Preparation of Mn2+ Doped Piperazine Phosphate as a Char-Forming Agent for Improving the Fire Safety of Polypropylene/Ammonium Polyphosphate Composites
Abstract
:1. Introduction
2. Experimental
2.1. Materials
2.2. Preparation of Mn2+-Doped Piperazine Phosphate (HP-Mn)
2.3. Sample Preparation
2.4. Characterization
3. Results and Discussion
3.1. Characterization of HP and HP-Mn
3.2. Flame Retardancy
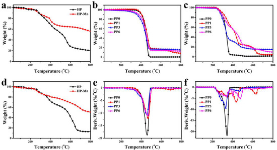
3.3. Analysis of Thermal Stability
3.4. Flame-Retardant Mechanism Analysis
3.4.1. Gas Phase Analysis
3.4.2. Analysis of Char Residue
3.4.3. Possible Flame-Retardant Mechanism
4. Conclusions
Author Contributions
Funding
Institutional Review Board Statement
Informed Consent Statement
Data Availability Statement
Acknowledgments
Conflicts of Interest
References
- Shirvanimoghaddam, K.; Balaji, K.V.; Yadav, R.; Zabihi, O.; Ahmadi, M.; Adetunji, P.; Naebe, M. Balancing the toughness and strength in polypropylene composites. Compos. Part B Eng. 2021, 223, 109121. [Google Scholar] [CrossRef]
- Nguyen, H.L.; Tran, T.H.; Hao, L.T.; Jeon, H.; Koo, J.M.; Shin, G.; Hwang, D.S.; Hwang, S.Y.; Park, J.; Oh, D.X. Biorenewable, transparent, and oxygen/moisture barrier nanocellulose/nanochitin-based coating on polypropylene for food packaging applications. Carbohydr. Polym. 2021, 271, 118421. [Google Scholar] [CrossRef]
- Batista, M.D.R.; Drzal, L.T.; Kiziltas, A.; Mielewski, D. Hybrid cellulose-inorganic reinforcement polypropylene composites: Lightweight materials for automotive applications. Polym. Compos. 2020, 41, 1074. [Google Scholar] [CrossRef]
- Lu, L.; Guo, N.; Qian, X.; Yang, S.; Wang, X.; Jin, J.; Shao, G.J. Thermal degradation and combustion behavior of intumescent flame-retardant polypropylene with novel phosphorus-based flame retardants. Appl. Polym. Sci. 2018, 135, 10. [Google Scholar]
- Peng, H.Q.; Zhou, Q.; Wang, D.Y.; Chen, L.; Wang, Y.Z. A novel charring agent containing caged bicyclic phosphate and its application in intumescent flame retardant polypropylene systems. J. Ind. Eng. Chem. 2008, 14, 589. [Google Scholar] [CrossRef]
- Xu, S.; Li, S.Y.; Zhang, M.; Zeng, H.Y.; Wu, K.; Tian, X.Y.; Chen, C.R.; Pan, Y. Fabrication of green alginate-based and layered double hydroxides flame retardant for enhancing the fire retardancy properties of polypropylene. Carbohydr. Polym. 2020, 234, 115891. [Google Scholar] [CrossRef]
- Zheng, Z.; Liu, S.; Wang, B.; Yang, T.; Cui, X.; Wang, H. Preparation of a novel phosphorus-and nitrogen-containing flame retardant and its synergistic effect in the intumescent flame-retarding polypropylene system. Polym. Composite 2015, 36, 1606. [Google Scholar] [CrossRef]
- Zhang, Z.; Han, Z.; Pan, Y.T.; Li, D.; Wang, D.Y.; Yang, R. Dry synthesis of mesoporous nanosheet assembly constructed by cyclomatrix polyphosphazene frameworks and its application in flame retardant polypropylene. Chem. Eng. J. 2020, 395, 125076. [Google Scholar] [CrossRef]
