Artificial Weathering Mechanisms of Uncoated Structural Polyethylene Terephthalate Fabrics with Focus on Tensile Strength Degradation
Abstract
1. Introduction
2. Overview on the State of the Knowledge
2.1. PVC-Coated PET Woven Fabric and Its Weathering Behavior
2.2. Mechanisms of PET Degradation under Influence of Different Factors
2.2.1. Atmospheric Oxygen
2.2.2. UV Light
- Initial step:
- 2.
- Propagation steps:
- 3.
- Termination steps:
2.2.3. Humidity
2.2.4. Temperature
2.3. Effects of Exposure on PET Degradation
2.3.1. Discoloration of PET
2.3.2. Tensile Strength Degradation
2.3.3. Photodegradation
2.3.4. Hydrolytic Degradation
2.3.5. Thermal Degradation
3. Materials and Methods
3.1. General
3.2. Materials
3.3. Methods
3.3.1. Artificial Weathering
3.3.2. Uniaxial Tensile Tests
3.3.3. Intrinsic Viscosity and Molecular Weight Measurement
3.3.4. Infrared (IR) Spectroscopy
3.3.5. Optical Microscopy
3.3.6. Exploratory Data Analysis
3.3.7. Yellowness Index Measurement
4. Results
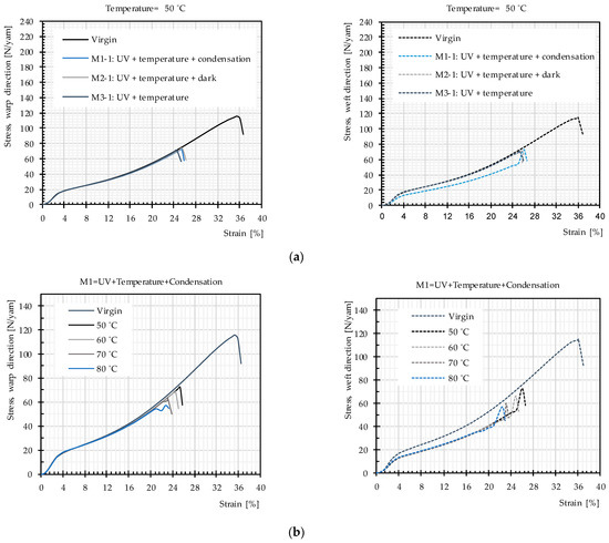
4.1. Impact of Temperature, Humidity, and Post Photodegradation Period
4.2. Impact of Weathering Time
4.2.1. Tensile Strength
4.2.2. Molecular Weight
4.2.3. IR Spectroscopy
4.2.4. Discoloration
4.3. Mechanism of Tensile Strength Degradation with Weathering Time
4.4. Comparison of Weathering Deterioration of PET Woven Fabric Type II and III
5. Conclusions
- (1)
- In artificial weathering, it was found that water induced cycles at temperatures below Tg do not have any impact on the tensile strength degradation of the investigated PET fabric.
- (2)
- Increasing the temperature could accelerate artificial weathering (but it should anyway be limited to values below Tg).
- (3)
- Alternating dark and light cycles (for mimicking day and night) and possible post photodegradation mechanisms were not critical for the tensile strength of uncoated PET material.
- (4)
- The most influential mechanism on the tensile strength degradation under combined heat, humidity, and UV attacks was the chain scission caused by photodegradation.
- (5)
- By increasing the exposure time periods, both tensile strength and molecular weight decreased. Based on the similarity between the direct stress/performance level response pathway (t → Ts) and the multistep pathway, via mechanistic level response (t → Mn or chain scission → Ts), it can be inferred that changes of the tensile strength and molecular weight directly correlate with each other. For the investigated woven PET fabric, a very good correlation was found for the fabric’s warp direction, whereas the correlation in weft direction can still be improved. It is assumed that differences in the warp and weft yarns densities and/or between pre-stressed warp (inserted during weaving) and slack weft yarns cause such a difference.
- (6)
- The investigated woven PET fabric Type II is a little more sensitive than Type III to tensile strength deterioration under weathering effects.
