CrossRef]
- Arasu, P.A.; Williams, R.V. Effect of annealing temperature on structural and optical parameters of sol-gel routed molybdenum oxide thin film. Surf. Rev. Lett. 2015, 22, 1–8. [Google Scholar] [CrossRef]
- Valdes, L.B. Resistivity Measurements on Germanium for Transistors. Proc. IRE 1954, 42, 420–427. [Google Scholar] [CrossRef]
- Borges, J.N.P.; Martin, N.; Barradas, N.; Alves, E.; Eyidi, D.; Beaufort, M.; Riviere, J.; Vaz, F.; Marques, L.S.A. Electrical properties of AlNxOy thin films prepared by reactive magnetron sputtering. Thin Solid Films 2012, 520, 6709–6717. [Google Scholar] [CrossRef]
- Smits, F.M. Measurement of Sheet Resistivities with the Four-Point Probe. Bell Syst. Tech. J. 1958, 37, 711–718. [Google Scholar] [CrossRef]
- Dai, X.; Zhou, A.; Feng, L.; Wang, Y.; Xu, J.; Li, J. Molybdenum thin films with low resistivity and superior adhesion deposited by radio-frequency magnetron sputtering at elevated temperature. Thin Solid Films 2014, 567, 64–71. [Google Scholar] [CrossRef]
- Oh, M.S.; Yang, B.S.; Lee, J.H.; Oh, S.H.; Lee, U.S.; Kim, Y.J.; Kim, H.J.; Huh, M.S. Improvement of electrical and optical properties of molybdenum oxide thin films by ultralow pressure sputtering method. J. Vac. Sci. Technol. A Vac. Surf. Film. 2012, 30, 1–7. [Google Scholar]
- Fernandes, P.A.; Salomé, P.M.P. Electrical Measurements: Introduction, Concepts and Applications, 2018th ed.; Graça, M.P.F., Ed.; No. July; Nova Science Publishers: New York, NY, USA, 2016; pp. 151–182. [Google Scholar]
- Saad, E.A.I. Dielectric properties of molybdenum oxide thin films. J. Optoelectron. Adv. Mater. 2005, 7, 2743–2752. [Google Scholar]
- Parmendu Kant, K.; Srivastava, R. Dielectric Permitiviy and Breakdown Strength of Molybdenum Trioxide Films. J. Phys. Soc. Jpn. 1975, 39, 1316–1318. [Google Scholar] [CrossRef]
- Bélanger, D.; Laperrière, G. Electrochromic Molybdenum Trioxide Thin Film Preparation and Characterization. Chem. Mater. 1990, 2, 484–486. [Google Scholar] [CrossRef]
- Patil, P.R.; Pawar, S.H.; Patil, P.S. Electrochromic properties of tungsten oxide thin films deposited by solution thermolysis. Solid State Ionics 2000, 136–137, 505–511. [Google Scholar] [CrossRef]
- Faughnan, B.W.; Crandall, R.S. Optical properties of mixed-oxide WO3/MoO3 electrochromic films Cite. Appl. Phys. Lett. 1977, 834, 834–835. [Google Scholar] [CrossRef]
- Monk, P.M.S.; Ali, T.; Partridge, R.D. The effect of doping electrochromic molybdenum oxide with other metal oxides: Correlation of optical and kinetic properties. Solid State Ionics 1995, 80, 75–85. [Google Scholar] [CrossRef]
- Hsu, C.-S.; Chan, C.-C.; Huang, H.-T.; Peng, C.-H.; Hsu, W. Electrochromic properties of nanocrystalline MoO 3 thin films. Thin Solid Films 2008, 516, 4839–4844. [Google Scholar] [CrossRef]
- Turel, O.; Hacioglu, S.O.; Coskun, S.; Toppare, L.; Unalan, H.E. Sequential Deposition of Electrochromic MoO3 Thin Films with High Coloration Efficiency and Stability. J. Electrochem. Soc. 2017, 164, E565–E571. [Google Scholar] [CrossRef]












| Sample | Intense Peaks | Crystallite Size (nm) | |
|---|---|---|---|
| D-Spacing (Å) | (hkl) | ||
| 0 O2/Ar-60 min | 2.24323 | (110) | 28 ± 3 |
| 1.57868 | (200) | ||
| 1.29034 | (211) | ||
| 0.16 O2/Ar-60 min | 2.23039 | (110) | 16 ± 3 |
| 1.58409 | (200) | ||
| 1.28323 | (211) | ||
| 0.32 O2/Ar-60 min | 2.42993 | (111) | 13 ± 2 |
| 2.10633 | (200) | ||
| 1.48369 | (220) | ||
| 1.26528 | (311) | ||