- Nazir, R.; Gooneie, A.; Lehner, S.; Jovic, M.; Rupper, P.; Ott, N.; Hufenus, R.; Gaan, S. Alkyl sulfone bridged phosphorus flame-retardants for polypropylene. Mater. Des. 2021, 200, 109459. [Google Scholar] [CrossRef]
- Wu, K.; Xu, S.; Tian, X.Y.; Zeng, H.Y.; Hu, J.; Guo, Y.H.; Jian, J. Renewable lignin-based surfactant modified layered double hydroxide and its application in polypropylene as flame retardant and smoke suppression. Int. J. Biol. Macromol. 2021, 178, 580–590. [Google Scholar] [CrossRef]
- Guo, X.; Geng, J.; Sun, B.; Xu, Q.; Li, Y.; Xie, S.; Xue, Y.; Yan, H. Great enhancement of efficiency of intumescent flame retardants by titanate coupling agent and polysiloxane. Polym. Adv. Technol. 2021, 32, 41. [Google Scholar] [CrossRef]
- Yu, G.; Ma, C.; Li, J. Flame retardant effect of cytosine pyrophosphate and pentaerythritol on polypropylene. Compos. Part B Eng. 2020, 180, 107520. [Google Scholar] [CrossRef]
- Chen, Y.S.; Li, J.X.; Lai, X.J.; Li, H.Q.; Zeng, X.R. N-alkoxyamine-containing macromolecular intumescent flame-retardant-decorated ZrP nanosheet and their synergism in flame-retarding polypropylene. Polym. Adv. Technol. 2021, 32, 3804. [Google Scholar] [CrossRef]
- Alongi, J.; Han, Z.D.; Bourbigot, S. Intumescence: Tradition versus novelty. A comprehensive review. Prog. Polym. Sci. 2015, 51, 28. [Google Scholar] [CrossRef]
- Wu, Q.; Guo, J.; Fei, B.; Li, X.; Sun, J.; Gu, X.; Li, H.; Zhang, S. Synthesis of a novel polyhydroxy triazine-based charring agent and its effects on improving the flame retardancy of polypropylene with ammonium polyphosphate and zinc borate. Polym. Degrad. Stab. 2020, 175, 109123. [Google Scholar] [CrossRef]
- Chen, Y.H.; Liu, Y.A.; Wang, Q.; Yin, H.A.; Aelmans, N.; Kierkels, R. Performance of intumescent flame retardant master batch synthesized through twin-screw reactively extruding technology: Effect of component ratio. Polym. Degrad. Stab. 2003, 81, 215. [Google Scholar] [CrossRef]
- Demir, H.; Arkis, E.; Balkose, D.; Ulku, S. Synergistic effect of natural zeolites on flame retardant additives. Polym. Degrad. Stab. 2005, 89, 478. [Google Scholar] [CrossRef] [Green Version]
- Dong, X.; Yang, J.N.; Hua, X.Z.; Nie, S.B.; Kong, F.B. Synthesis of a novel char-forming agent (PEIC): Improvement in flame retardancy, thermal stability, and smoke suppression for intumescent flame-retardant polypropylene composites. J. Appl. Polym. Sci. 2020, 137, 48296. [Google Scholar] [CrossRef]
- Pan, Y.; Luo, Z.; Wang, B. Cross-Linking Modification of Ammonium Polyphosphate via Ionic Exchange and Self-Assembly for Enhancing the Fire Safety Properties of Polypropylene. Polymers 2020, 12, 2761. [Google Scholar] [CrossRef] [PubMed]
- Ma, J.; He, L.; Huang, L.; Peng, Q.H.; Cai, X.F. Synthesis of aliphatic–aromatic polyamide carbonized system with phosphoramide structure and study on its thermal degradation mechanism and flame retardancy in polypropylene system. J. Therm. Anal. Calorim. 2021, 145, 3041–3051. [Google Scholar] [CrossRef]
