Internal Curing Effect of Pre-Soaked Zeolite Sand on the Performance of Alkali-Activated Slag
Abstract
1. Introduction
2. Materials and Methods
2.1. Materials and Sample Preparation
2.2. Test Methods
2.2.1. Setting Time
2.2.2. Autogenous Shrinkage
2.2.3. Compressive Strength Test
2.2.4. Isothermal Calorimetry
2.2.5. Ultrasonic Pulse Velocity (UPV) Test
2.2.6. Surface Electrical Resistivity (SER)
3. Results and Discussion
3.1. Setting Time
3.2. Autogenous Shrinkage, Internal Relative Humidity, and Internal Temperature
3.2.1. Development of Autogenous Shrinkage
3.2.2. Development of Internal Relative Humidity (IRH) and Internal Temperature (IT) of the AAS Mortars
3.3. Isothermal Calorimetry
3.4. Compressive Strength
3.5. Ultrasonic Characterization
3.6. Surface Electrical Resistivity (SER)
4. Conclusions
- Compared to AAS-0 and AAS-NZ, the addition of calcined zeolite sand can extend the setting time (72 min more) of AAS mortars and make it possible to alleviate the problem of AAS mortars being challenging to process in cast-in-place concrete due to rapid setting.
- When the amount of calcined zeolite added was up to 30%, the autogenous shrinkage of the AAS mortars at seven days of age was almost offset by approximately −11.65 μm/m. Compared to the autogenous shrinkage of the control group (approximately −324.68 μm/m), the 30% replacement amount of calcined zeolite reduced the autogenous shrinkage by 96.4%.
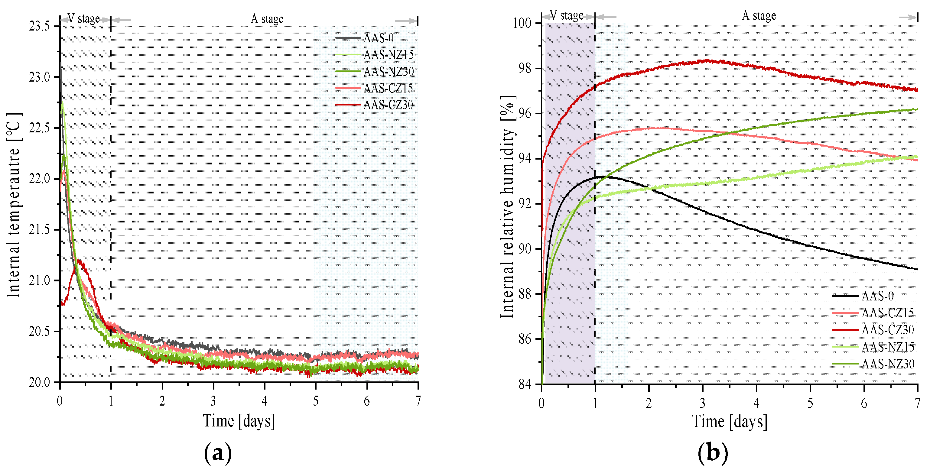
- In this study, the autogenous shrinkage development of the AAS mortars was divided into two stages, i.e., variable temperature stage and ambient temperature stage. The time division point between the two stages was at one day of age. For the internal relative humidity, in the variable temperature stage, all of the AAS mortars showed an increase. In the ambient temperature stage, AAS-0 decreased due to the absence of a continuously available internal curing liquid. However, different internal relative humidity trends were observed for the AAS mortars with internal curing. Among them, AAS-CZ exhibited an increasing and then decreasing behavior, while AAS-NZ exhibited a continuous increase.
- Compared to AAS-0, the second peak of the AAS mortars with internal curing appeared significantly earlier by approximately 7 h, due to the increased concentration of Na2O from the release of the internal curing liquid. The total heat of the hydration release decreased as the NaOH concentration increased.
- Compared to the control group, the compressive strength of the AAS mortars with internal curing increased at both three and seven days of age. Comparing the strength of the AAS mortars with different zeolite sands, it was found that although the high content of internal curing liquid had a positive effect on the compressive strength, the introduction of calcined zeolite itself increased the additional porosity of the AAS matrix. Therefore, natural zeolite at a substitution rate of 30% results in AAS mortars exhibiting the best compressive strength.
- The formation of hydration products can enhance the ultrasonic pulse velocity. On the contrary, the addition of zeolite introduces additional pores to reduce the ultrasonic pulse velocity. The final results of the ultrasonic pulse velocity depend on the competing results of these two factors. In addition, the introduction of internal curing decreases the surface electrical resistivity due to the continuous supply of internal curing liquid, thereby increasing the ionic conductivity.
