Thermal, Viscoelastic and Surface Properties of Oxidized Field’s Metal for Additive Microfabrication
Abstract
:1. Introduction
2. Materials and Methods
2.1. Surface Characterization and Thermal Parameters of Field’s Metal
2.2. Rheological Characterization
2.3. Axisymmetric Drop Shape Analysis
3. Results
3.1. XPS and DSC Measurements of Field’s Metal
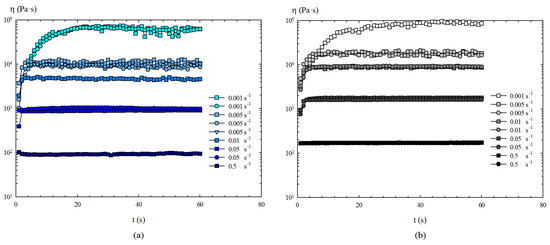
3.2. Rheological Characterization of Field’s Metal
3.3. Axisymmetric Drop Shape Analysis
4. Conclusions
- Regarding the rheological properties, the results point to the lower viscosity of Field’s metal compared with EGaIn in the liquid state, and also to the elasticity of the oxide skin, which predominates over the viscoelastic behaviour in both cases.
- Torsional flow tests allowed us to determine the yield stress () of the oxide skin—an essential process parameter—as well as the critical shear rate needed to start the shear flow of these materials. Concerning the evolution of the yield stress with regard to the shear rate, it is concluded that Field’s metal requires a lower shear stress to flow, although its shear flow is somewhat less stable than that of EGaIn. In addition, by means of torsional flow tests with peak hold, it was possible to analyse the time needed to reach the maximum steady shear stress.
- The surface properties of Field’s metal were also studied in order to evaluate the capacity to generate microdroplets, especially in “Drop on Demand” processes. Therefore, the solidification angle of Field’s metal on different substrates was analysed at different temperatures and, both alone and in the presence of the oxide skin. It was concluded that the oxide layer reduces the solidification angle of Field’s metal, with maximum reductions of approximately 8°.
- The surface tension of both liquid metals was analysed using the drop pendant method. In the absence of oxides, a well-defined and fixed surface tension value was obtained for the bulk of the material. By contrast, when these metals are oxidized, the viscoelastic properties of the oxide layer affect the interfacial stress values, producing apparent values that may be lower or higher than those corresponding to the bulk of the material. Thus, for small droplet volumes, surface tension values lower than that of the bulk were obtained, as the elasticity of the oxide skin contributes to the formation of drop shapes with a surface energy lower than that expected for a pure liquid. By contrast, above a certain drop volume, the surface tension overcomes that of the bulk, since the yield stress of the oxide layer is exceeded, and permanent deformations appear. Such deviations in the surface properties were identified by analysing the surface tension results of pendant drop experiments as a function of droplet volume and the Bond number.
- In the rheological study, the flow temperature ramp test demonstrated the potential usefulness of Field’s metal as an appropriate substitute for Ga alloys at temperatures above 338 K, since this metal remains rheologically stable up to temperatures close to 438 K. This would make Field’s metal suitable for “Drop on Demand” applications at high temperatures, as well as for combined use with liquid alloys, as already suggested by Shaikh et al. [55].
Author Contributions
Funding
Institutional Review Board Statement
Informed Consent Statement
Data Availability Statement
Conflicts of Interest
Nomenclature
| Bond number | |
| d | Maximum drop diameter (mm) |
| Elastic modulus (Pa) | |
| Surface elastic modulus (Nm) | |
| Viscous Modulus (Pa) | |
| Surface viscous modulus (Nm) | |
| H | Gap height (mm) |
| t | Time (s) |
| T | Substrate temperature (K) |