- Dong, L.; Zhu, S.D.; Xia, M.Z.; Chu, Y.T.; Wang, F.Y.; Lei, W.J. Molecular dynamics simulations of the binging affinity of 1-hydroxyethane-1, 1-diphosphonic acid (HEDP) with nano-hydroxyapatite and the uptake of Cu2+ by HEDP-HAP hybrid systems. Hazard. Mater. 2020, 383, 121206. [Google Scholar] [CrossRef] [PubMed]
- Feng, Q.L.; Gu, X.Y.; Zhang, S.; Zhao, B.; Sun, J.; Li, X.Y.; Dong, M.Z. An effective flame retardant for poly (ethylene terephthalate) synthesized by phosphaphenanthrene and cyclotriphosphazene. Ind. Eng. Chem. Res. 2012, 51, 14708. [Google Scholar] [CrossRef]
- Xia, Y.; Mao, Z.W.; Jin, F.F.; Guan, Y.; Zheng, A.N. Synthesis of 1-hydroxy ethylidene-1, 1-diphosphonic ammonium and the promise of this ammonium salt as an intumescent flame retardant in polystyrene. Polym. Degrad. Stab. 2014, 102, 186. [Google Scholar] [CrossRef]
- Ma, D.; Zhao, P.; Li, J. Effects of zinc phytate on flame retardancy and thermal degradation behaviors of intumescent flame-retardant polypropylene. Polym. Plast. Technol. Eng. 2017, 56, 1167. [Google Scholar] [CrossRef]
- Cheng, Z.; Liao, D.J.; Hu, X.P.; Li, W.X.; Xie, C.Q.; Zhang, H.J.; Yang, W.X. Synergistic fire retardant effect between expandable graphite and ferrocene-based non-phosphorus polymer on polypropylene. Polym. Degrad. Stab. 2020, 178. [Google Scholar] [CrossRef]
- Zhao, W.J.; Cheng, Y.M.; Li, Z.W.; Li, X.H.; Zhang, Z.J. Improvement in fire-retardant properties of polypropylene filled with intumescent flame retardants, using flower-like nickel cobaltate as synergist. J. Mater. Sci. 2021, 56, 2702. [Google Scholar] [CrossRef]
- Li, W.X.; Zhang, H.J.; Hu, X.P.; Yang, W.X.; Cheng, Z.; Xie, C.Q. Highly efficient replacement of traditional intumescent flame retardants in polypropylene by manganese ions doped melamine phytate nanosheets. J. Hazard. Mater. 2020, 398, 123001. [Google Scholar] [CrossRef] [PubMed]
- Zhang, Y.; Li, X.; Fang, Z.; Hull, T.R.; Kelarakis, A.; Stec, A.A.; Huang, C.; Zhao, Z.Y.; Deng, C.; Lu, P.; et al. Mechanism of enhancement of intumescent fire retardancy by metal acetates in polypropylene. Polym. Degrad. Stab. 2017, 136, 139. [Google Scholar] [CrossRef] [Green Version]
- Pu, S.M.; Chen, M.Y.; Chen, Y.Q.; Zhang, W.T.; Soliman, H.; Qu, A.; Liu, Q.J.; Tang, X.; Huang, N.; Wan, G.J. Zirconium ions integrated in 1-hydroxyethylidene-1, 1-diphosphonic acid (HEDP) as a metalorganic-like complex coating on biodegradable magnesium for corrosion control. Corros. Sci. 2018, 144, 277. [Google Scholar] [CrossRef]
- Chen, H.; Deng, C.; Zhao, Z.Y.; Wan, L.; Yang, A.H.; Wang, Y.Z. Novel piperazine-containing oligomer as flame retardant and crystallization induction additive for thermoplastics polyurethane. Chem. Eng. J. 2020, 400, 125941. [Google Scholar] [CrossRef]
- Zou, C.; Qin, Y.; Yan, X.; Zhou, L.; Luo, P. Study on acidizing effect of cationic β-cyclodextrin inclusion complex with sandstone for enhancing oil recovery. Ind. Eng. Chem. Res. 2014, 53, 12901. [Google Scholar] [CrossRef]