Supplementary Materials
Author Contributions
Funding
Institutional Review Board Statement
Informed Consent Statement
Data Availability Statement
Acknowledgments
Conflicts of Interest
References
- Colasante, G. Tensile Structures: Biaxial Testing and Constitutive Modelling of Coated Fabrics at Finite Strains. Ph.D. Thesis, Politechnico Di Milano, Milan, Italy, 2014. [Google Scholar]
- Davis, A.; Sims, D. Weathering of Polymers; Applied Science Publishers: London, UK, 1983. [Google Scholar]
- Asadi, H.; Uhlemann, J.; Stranghöner, N. Weathering influence on the mechanical properties of PVC-coated polyester fabrics with special emphasis on irradiance control. In Proceedings of the IASS Annual Symposia, Barcelona, Spain, 7–10 October 2019. [Google Scholar]
- Asadi, H.; Uhlemann, J.; Stegmaier, T.H.; Von Arnim, V.; Stranghöner, N. Investigations into the long-term behavior of fabrics. In Proceedings of the VIII International Conference on Textile Composites and Inflatable Structures, Munich, Germany, 9–11 October 2017; Bletzinger, K.U., Oñate, E., Kröplin, B., Eds.; CIMNE: Barcelona, Spain, 2017. [Google Scholar]
- Blum, R.; Bögner, H.; Némoz, G. Material properties and testing. In European Design Guide for Tensile Surface Structures, 21st ed.; Forster, B., Mollaert, M., Eds.; Tensinet Association: Brussels, Belgium, 2004; pp. 220–242. [Google Scholar]
- Li, Y.; Liu, T.; Yang, B.; Zhang, Q.; Zhang, Y. Effects of natural ageing on mechanical properties of PVDF-coated fabrics. Struct. Eng. Int. 2016, 26, 348–356. [Google Scholar] [CrossRef]
- João, L.S.; Carvalho, R.; Fangueiroa, R. A study on the durability properties of textile Membranes for architectural purposes. Procedia Eng. 2016, 155, 230–237. [Google Scholar] [CrossRef]
- Bögner-Balz, H.; Blum, R.; Köhnlein, J.A. Structural behaviour of fabrics and coatings for architectural fabric structures. In Fabric Structures in Architecture, 1st ed.; Llorens, J.I.D., Ed.; Woodhead Publishing Series in Textiles: Cambridge, UK, 2015; pp. 123–157. [Google Scholar]
- Awaja, F.; Pavel, D. Recycling of PET. Eur. Polym. J. 2005, 41, 1453–1477. [Google Scholar] [CrossRef]
- Coleman, M.; Painter, P. Fundamentals of Polymer Science, 2nd ed.; CRC Press: Boca Raton, FL, USA, 1998. [Google Scholar]
- Militký, J. Tensile failure of polyester fibers. In Handbook of Properties of Textile and Technical Fibres, 2nd ed.; Bunsell, A.R., Ed.; Woodhead Publishing: Cambridge, UK, 2018; pp. 421–514. [Google Scholar]
- Gok, A. Degradation Pathway Models of Poly(ethylene-terephthalate) Under Accelerated Weathering Exposures. Ph.D. Thesis, Case Western Reserve University, Cleveland, OH, USA, 2016. [Google Scholar]
- Philip, M.; Al-Azzawi, F. Effects of natural and artificial weathering on the physical properties of recycled poly (ethylene terephthalate). J. Polym. Environ. 2018, 26, 3139–3148. [Google Scholar] [CrossRef]
- Al-Azzawi, F. Degradation Studies on Recycled Polyethylene Terephthalate. Ph.D. Thesis, The London Metropolitan University, London, UK, 2015. [Google Scholar]
- Maréchal, E. Polyesters: Synthesis and Chemical Aspects. In Handbook of Thermoplastic Polyesters: Homopolymers, Copolymers, Blends, and Composites, 1st ed.; Fakirov, S., Ed.; Wiley-VCH: Weinheim, Germany, 2002; pp. 1–57. [Google Scholar]
- Papet, G.; Jirackova-audouin, L.; Verdu, J. Diffusion controlled radiochemical oxidation of low density polyethylene-I: Depth dependence of morphological changes. Int. J. Rad. Appl. Instrum. 1987, 29, 65–69. [Google Scholar]