| V | Drop volume (μL) |
| Critical drop volume (μL) | |
| Shear strain (%) | |
| Phase angle | |
| Shear viscosity (Pa· s) | |
| Contact angle | |
| Solidification angle | |
| Density (kg m) | |
| Surface tension (mN m) | |
| Pure liquid surface tension (mN m) | |
| Yield stress (Pa) |
References
- Joshipura, I.D.; Ayers, H.R.; Majidi, C.; Dickey, M.D. Methods to pattern liquid metals. J. Mater. Chem. C 2015, 3, 3834–3841. [Google Scholar] [CrossRef]
- Lin, Y.; Cooper, C.; Wang, M.; Adams, J.J.; Genzer, J.; Dickey, M.D. Handwritten, Soft Circuit Boards and Antennas Using Liquid Metal Nanoparticles. Small 2015, 11, 6397–6403. [Google Scholar] [CrossRef] [PubMed]
- Han, Y.; Dong, J. Electrohydrodynamic (EHD) Printing of Molten Metal Ink for Flexible and Stretchable Conductor with Self-Healing Capability. Adv. Mater. Technol. 2018, 3, 1700268. [Google Scholar] [CrossRef]
- Van Meerbeek, I.M.; Mac Murray, B.C.; Kim, J.W.; Robinson, S.S.; Zou, P.X.; Silberstein, M.N.; Shepherd, R.F. Morphing Metal and Elastomer Bicontinuous Foams for Reversible Stiffness, Shape Memory, and Self-Healing Soft Machines. Adv. Mater. 2016, 28, 2801–2806. [Google Scholar] [CrossRef]
- Dickey, M.D. Emerging Applications of Liquid Metals Featuring Surface Oxides. ACS Appl. Mater. Interfaces 2014, 6, 18369–18379. [Google Scholar] [CrossRef] [PubMed] [Green Version]
- Yu, Y.Z.; Lu, J.R.; Liu, J. 3D printing for functional electronics by injection and package of liquid metals into channels of mechanical structures. Mater. Des. 2017, 122, 80–89. [Google Scholar] [CrossRef]
- Tang, S.Y.; Joshipura, I.D.; Lin, Y.; Kalantar-Zadeh, K.; Mitchell, A.; Khoshmanesh, K.; Dickey, M.D. Liquid-Metal Microdroplets Formed Dynamically with Electrical Control of Size and Rate. Adv. Mater. 2016, 28, 604–609. [Google Scholar] [CrossRef]
- Hutter, T.; Bauer, W.A.C.; Elliott, S.R.; Huck, W.T.S. Formation of Spherical and Non-Spherical Eutectic Gallium-Indium Liquid-Metal Microdroplets in Microfluidic Channels at Room Temperature. Adv. Funct. Mater. 2012, 22, 2624–2631. [Google Scholar] [CrossRef]
- Mohammed, M.G.; Dickey, M.D. Strain-controlled diffraction of light from stretchable liquid metal micro-components. Sens. Actuators A 2013, 193, 246–250. [Google Scholar] [CrossRef]
- Khan, M.R.; Trlica, C.; Dickey, M.D. Recapillarity: Electrochemically Controlled Capillary Withdrawal of a Liquid Metal Alloy from Microchannels. Adv. Funct. Mater. 2015, 25, 671–678. [Google Scholar] [CrossRef]
- Cumby, B.L.; Mast, D.B.; Tabor, C.E.; Dickey, M.D.; Heikenfeld, J. Robust Pressure-Actuated Liquid Metal Devices Showing Reconfigurable Electromagnetic Effects at GHz Frequencies. IEEE Trans. Microw. Theory Tech. 2015, 63, 3122–3130. [Google Scholar] [CrossRef]
- Paracha, K.N.; Butt, A.D.; Alghamdi, A.S.; Babale, S.A.; Soh, P.J. Liquid Metal Antennas: Materials, Fabrication and Applications. Sensors 2019, 20, 177. [Google Scholar] [CrossRef] [PubMed] [Green Version]
- Ladd, C.; So, J.H.; Muth, J.; Dickey, M.D. 3D Printing of Free Standing Liquid Metal Microstructures. Adv. Mater. 2013, 25, 5081–5085. [Google Scholar] [CrossRef] [PubMed]
- Zamora, R.; Ortega, J.H.; López, J.; Faura, F.; Hernández, J. Development of a Facility for Molten Metal Micro-droplets Generation. Application to Microfabrication by Deposition. Procedia Eng. 2015, 132, 110–117. [Google Scholar] [CrossRef] [Green Version]
- Dickey, M.D.; Chiechi, R.C.; Larsen, R.J.; Weiss, E.A.; Weitz, D.A.; Whitesides, G.M. Eutectic Gallium-Indium (EGaIn): A Liquid Metal Alloy for the Formation of Stable Structures in Microchannels at Room Temperature. Adv. Funct. Mater. 2008, 18, 1097–1104. [Google Scholar] [CrossRef]