- Debbabi, M.; Othmani, M.; Aissa, A. Structural and thermal investigations of a Tunisian natural phosphate rock. Acta Crystallogr. Sect. A Found. Crystallogr. 2013, 69, S518. [Google Scholar] [CrossRef] [Green Version]
- Wang, X.; Zhu, M.; Dai, B. Effect of phosphorus ligand on Cu-Based catalysts for acetylene hydrochlorination. ACS Sustain. Chem. Eng. 2019, 7, 6170. [Google Scholar] [CrossRef]
- Zhang, Z.; Zhang, Y.; He, L.; Yang, Y.; Liu, S.; Wang, M.; Fang, S.; Fu, G. A feasible synthesis of Mn3 (PO4) 2@ BSA nanoflowers and its application as the support nanomaterial for Pt catalyst. J. Power Sources 2015, 284, 170. [Google Scholar] [CrossRef]
- Grissa, R.; Martinez, H.; Cotte, S.; Galipaud, J.; Pecquenard, B.; le Cras, F. Thermomechanical polymer binder reactivity with positive active materials for Li metal polymer and Li-ion batteries: An XPS and XPS imaging study. Appl. Surf. Sci. 2017, 411, 449. [Google Scholar] [CrossRef]
- Wang, D.; Yang, J.; Xue, F.; Wang, J.; Hu, W. Experimental and computational study of zinc coordinated 1-hydroxyethylidene-1, 1-diphosphonic acid self-assembled film on steel surface. Colloids Surf. A. 2021, 612, 126009. [Google Scholar] [CrossRef]
- Fu, L.H.; Dong, C.F.; Li, X.G.; Han, W. Electrochemical behaviors of magnesium alloy with phosphate conversion coating in NaCl solutions. Rare Met. 2016, 35, 747. [Google Scholar] [CrossRef]
- Zhang, J.; Qu, L.; Shi, G.; Liu, J.; Chen, J.; Dai, L. N, P-codoped carbon networks as efficient metal-free bifunctional catalysts for oxygen reduction and hydrogen evolution reactions. Angew. Chem. Int. Ed. 2016, 55, 2230. [Google Scholar] [CrossRef] [PubMed]
- Zhang, P.; Song, L.; Lu, H.; Hu, Y.; Xing, W.; Ni, J.; Wang, J. Synergistic effect of nanoflaky manganese phosphate on thermal degradation and flame retardant properties of intumescent flame retardant polypropylene system. Polym. Degrad. Stab. 2009, 94, 201. [Google Scholar] [CrossRef]
- Feng, C.M.; Zhang, Y.; Liang, D.; Liu, S.W.; Chi, Z.G.; Xu, J.R. Flame retardancy and thermal degradation behaviors of polypropylene composites with novel intumescent flame retardant and manganese dioxide. J. Anal. Appl. Pyrolysis 2013, 104, 59. [Google Scholar] [CrossRef]
- Chen, H.; Wang, J.; Ni, A.; Ding, A.; Han, X.; Sun, Z. The effects of a macromolecular charring agent with gas phase and condense phase synergistic flame retardant capability on the properties of PP/IFR composites. Materials 2018, 11, 111. [Google Scholar] [CrossRef] [PubMed] [Green Version]
- Dong, H.; Yuan, B.; Qi, C.; Li, K.; Shang, S.; Sun, Y.; Chen, G.; Zhang, H.; Chen, X. Preparation of piperazine cyanurate by hydrogen-bonding self-assembly reaction and its application in intumescent flame-retardant polypropylene composites. Polym. Adv. Technol. 2020, 31, 1027. [Google Scholar] [CrossRef]
- Vahabi, H.; Kandola, B.K.; Saeb, M.R. Flame retardancy index for thermoplastic composites. Polymers 2019, 11, 407. [Google Scholar] [CrossRef] [Green Version]