| Sample | Mo 3d Orbitals | Mo (0) | MoO2 (IV) | Mo2O5 (V) | MoO3 (VI) |
|---|---|---|---|---|---|
| 0 O2/Ar- 60 min | Mo 3d3/2 | 230.50 | - | 234.30 | 235.30 |
| Mo 3d5/2 | 227.37 | - | 231.17 | 232.17 | |
| 0.16 O2/Ar- 60 min | Mo 3d3/2 | 230.96 | - | 234.66 | 235.73 |
| Mo 3d5/2 | 227.83 | - | 231.53 | 232.60 | |
| 0.32 O2/Ar- 60 min | Mo 3d3/2 | 230.96 | - | 234.53 | 235.52 |
| Mo 3d5/2 | 228.71 | - | 231.40 | 232.37 | |
| 0.48 O2/Ar- 60 min | Mo 3d3/2 | - | 232.59 | 234.63 | 235.57 |
| Mo 3d5/2 | - | 229.46 | 231.50 | 232.44 | |
| 0.56 O2/Ar- 60 min | Mo 3d3/2 | - | - | - | 235.67 |
| Mo 3d5/2 | - | - | - | 232.56 | |
| From literature [41,42,44] | Mo 3d3/2 | 230.85 | 232.6 | 234.62 | 235.85 |
| Mo 3d5/2 | 227.70 | 229.4 | 231.63 | 232.65 |
| Sample | Areal Density | Thickness (nm) | + Density (g/cm3) | |
|---|---|---|---|---|
| (1015 atm/cm2) | * | ** | ||
| 0.48 O2/Ar-60 min | 429,949 | - | - | - |
| 0.56 O2/Ar-60 min | 4900 | 385 | 531 | 2.74 |
| 0.56 O2/Ar-30 min | 1658 | 122 | 166 | 1.97 |
| 0.56 O2/Ar-15 min | 862 | 61.4 | 84.7 | 2.09 |
| Sample | Substrate | Sq (nm) |
|---|---|---|
| 0.56 O2/Ar-15 min | PET-ITO | 8 |
| 0.56 O2/Ar-30 min | 6 | |
| 0.56 O2/Ar-15 min | Glass-ITO | 11 |
| 0.56 O2/Ar-30 min | 13 | |
| 0.56 O2/Ar-60 min | 42 |
| Sample | 0.56 O2/Ar-15 min | 0.56 O2/Ar-30 min | |
|---|---|---|---|
| Scan rate (mV/s) | 10 | 10 | |
| Cathodic current density, jpc (A/cm2) | 7.57 × 10−4 | 6.83 × 10−4 | |
| Cathodic peak potential, Vpc (VAg/AgCl/KCl (3M)) | −2.50 | −2.46 | |
| Anodic current density, jpa (A/cm2) | 5.01 × 10−4 | 6.56 × 10−4 | |
| Anodic peak potential, Vpa (VAg/AgCl/KCl (3M)) | −1.00 | −0.68 | |
| Diffusion coefficient (cm2s−1) | Dinsertion | 7.74 × 10−10 | 6.31 × 10−10 |
| Dextraction | 3.39 × 10−10 | 5.81 × 10−10 | |
| Intercalated charge (C/cm2) | 0.077 | 0.109 | |
| Deintercalated charge (C/cm2) | 0.067 | 0.099 | |
| Reversibility (%) | 87% | 91% | |
| Coloration efficiency at 630 nm (cm2/C) | 19.6 | 10.2 | |
Publisher’s Note: MDPI stays neutral with regard to jurisdictional claims in published maps and institutional affiliations. |
© 2021 by the authors. Licensee MDPI, Basel, Switzerland. This article is an open access article distributed under the terms and conditions of the Creative Commons Attribution (CC BY) license (http://creativecommons.org/licenses/by/4.0/).
Share and Cite
Marciel, A.; Graça, M.; Bastos, A.; Pereira, L.; Suresh Kumar, J.; Borges, J.; Vaz, F.; Peres, M.; Magalhães, S.; Lorenz, K.; et al. Molybdenum Oxide Thin Films Grown on Flexible ITO-Coated PET Substrates. Materials 2021, 14, 821. https://doi.org/10.3390/ma14040821
Marciel A, Graça M, Bastos A, Pereira L, Suresh Kumar J, Borges J, Vaz F, Peres M, Magalhães S, Lorenz K, et al. Molybdenum Oxide Thin Films Grown on Flexible ITO-Coated PET Substrates. Materials. 2021; 14(4):821. https://doi.org/10.3390/ma14040821
Chicago/Turabian StyleMarciel, Alice, Manuel Graça, Alexandre Bastos, Luiz Pereira, Jakka Suresh Kumar, Joel Borges, Filipe Vaz, Marco Peres, Sergio Magalhães, Katharina Lorenz, and et al. 2021. "Molybdenum Oxide Thin Films Grown on Flexible ITO-Coated PET Substrates" Materials 14, no. 4: 821. https://doi.org/10.3390/ma14040821
APA StyleMarciel, A., Graça, M., Bastos, A., Pereira, L., Suresh Kumar, J., Borges, J., Vaz, F., Peres, M., Magalhães, S., Lorenz, K., & Silva, R. (2021). Molybdenum Oxide Thin Films Grown on Flexible ITO-Coated PET Substrates. Materials, 14(4), 821. https://doi.org/10.3390/ma14040821