Author Contributions
Funding
Institutional Review Board Statement
Informed Consent Statement
Data Availability Statement
Conflicts of Interest
References
- Duxson, P.; Fernández-Jiménez, A.; Provis, J.L.; Lukey, G.C.; Palomo, A.; van Deventer, J.S.J. Geopolymer technology: The current state of the art. J. Mater. Sci. 2006, 42, 2917–2933. [Google Scholar] [CrossRef]
- McLellan, B.C.; Williams, R.P.; Lay, J.; van Riessen, A.; Corder, G.D. Costs and carbon emissions for geopolymer pastes in comparison to ordinary portland cement. J. Clean. Prod. 2011, 19, 1080–1090. [Google Scholar] [CrossRef]
- Yang, K.-H.; Song, J.-K.; Song, K.-I. Assessment of CO2 reduction of alkali-activated concrete. J. Clean. Prod. 2013, 39, 265–272. [Google Scholar] [CrossRef]
- Wang, S.-D.; Pu, X.-C.; Scrivener, K.L.; Pratt, P.L. Alkali-activated slag cement and concrete: A review of properties and problems. Adv. Cem. Res. 1995, 27, 93–102. [Google Scholar] [CrossRef]
- Melo Neto, A.A.; Cincotto, M.A.; Repette, W. Drying and autogenous shrinkage of pastes and mortars with activated slag cement. Cem. Concr. Res. 2008, 38, 565–574. [Google Scholar] [CrossRef]
- Li, Z.; Nedeljković, M.; Chen, B.; Ye, G. Mitigating the autogenous shrinkage of alkali-activated slag by metakaolin. Cem. Concr. Res. 2019, 122, 30–41. [Google Scholar] [CrossRef]
- Yang, L.Y.; Jia, Z.J.; Zhang, Y.M.; Dai, J.G. Effects of nano-TiO2 on strength, shrinkage and microstructure of alkali activated slag pastes. Cem. Concr. Compos. 2015, 57, 1–7. [Google Scholar] [CrossRef]
- Bilim, C.; Karahan, O.; Atiş, C.D.; İlkentapar, S. Influence of admixtures on the properties of alkali-activated slag mortars subjected to different curing conditions. Mater. Des. 2013, 44, 540–547. [Google Scholar] [CrossRef]
- Lura, P.; Jensen, O.M.; Weiss, J. Cracking in cement paste induced by autogenous shrinkage. Mater. Struct. 2008, 42, 1089–1099. [Google Scholar] [CrossRef]
- Holt, E. Early Age Autogenous Shrinkage of Concrete. Ph.D. Thesis, Technical Research Centre of Finland, Espoo, Finland, 2001. [Google Scholar]
- Wyrzykowski, M.; Ghourchian, S.; Sinthupinyo, S.; Chitvoranund, N.; Chintana, T.; Lura, P. Internal curing of high performance mortars with bottom ash. Cem. Concr. Compos. 2016, 71, 1–9. [Google Scholar] [CrossRef]
- Kevern, J.T.; Nowasell, Q.C. Internal curing of pervious concrete using lightweight aggregates. Constr. Build. Mater. 2018, 161, 229–235. [Google Scholar] [CrossRef]
- Bentz, D.P.; Snyder, K.A. Protected paste volume in concrete: Extension to internal curing using saturated lightweight fine aggregate. Cem. Concr. Res. 1999, 29, 1863–1867. [Google Scholar] [CrossRef]
- Song, C.; Choi, Y.C.; Choi, S. Effect of internal curing by superabsorbent polymers—Internal relative humidity and autogenous shrinkage of alkali-activated slag mortars. Constr. Build. Mater. 2016, 123, 198–206. [Google Scholar] [CrossRef]
- Oh, S.; Choi, Y.C. Superabsorbent polymers as internal curing agents in alkali activated slag mortars. Constr. Build. Mater. 2018, 159, 1–8. [Google Scholar] [CrossRef]
- Li, Z.; Wyrzykowski, M.; Dong, H.; Granja, J.; Azenha, M.; Lura, P.; Ye, G. Internal curing by superabsorbent polymers in alkali-activated slag. Cem. Concr. Res. 2020, 135, 106123. [Google Scholar] [CrossRef]
- Sakulich, A.R.; Bentz, D.P. Mitigation of autogenous shrinkage in alkali activated slag mortars by internal curing. Mater. Struct. 2012, 46, 1355–1367. [Google Scholar] [CrossRef]
- Ballekere Kumarappa, D.; Peethamparan, S.; Ngami, M. Autogenous shrinkage of alkali activated slag mortars: Basic mechanisms and mitigation methods. Cem. Concr. Res. 2018, 109, 1–9. [Google Scholar] [CrossRef]
- Lee, N.K.; Abate, S.Y.; Kim, H.-K. Use of recycled aggregates as internal curing agent for alkali-activated slag system. Constr. Build. Mater. 2018, 159, 286–296. [Google Scholar] [CrossRef]