- Parker, D.B.V. Polymer Chemistry, 1st ed.; Elsevier Science Ltd: London, UK, 1974. [Google Scholar]
- Malanowski, P. Weathering of Aromatic Polyester Coating. Ph.D. Thesis, Eindhoven University of Technology, Eindhoven, The Netherlands, 2009. [Google Scholar]
- Fairgrieve, S.F. Degradation and Stabilisation of Aromatic Polyesters, 1st ed.; Smithers Rapra Technology: Shrewsbury, UK, 2008. [Google Scholar]
- Salamone, J.C. Polymeric Materials Encyclopedia, 1st ed.; CRC Press: Boca Raton, FL, UK, 1996. [Google Scholar]
- Rabek, J.F. Polymer Photodegradation: Mechanisms and Experimental Methods, 1st ed.; Springer: Berlin, Germany, 2012. [Google Scholar]
- Day, M.; Wiles, D.M. Photochemical degradation of poly (ethylene terephthalate) III, Determination of decomposition products and restriction mechanism. J. Appl. Polym. Sci. 1972, 16, 203–215. [Google Scholar] [CrossRef]
- Fernando, S.; Christensen, P.; Egerton, T.; Eveson, R.; Martins-Franchetti, S.M.; Voisin, D.; White, J.R. Carbon dioxide formation during initial stages of photodegradation of poly (ethylene terephthalate) (PET) films. J. Mater. Sci. Technol. 2013, 25, 549–555. [Google Scholar] [CrossRef]
- Blais, P.; Day, M.; Wiles, D. Photochemical degradation of poly (ethylene terephthalate) IV, surface changes. J. Appl. Polym. Sci. 1973, 17, 1895–1907. [Google Scholar] [CrossRef]
- Allen, N.S.; Edge, M.; Mohammadian, M.; Jones, K. Physicochemical aspects of the environmental degradation of poly (ethylene terephthalate). Polym. Degrad. Stab. 1994, 43, 229–237. [Google Scholar] [CrossRef]
- Zhu, Z.; Kelley, M.J. IR spectroscopic investigation of the effect of deep UV irradiation on PET films. Polym. J. 2005, 46, 8883–8891. [Google Scholar] [CrossRef]
- Fechine, G.J.M.; Rabello, M.S.; Souto-Maior, R.M. Surface characterization of photodegraded poly (ethylene terephthalate), the effect of ultraviolet absorbers. Polym. J. 2004, 45, 2303–2308. [Google Scholar] [CrossRef]
- Fechine, G.J.M.; Christensen, P.A.; Egerton, T.A.; White, J.R. Evaluation of Poly (ethylene terephthalate) Photostabilisation using FTIR Spectrometry of Evolved Carbon Dioxide. Polym. Degrad. Stab. 2009, 94, 234–239. [Google Scholar] [CrossRef]
- Fechine, G.J.M.; Rabello, M.S.; Souto-Maior, R.M. The effect of ultraviolet stabilizers on the photodegradation of poly (ethylene terephthalate). Polym. Degrad. Stab. 2002, 75, 153–159. [Google Scholar] [CrossRef]
- Hosseini, S.S.; Taheri, S.; Zadhoush, A.; Mehrabani-Zeinabad, A. Hydrolytic Degradation of Poly p(ethylene terephthalate). J. Appl. Polym. Sci. 2006, 103, 2304–2309. [Google Scholar] [CrossRef]
- Sammon, C.; Yarwood, J.; Everall, N. An FT-IR study of the effect of hydrolytic degradation on the structure of thin films. Polym. Degrad. Stab. 2000, 67, 149–158. [Google Scholar] [CrossRef]
- Kint, D.; Munoz-Guerra, S. A review on the potential biodegradability of poly (ethylene terephthalate). Polym. Int. 1999, 48, 346–352. [Google Scholar] [CrossRef]
- Khemani, K.C. A novel approach for studying the thermal degradation and for estimating the rate of aldehyde generation by chain scission mechanism in ethylene glycol based polyesters and copolyetsers. Polym. Degrad. Stab. 2000, 67, 91–99. [Google Scholar]
- Attwood, J.; Philip, M.; Hulume, A. The effects of ageing by ultraviolet degradation of recycled polyolefin blends. Polym. Degrad. Stab. 2006, 91, 3407–3415. [Google Scholar] [CrossRef]