- Mohammed, M.; Xenakis, A.; Dickey, M. Production of Liquid Metal Spheres by Molding. Metals 2014, 4, 465–476. [Google Scholar] [CrossRef]
- Larsen, R.J.; Dickey, M.D.; Whitesides, G.M.; Weitz, D.A. Viscoelastic properties of oxide-coated liquid metals. J. Rheol. 2009, 53, 1305–1326. [Google Scholar] [CrossRef]
- Panek, Z.; Fitzner, K. GIBBS free energy of formation of In2O3 and CaIn2O4. Thermochim. Acta 1986, 97, 171–176. [Google Scholar] [CrossRef]
- Suzuki, M.; Hayashi, T.; Oshima, M. XPS measurements of the thickness of thermal oxide on lead-indium alloys as a function of oxidation time and oxygen pressure. J. Phys. D Appl. Phys. 1986, 19, 463–468. [Google Scholar] [CrossRef]
- Allen, E.; Swensen, J. Directional Stiffness Control Through Geometric Patterning and Localized Heating of Field’s Metal Lattice Embedded in Silicone. Actuators 2018, 7, 80. [Google Scholar] [CrossRef] [Green Version]
- Xu, Q.; Oudalov, N.; Guo, Q.; Jaeger, H.M.; Brown, E. Effect of oxidation on the mechanical properties of liquid gallium and eutectic gallium-indium. Phys. Fluids 2012, 24, 063101. [Google Scholar] [CrossRef]
- Xu, Q.; Brown, E.; Jaeger, H.M. Impact dynamics of oxidized liquid metal drops. Phys. Rev. E 2013, 87, 043012. [Google Scholar] [CrossRef] [Green Version]
- Tanaka, T.; Nakamoto, M.; Oguni, R.; Lee, J.; Hara, S. Measurement of the surface tension of liquid Ga, Bi, Sn, In and Pb by the constrained drop method. Z. Met. Res. Adv. Tech. 2004, 95, 818–822. [Google Scholar] [CrossRef] [Green Version]
- Jeyakumar, M.; Hamed, M.; Shankar, S. Rheology of liquid metals and alloys. J. Non-Newton. Fluid Mech. 2011, 166, 831–838. [Google Scholar] [CrossRef]
- Lipchitz, A. Characterization of Eutectic In-Bi-Sn Alloy (Field’s Metal) for Use in Single and Two-Phase Liquid Metal Flow in Natural Circulation Systems. Ph.D. Thesis, University of Ontario, Oshawa, ON, Canada, 2015. [Google Scholar]
- Eustathopoulos, N. Wetting by Liquid Metals—Application in Materials Processing: The Contribution of the Grenoble Group. Metals 2015, 5, 350–370. [Google Scholar] [CrossRef] [Green Version]
- Liu, T.; Sen, P.; Kim, C.J. Characterization of Nontoxic Liquid-Metal Alloy Galinstan for Applications in Microdevices. J. Microelectromech. Syst. 2012, 21, 443–450. [Google Scholar] [CrossRef] [Green Version]
- Khan, M.R.; Eaker, C.B.; Bowden, E.F.; Dickey, M.D. Giant and switchable surface activity of liquid metal via surface oxidation. Proc. Natl. Acad. Sci. USA 2014, 111, 14047–14051. [Google Scholar] [CrossRef] [Green Version]
- Kramer, R.K.; Boley, J.W.; Stone, H.A.; Weaver, J.C.; Wood, R.J. Effect of Microtextured Surface Topography on the Wetting Behavior of Eutectic Gallium–Indium Alloys. Langmuir 2014, 30, 533–539. [Google Scholar] [CrossRef]
- Boley, J.W.; White, E.L.; Chiu, G.T.C.; Kramer, R.K. Direct Writing of Gallium-Indium Alloy for Stretchable Electronics. Adv. Funct. Mater. 2014, 24, 3501–3507. [Google Scholar] [CrossRef]
- Wang, L.; Jing, L. Printing low-melting-point alloy ink to directly make a solidified circuit or functional device with a heating pen. Proc. R. Soc. A Math. Phys. Eng. Sci. 2014, 470, 20140609. [Google Scholar] [CrossRef]
- Wu, W.; Chow, L.; Wang, C.; Su, M.; Kizito, J. Jet impingement heat transfer using a Field’s alloy nanoparticle—HFE7100 slurry. Int. J. Heat Mass Transf. 2014, 68, 357–365. [Google Scholar] [CrossRef]
- Yu, Q.; Zhang, Q.; Zong, J.; Liu, S.; Wang, X.; Wang, X.; Zheng, H.; Cao, Q.; Zhang, D.; Jiang, J. Identifying surface structural changes in a newly-developed Ga-based alloy with melting temperature below 10C. Appl. Surf. Sci. 2019, 492, 143–149. [Google Scholar] [CrossRef] [Green Version]