- Duan, B.R.; Wang, Q.J.; Wang, X.; Li, Y.; Zhang, M.M.; Diao, S. Flame retardance of leather with flame retardant added in retanning process. Results Phys. 2019, 15, 102717. [Google Scholar] [CrossRef]
- Xu, B.; Wu, X.; Ma, W.; Qian, L.J.; Xin, F.; Qiu, Y. Synthesis and characterization of a novel organic-inorganic hybrid char-forming agent and its flame-retardant application in polypropylene composites. J. Anal. Appl. Pyrolysis. 2018, 134, 231–242. [Google Scholar] [CrossRef]
- Xu, D.; Yu, K.; Qian, K. Thermal degradation study of rigid polyurethane foams containing tris (1-chloro-2-propyl) phosphate and modified aramid fiber. Polym. Test. 2018, 67, 159–168. [Google Scholar] [CrossRef]
- Tian, N.; Wen, X.; Jiang, Z.; Gong, J.; Wang, Y.; Xue, J.; Tang, T. Synergistic effect between a novel char forming agent and ammonium polyphosphate on flame retardancy and thermal properties of polypropylene. Ind. Eng. Chem. Res. 2013, 52, 10905. [Google Scholar] [CrossRef]
- Lai, X.; Tang, S.; Li, H.; Zeng, X. Flame-retardant mechanism of a novel polymeric intumescent flame retardant containing caged bicyclic phosphate for polypropylene. Polym. Degrad. Stab. 2015, 113, 22. [Google Scholar] [CrossRef]
- Ran, J.C.; Qiu, J.D.; Xie, H.L.; Lai, X.J.; Li, H.Q.; Zeng, X.R. Combination effect of zirconium phosphate nanosheet and PU-coated carbon fiber on flame retardancy and thermal behavior of PA46/PPO alloy. Compos. B Eng. 2019, 166, 621. [Google Scholar] [CrossRef]
- Jin, X.; Cui, S.; Sun, S.; Gu, X.; Li, H.; Sun, J.; Zhang, S.; Bourbigot, S. The Preparation and Characterization of Polylactic Acid Composites with Chitin-Based Intumescent Flame Retardants. ACS Appl. Polym. Mater. 2019, 1, 755. [Google Scholar] [CrossRef]
- Qu, B.J.; Xie, R.C. Intumescent char structures and flame-retardant mechanism of expandable graphite-based halogen-free flame-retardant linear low density polyethylene blends. Polym. Int. 2003, 52, 1415. [Google Scholar] [CrossRef]











| Sample ID | PP, wt.% | APP, wt.% | HP, wt.% | HP-Mn |
|---|---|---|---|---|
| PP0 | 100 | / | / | / |
| PP1 | 75 | 25 | / | / |
| PP2 | 75 | / | 25 | / |
| PP3 | 75 | / | / | 25 |
| PP4 | 75 | 12.5 | 12.5 | / |
| PP5 | 77.5 | 11.25 | / | 11.25 |
| PP6 | 75 | 12.5 | / | 12.5 |
| Sample ID | LOI (%) | UL-94 Rating (3 mm) | t1/t2 | Dropping or Not |
|---|---|---|---|---|
| PP0 | 18.5 ± 0.3 | NO rate | >30 | Yes |
| PP1 | 20.1 ± 0.2 | NO rate | >30 | Yes |
| PP2 | 23.5 ± 0.4 | NO rate | >30 | Yes |
| PP3 | 25.3 ± 0.3 | NO rate | >30 | Yes |
| PP4 | 27.6 ± 0.2 | V-1 | 2.2/9.2 | No |
| PP5 | 27.2 ± 0.4 | V-2 | 2/14.4 | Yes |
| PP6 | 30.7 ± 0.2 | V-0 | 1.8/4.6 | No |
| Sample | PP0 | PP1 | PP3 | PP5 | PP6 |
|---|---|---|---|---|---|
| TTI (s) | 56 ± 5 | 45 ± 3 | 28 ± 1 | 32 ± 2 | 31 ± 3 |
| PHRR (kW/m2) | 804.3 ± 23.5 | 667.0 ± 15.7 | 242.5 ± 20.8 | 226.8 ± 16.2 | 207.5 ± 10.4 |
| TPHRR (s) | 160 ± 5 | 155 ± 2 | 150 ± 4 | 240 ± 2 | 225 ± 3 |