- Edge, E.; Hayes, M.; Mohammadian, M.; Allen, N.S.; Jewitt, T.S.; Brems, K.; Jones, K. Aspects of poly (ethylene terephthalate) degradation for archival life and environmental degradation. Polym. Degrad. Stab. 1991, 32, 131–153. [Google Scholar]
- Culbert, B.; Christel, A. Continuous solid state poly condensation of polyesters. In Modern Polyesters: Chemistry and Technology of Polyesters and Copolyester, 1st ed.; Scheirs, J., Long, T.A., Eds.; John Wiley & Sons: Hoboken, NJ, USA, 2004; pp. 143–194. [Google Scholar]
- Krimi, I.; Ducoulombier, L.; Dakhli, Z.; Lafhaj, Z. Durability of textile facing materials for construction: Operating accelerated ageing protocol results in basic medium for lifetime estimation in conditions of use. J. Ind. Text. 2015, 46, 929–949. [Google Scholar] [CrossRef]
- Klosowski, P.; Zerdzicki, K.; Woznica, K. Influence of artificial thermal ageing on polyester-reinforced and polyvinyl chloride coated AF9032 technical fabric. Text. Res. J. 2019, 89, 4632–4646. [Google Scholar] [CrossRef]
- Gok, A.; Fagerholm, C.L.; French, R.H.; Bruckman, L.S. Temporal evolution and pathway models of poly(ethylene-terephthalate) degradation under multi-factor accelerated weathering exposures. PLoS ONE 2019, 14, 1–22. [Google Scholar] [CrossRef] [PubMed]
- Wijdekop, M.; Arnold, J.C.; Evans, M.; John, V.; Alloyd, A. Monitoring with reflectance spectroscopy the colour change of PVC plastisol coated strip steel due to weathering. J. Mater. Sci. Technol. 2005, 21, 791–797. [Google Scholar] [CrossRef]
- Russo, P.; Acierno, D.; Marinucci, L.; Greco, A.; Frigione, M. Influence of Natural and Accelerated Weathering on Performance of Photoselective Greenhouse Films. J. Appl. Polym. Sci. 2012, 127, 2213–2219. [Google Scholar] [CrossRef]
- Cowie, J.; Arrighi, V. Polymers: Chemistry and Physics of Modern Materials, 1st ed.; Chapman & Hall: London, UK, 1991. [Google Scholar]
- Al-AbdulRazzak, S.; Jabarin, S.A. Processing characteristics of poly (ethylene terephthalate): Hydrolytic and thermal degradation. Polym. Int. 2002, 51, 164–173. [Google Scholar] [CrossRef]
- Ducoulombier, L.; Dakhli, Z.; Lafhaj, Z. Durability of textile facing materials for construction: Implementation of an accelerated aging test by hydrolysis. J. Ind. Text. 2014, 45, 1288–1307. [Google Scholar] [CrossRef]
- Stranghöner, N.; Uhlemann, J.; Bilginoglu, F.; Bletzinger, K.-U.; Bögner-Balz, H.; Corne, E.; Gibson, N.; Gosling, P.; Houtman, R.; Llorens, J.; et al. Prospect for European Guidance for the Structural Design of Tensile Membrane Structures; Publication Office of the European Union: Luxembourg, 2016. [Google Scholar]
- LU-0822, Sunlight, Weathering, and Light Stability Testing; Technical Bulletin; Q-LAB Corporation: Cleveland, OH, USA, 2011.
- EN ISO 4892-3:2016, Plastics—Methods of Exposure to Laboratory Light Sources—Part 3: Fluorescent UV Lamps (ISO 4892-3:2016); European standard; CEN: Brussels, Belgium, 2016.
- EN ISO 13934-1:2013, Textiles—Tensile Properties of Fabrics—Part 1: Determination of Maximum Force and Elongation at Maximum Force Using the Strip Method (ISO 13934-1:2013); European standard; CEN: Brussels, Belgium, 2013.
- ASTM D4603-03, Standard Test Method for Determining Inherent Viscosity of Poly (Ethylene Terephthalate) (PET) by Glass Capillary Viscometer; ASTM standard; ASTM International: West Conshohocken, PA, USA, 2018.
- Billmeyer, F.W. Methods for estimating intrinsic viscosity. J. Polym. Sci. 1949, 4, 83–86. [Google Scholar] [CrossRef]
- DIN 6167:1980, Description of Yellowness of Near-White or Near-Colourless Materials; Deutsche Norm; DIN: Berlin, Germany, 1980.