- Erfanimanesh, A.; Sharbatdar, M.K. Mechanical and microstructural characteristics of geopolymer paste, mortar, and concrete containing local zeolite and slag activated by sodium carbonate. J. Build. Eng. 2020, 32, 101781. [Google Scholar] [CrossRef]
- Zhang, J.; Wang, Q.; Zhang, J. Shrinkage of internal cured high strength engineered cementitious composite with pre-wetted sand-like zeolite. Constr. Build. Mater. 2017, 134, 664–672. [Google Scholar] [CrossRef]
- Wang, Q.; Zhang, J.; Ho, J.C.M. Zeolite to improve strength-shrinkage performance of high-strength engineered cementitious composite. Constr. Build. Mater. 2020, 234, 117335. [Google Scholar] [CrossRef]
- Zhang, G.Z.; Wang, X.Y. Effect of pre-wetted zeolite sands on the autogenous shrinkage and strength of ultra-high-performance concrete. Materials 2020, 13, 2356. [Google Scholar] [CrossRef] [PubMed]
- Bilodeau, A.; Kodur, V.K.R.; Hoff, G.C. Optimization of the type and amount of polypropylene fibres for preventing the spalling of lightweight concrete subjected to hydrocarbon fire. Cem. Concr. Compos. 2004, 26, 163–174. [Google Scholar] [CrossRef]
- Kodur, V. Properties of concrete at elevated temperatures. ISRN Civ. Eng. 2014, 2014, 468510. [Google Scholar] [CrossRef]
- Kodur, V.K.R.; Phan, L. Critical factors governing the fire performance of high strength concrete systems. Fire Saf. J. 2007, 42, 482–488. [Google Scholar] [CrossRef]
- Farzanian, K.; TeixeiraI, K.P.; Rocha, P.; Carneiro, L.D.S.; Ghahremaninezhad, A. The mechanical strength, degree of hydration, and electrical resistivity of cement pastes modified with superabsorbent polymers. Constr. Build. Mater. 2016, 109, 156–165. [Google Scholar] [CrossRef]
- ASTM International. ASTM C1608-17: Standard Test Method for Chemical Shrinkage of Hydraulic Cement Paste; ASTM International: West Conshohocken, PA, USA, 2017. [Google Scholar]
- ASTM International. ASTM C191-19: Standard Test Methods for Time of Setting of Hydraulic Cement by Vicat Needle; ASTM International: West Conshohocken, PA, USA, 2019. [Google Scholar]
- ASTM International. ASTM C1698-19: Standard Test Method for Autogenous Strain of Cement Paste and Mortar; ASTM International: West Conshohocken, PA, USA, 2016. [Google Scholar]
- Zhang, G.-Z.; Lee, H.-S.; Wang, X.-Y. Autogenous Shrinkage, Strength, and Hydration Heat of Ultra-High-Strength Paste Incorporating Nano-Zirconium Dioxide. Sustainability 2020, 12, 9372. [Google Scholar] [CrossRef]
- Zhang, G.-Z.; Cho, H.-K.; Wang, X.-Y. Effect of Nano-Silica on the Autogenous Shrinkage, Strength, and Hydration Heat of Ultra-High Strength Concrete. Appl. Sci. 2020, 10, 5202. [Google Scholar] [CrossRef]
- ASTM International. Standard ASTM C39/C39M: Standard Test Method for Compressive Strength of Cylindrical Concrete Specimens; ASTM International: West Conshohocken, PA, USA, 2016. [Google Scholar]
- ASTM International. Standard Test Method for Pulse Velocity through Concrete; ASTM International: West Conshohocken, PA, USA, 2016. [Google Scholar]
- American Association of State Highway and Transportation Officials (AASHTO). AASHTO T 358: Standard Method of Test for Surface Resistivity Indication of Concrete’s Ability to Resist Chloride Ion Penetration; AASHTO: Washington, DC, USA, 2019; p. 10. [Google Scholar]
- Chen, P.; Wang, J.; Wang, L.; Xu, Y. Perforated cenospheres: A reactive internal curing agent for alkali activated slag mortars. Cem. Concr. Compos. 2019, 104, 103351. [Google Scholar] [CrossRef]
- Ishida, T.; Maekawa, K.; Kishi, T. Enhanced modeling of moisture equilibrium and transport in cementitious materials under arbitrary temperature and relative humidity history. Cem. Concr. Res. 2006, 37, 565–578. [Google Scholar] [CrossRef]