| THR (MJ/m2) | 88.8 ± 2.5 | 83.7 ± 1.8 | 65.4 ± 2.1 | 66.4 ± 2.0 | 57.0 ± 2.3 |
| TSP(m2) | 10.3 ± 0.5 | 12.7 ± 0.8 | 8.4 ± 0.3 | 7.6 ± 0.4 | 7.2 ± 0.2 |
| Mean COY (kg/kg) | 0.03 ± 0.004 | 0.04 ± 0.002 | 0.05 ± 0.003 | 0.04 ± 0.002 | 0.06 ± 0.002 |
| PSPR (m2/s) | 0.098 ± 0.003 | 0.093 ± 0.005 | 0.033 ± 0.002 | 0.038 ± 0.002 | 0.029 ± 0.003 |
| Mean CO2Y (kg/kg) | 2.49 ± 0.05 | 1.90 ± 0.02 | 2.21 ± 0.09 | 2.23 ± 0.03 | 2.09 ± 0.07 |
| Av-EHC (MJ/kg) | 39.8 ± 1.2 | 29.9 ± 0.7 | 34.2 ± 1.0 | 34.8 ± 0.5 | 32.9 ± 0.8 |
| FGI (kW/m2s) | 5.04 | 4.30 | 1.61 | 0.94 | 0.92 |
| FRI | 1.00 | 1.02 | 2.25 | 2.71 | 3.34 |
| Sample Code | Nitrogen | ||||
|---|---|---|---|---|---|
| T5 wt.% (°C) | Tmax1 (°C) | Tmax2 (°C) | Rate of Tmax ( wt.%/min) | Residual Weight at 800 °C ( wt.%) | |
| HP | 267.2 | 280.0 | 566.7 | 3.7 | 20.0 |
| HP-MN | 247.0 | 273.6 | 400.7 | 3.3 | 55.8 |
| PP0 | 387.2 | 458.0 | / | 18.8 | 0 |
| PP1 | 391.6 | 466.8 | / | 12.2 | 8.0 |
| PP3 | 316.1 | 456.8 | / | 10.7 | 15.1 |
| PP6 | 327.3 | 467.7 | / | 11.1 | 12.3 |
| Sample Code | Air | |||||
|---|---|---|---|---|---|---|
| T5 wt.% (°C) | Tmax1 (°C) | Tmax2 (°C) | Tmax3 (°C) | Rate of Tmax ( wt.%/min) | Residual Weight at 800 °C ( wt.%) | |
| HP | 265.9 | 278.7 | 606.2 | / | 3.9 | 12.8 |
| HP-Mn | 242.2 | 269.2 | 390.9 | 698.3 | 1.8 | 50.7 |
| PP0 | 262.8 | 342.8 | / | / | 21.5 | 0 |
| PP1 | 268.2 | 344.6 | 437.5 | 631.2 | 6.5 | 4.5 |
| PP3 | 255.7 | 308.7 | 439.9 | / | 6.4 | 14.9 |
| PP6 | 257.0 | 279.0 | 408.5 | 474.9 | 5.0 | 9.7 |
Publisher’s Note: MDPI stays neutral with regard to jurisdictional claims in published maps and institutional affiliations. |
© 2021 by the authors. Licensee MDPI, Basel, Switzerland. This article is an open access article distributed under the terms and conditions of the Creative Commons Attribution (CC BY) license (https://creativecommons.org/licenses/by/4.0/).
Share and Cite
Dong, F.; Luo, Z.; Wang, B. Preparation of Mn2+ Doped Piperazine Phosphate as a Char-Forming Agent for Improving the Fire Safety of Polypropylene/Ammonium Polyphosphate Composites. Materials 2021, 14, 7589. https://doi.org/10.3390/ma14247589
Dong F, Luo Z, Wang B. Preparation of Mn2+ Doped Piperazine Phosphate as a Char-Forming Agent for Improving the Fire Safety of Polypropylene/Ammonium Polyphosphate Composites. Materials. 2021; 14(24):7589. https://doi.org/10.3390/ma14247589
Chicago/Turabian StyleDong, Fuqiang, Zhonglin Luo, and Biaobing Wang. 2021. "Preparation of Mn2+ Doped Piperazine Phosphate as a Char-Forming Agent for Improving the Fire Safety of Polypropylene/Ammonium Polyphosphate Composites" Materials 14, no. 24: 7589. https://doi.org/10.3390/ma14247589
APA StyleDong, F., Luo, Z., & Wang, B. (2021). Preparation of Mn2+ Doped Piperazine Phosphate as a Char-Forming Agent for Improving the Fire Safety of Polypropylene/Ammonium Polyphosphate Composites. Materials, 14(24), 7589. https://doi.org/10.3390/ma14247589