- Eichert, U. Residual Tensile and Tear Strength of Coated Industrial Fabrics Determined in Long-Time Tests in Natural Weather Conditions. J. Ind. Text. 1994, 23, 311–327. [Google Scholar] [CrossRef]
- Wang, W.; Taniguchi, A.; Fukuhara, M.; Okada, T. Two-step photodegradation process of poly (ethylene terephthalate). J. Appl. Polym. Sci. 1999, 74, 306–310. [Google Scholar] [CrossRef]
- Wang, W.; Taniguchi, A.; Fukuhara, M.; Okada, T. Surface nature of UV deterioration in properties of solid poly (ethylene terephthalate). J. Appl. Polym. Sci. 1998, 67, 705–714. [Google Scholar] [CrossRef]
- Ballara, A.; Verdu, J. Physical aspects of the hydrolysis of polyethylene terephthalate. Polym. Degrad. Stab. 1989, 26, 361–374. [Google Scholar] [CrossRef]
- Farrow, G.; Bagley, M.J. The Measurement of Molecular Orientation in Polyethylene Terephthalate Filaments by X-ray Diffraction. Text. Res. J. 1962, 7, 587–598. [Google Scholar] [CrossRef]
- Gok, A.; Fagerholm, C.L.; Gordon, D.A.; Bruckman, L.S.; French, R.H. Degradation of poly(ethylene-terephthalate) under accelerated weathering exposures. In Proceedings of the IEEE 42nd Photovoltaic Specialist Conference (PVSC), New Orleans, LA, USA, 14–19 June 2015. [Google Scholar]

























| Material | Weave Pattern | Yarn | Mass (g/m2) | Yarn Count (cm−1) 1, Warp/Weft | Yarn Density (dtex) 2 | Thickness (mm) |
|---|---|---|---|---|---|---|
| PET Type II | Panama 2/2 | PET low wick | 337 | 11/12.5 | 1100 | 0.348 |
| PET Type III | 363.1 | 10.8/10.5 | 1670 | 0.440 |
| Method | Standard | Cycles | Duration |
|---|---|---|---|
| M1-1 | - | 10 × (8 h radiation at 50 °C ± 3 K and 4 h condensation at 50 °C ± 3 K) | Each: 80 h radiation + 40 h condensation = 120 h |
| M1-2 | - | 10 × (8 h radiation at 60 °C ± 3 K and 4 h condensation at 50 °C ± 3 K) | |
| M1-3 | - | 10 × (8 h radiation at 70 °C ± 3 K and 4 h condensation at 50 °C ± 3 K) | |
| M1-4 | - | 10 × (8 h radiation at 80 °C ± 3 K and 4 h condensation at 50 °C ± 3 K) | |
| M2-1 | - | 10 × (8 h radiation at 50 °C ± 3 K and 4 h dark at 50 °C ± 3 K) | Each: 80 h radiation + 40 h dark = 120 h |
| M2-2 | - | 10 × (8 h radiation at 60 °C ± 3 K and 4 h dark at 50 °C ± 3 K) | |
| M2-3 | - | 10 × (8 h radiation at 70 °C ± 3 K and 4 h dark at 50 °C ± 3 K) | |
| M2-4 | - | 10 × (8 h radiation at 80 °C ± 3 K and 4 h dark at 50 °C ± 3 K) | |
| M3-1 | - | 10 × (8 h radiation at 50 °C ± 3 K) | Each: 80 h radiation |
| M3-2 | - | 10 × (8 h radiation at 60 °C ± 3 K) | |
| M3-3 | - | 10 × (8 h radiation at 70 °C ± 3 K) | |
| M3-4 | - | 10 × (8 h radiation at 80 °C ± 3 K) | |
| M4 | EN ISO 4892-3:2016 | 8 h radiation at 60 °C ± 3 K and 4 h condensation at 50 °C ± 3 K | 48, 122, 240, 382, 480, 720, 1080, 1440, 3000, 4684 h |
Publisher’s Note: MDPI stays neutral with regard to jurisdictional claims in published maps and institutional affiliations. |
© 2021 by the authors. Licensee MDPI, Basel, Switzerland. This article is an open access article distributed under the terms and conditions of the Creative Commons Attribution (CC BY) license (http://creativecommons.org/licenses/by/4.0/).
Share and Cite
Asadi, H.; Uhlemann, J.; Stranghoener, N.; Ulbricht, M. Artificial Weathering Mechanisms of Uncoated Structural Polyethylene Terephthalate Fabrics with Focus on Tensile Strength Degradation. Materials 2021, 14, 618. https://doi.org/10.3390/ma14030618
Asadi H, Uhlemann J, Stranghoener N, Ulbricht M. Artificial Weathering Mechanisms of Uncoated Structural Polyethylene Terephthalate Fabrics with Focus on Tensile Strength Degradation. Materials. 2021; 14(3):618. https://doi.org/10.3390/ma14030618
Chicago/Turabian StyleAsadi, Hastia, Joerg Uhlemann, Natalie Stranghoener, and Mathias Ulbricht. 2021. "Artificial Weathering Mechanisms of Uncoated Structural Polyethylene Terephthalate Fabrics with Focus on Tensile Strength Degradation" Materials 14, no. 3: 618. https://doi.org/10.3390/ma14030618
APA StyleAsadi, H., Uhlemann, J., Stranghoener, N., & Ulbricht, M. (2021). Artificial Weathering Mechanisms of Uncoated Structural Polyethylene Terephthalate Fabrics with Focus on Tensile Strength Degradation. Materials, 14(3), 618. https://doi.org/10.3390/ma14030618