- Fang, G.; Bahrami, H.; Zhang, M. Mechanisms of autogenous shrinkage of alkali-activated fly ash-slag pastes cured at ambient temperature within 24 h. Constr. Build. Mater. 2018, 171, 377–387. [Google Scholar] [CrossRef]
- Jia, Z.; Yang, Y.; Yang, L.; Zhang, Y.; Sun, Z. Hydration products, internal relative humidity and drying shrinkage of alkali activated slag mortar with expansion agents. Constr. Build. Mater. 2018, 158, 198–207. [Google Scholar] [CrossRef]
- Gebregziabiher, B.S.; Thomas, R.; Peethamparan, S. Very early-age reaction kinetics and microstructural development in alkali-activated slag. Cem. Concr. Compos. 2015, 55, 91–102. [Google Scholar] [CrossRef]
- Wang, C.-C.; Wang, H.-Y. Assessment of the compressive strength of recycled waste LCD glass concrete using the ultrasonic pulse velocity. Constr. Build. Mater. 2017, 137, 345–353. [Google Scholar] [CrossRef]
- Dávila-Pompermayer, R.; Lopez-Yepez, L.G.; Valdez-Tamez, P.; Juárez, C.A.; Durán-Herrera, A. Lechugilla natural fiber as internal curing agent in self compacting concrete (SCC): Mechanical properties, shrinkage and durability. Cem. Concr. Compos. 2020, 112, 103686. [Google Scholar] [CrossRef]
- Vollpracht, A.; Lothenbach, B.; Snellings, R.; Haufe, J. The pore solution of blended cements: A review. Mater. Struct. 2015, 49, 3341–3367. [Google Scholar] [CrossRef]








| Materials | SiO2 | CaO | Al2O3 | MgO | Fe2O3 | SO3 | K2O | TiO2 | MnO | Loss |
|---|---|---|---|---|---|---|---|---|---|---|
| GGBFS (%) | 32.25 | 38.85 | 15.78 | 7.13 | 0.56 | 2.68 | 0.65 | 0.44 | 0.17 | 1.25 |
| Zeolite sand (%) | 65.39 | 1.91 | 13.43 | 1.36 | 1.63 | − | − | − | − | 16.27 |
| Mix | Slag | Sand/Binder | Liquid/Binder | Aggregate (%) | Mixture Based on Volume (kg/m3) | ||||||||
|---|---|---|---|---|---|---|---|---|---|---|---|---|---|
| Basic Liquid/Binder | Additional Liquid/Binder | Total Liquid/Binder | Sand | Natural Zeolite | Calcined Zeolite | Slag | Alkali Solution | Standard Sand | Natural Zeolite | Calcined Zeolite | |||
| AAS-0 | 1 | 2.0 | 0.55 | 0 | 0.55 | 100 | − | − | 613.84 | 337.61 | 1227.68 | − | − |
| AAS-NZ15 | 1 | 2.0 | 0.55 | 0.017 | 0.567 | 85 | 15 | − | 601.00 | 340.77 | 1021.70 | 180.30 | − |
| AAS-NZ30 | 1 | 2.0 | 0.55 | 0.034 | 0.584 | 70 | 30 | − | 588.69 | 343.80 | 824.17 | 353.22 | − |
| AAS-CZ15 | 1 | 2.0 | 0.55 | 0.071 | 0.621 | 85 | − | 15 | 575.77 | 357.56 | 978.81 | − | 172.73 |
| AAS-CZ30 | 1 | 2.0 | 0.55 | 0.142 | 0.692 | 70 | − | 30 | 542.15 | 375.17 | 759.01 | − | 325.29 |
Publisher’s Note: MDPI stays neutral with regard to jurisdictional claims in published maps and institutional affiliations. |
© 2021 by the authors. Licensee MDPI, Basel, Switzerland. This article is an open access article distributed under the terms and conditions of the Creative Commons Attribution (CC BY) license (http://creativecommons.org/licenses/by/4.0/).
Share and Cite
Zhang, G.-Z.; Lee, H.-S.; Wang, X.-Y.; Han, Y. Internal Curing Effect of Pre-Soaked Zeolite Sand on the Performance of Alkali-Activated Slag. Materials 2021, 14, 718. https://doi.org/10.3390/ma14040718
Zhang G-Z, Lee H-S, Wang X-Y, Han Y. Internal Curing Effect of Pre-Soaked Zeolite Sand on the Performance of Alkali-Activated Slag. Materials. 2021; 14(4):718. https://doi.org/10.3390/ma14040718
Chicago/Turabian StyleZhang, Guang-Zhu, Han-Seung Lee, Xiao-Yong Wang, and Yi Han. 2021. "Internal Curing Effect of Pre-Soaked Zeolite Sand on the Performance of Alkali-Activated Slag" Materials 14, no. 4: 718. https://doi.org/10.3390/ma14040718
APA StyleZhang, G.-Z., Lee, H.-S., Wang, X.-Y., & Han, Y. (2021). Internal Curing Effect of Pre-Soaked Zeolite Sand on the Performance of Alkali-Activated Slag. Materials, 14(4), 718. https://doi.org/10.3390/ma14040718