- Brooks, R.F.; Dinsdale, A.T.; Quested, P.N. The measurement of viscosity of alloys—A review of methods, data and models. Meas. Sci. Technol. 2005, 16, 354–362. [Google Scholar] [CrossRef]
- Malik, M.M.; Jeyakumar, M.; Hamed, M.S.; Walker, M.J.; Shankar, S. Rotational rheometry of liquid metal systems: Measurement geometry selection and flow curve analysis. J. Non-Newton. Fluid Mech. 2010, 165, 733–742. [Google Scholar] [CrossRef]
- Yuan, Y.; Lee, T.R. Contact Angle and Wetting Properties. In Surface Science Techniques; Springer: Berlin/Heidelberg, Germany, 2013; Volume 51, pp. 3–34. [Google Scholar] [CrossRef]
- Stalder, A.F.; Melchior, T.; Müller, M.; Sage, D.; Blu, T.; Unser, M. Low-bond axisymmetric drop shape analysis for surface tension and contact angle measurements of sessile drops. Colloids Surf. A 2010, 364, 72–81. [Google Scholar] [CrossRef] [Green Version]
- Neeson, M.J.; Chan, D.Y.C.; Tabor, R.F. Compound Pendant Drop Tensiometry for Interfacial Tension Measurement at Zero Bond Number. Langmuir 2014, 30, 15388–15391. [Google Scholar] [CrossRef]
- Berry, J.D.; Neeson, M.J.; Dagastine, R.R.; Chan, D.Y.; Tabor, R.F. Measurement of surface and interfacial tension using pendant drop tensiometry. J. Colloid Interface Sci. 2015, 454, 226–237. [Google Scholar] [CrossRef]
- Tavakoli, F.; Davis, S.H.; Kavehpour, H.P. Spreading and Arrest of a Molten Liquid on Cold Substrates. Langmuir 2014, 30, 10151–10155. [Google Scholar] [CrossRef]
- Saad, S.M.; Neumann, A.W. Axisymmetric Drop Shape Analysis (ADSA): An Outline. Adv. Colloid Interface Sci. 2016, 238, 62–87. [Google Scholar] [CrossRef]
- Del Rio, O.; Neumann, A. Axisymmetric Drop Shape Analysis: Computational Methods for the Measurement of Interfacial Properties from the Shape and Dimensions of Pendant and Sessile Drops. J. Colloid Interface Sci. 1997, 196, 136–147. [Google Scholar] [CrossRef] [Green Version]
- Hoorfar, M.; Neumann, A.W. Recent progress in Axisymmetric Drop Shape Analysis (ADSA). Adv. Colloid Interface Sci. 2006, 121, 25–49. [Google Scholar] [CrossRef]
- Kwok, D.; Neumann, A. Contact angle measurement and contact angle interpretation. Adv. Colloid Interface Sci. 1999, 81, 167–249. [Google Scholar] [CrossRef]
- Li, R.; Ashgriz, N.; Chandra, S.; Andrews, J.R. Solidification contact angles of molten droplets deposited on solid surfaces. J. Mater. Sci. 2007, 42, 9511–9523. [Google Scholar] [CrossRef]
- Powell, C. NIST X-ray Photoelectron Spectroscopy Database 20, v4.1. J. Electron. Spectrosc. 2012, 185, 1–3. [Google Scholar] [CrossRef]
- Hollinger, G.; Skheyta-Kabbani, R.; Gendry, M. Oxides on GaAs and InAs surfaces: An X-ray-photoelectron-spectroscopy study of reference compounds and thin oxide layers. Phys. Rev. B 1994, 49, 11159–11167. [Google Scholar] [CrossRef]
- Paparazzo, E.; Moretto, L.; D’Amato, C.; Palmieri, A. X-ray photoemission spectroscopy and scanning Auger microscopy studies of a Roman lead pipe ‘fistula’. Surf. Interface Anal. 1995, 23, 69–76. [Google Scholar] [CrossRef]
- Dharmadhikari, V.S.; Sainkar, S.; Badrinarayan, S.; Goswami, A. Characterisation of thin films of bismuth oxide by X-ray photoelectron spectroscopy. J. Electron Spectrosc. Relat. Phenom. 1982, 25, 181–189. [Google Scholar] [CrossRef]
- Hewitt, R.W.; Winograd, N. Oxidation of polycrystalline indium studied by x-ray photoelectron spectroscopy and static secondary ion mass spectroscopy. J. Appl. Phys. 1980, 51, 2620–2624. [Google Scholar] [CrossRef]
- Ansell, R.; Dickinson, T.; Povey, A.; Sherwood, P. X-ray Photoelectron Spectroscopic Studies of Tin Electrodes after Polarization in Sodium Hydroxide Solution. J. Electrochem. Soc. 1977, 124, 1360. [Google Scholar] [CrossRef]
- Suzer, S.; Voscoboinikov, T.; Hallam, K.R.; Allen, G.C. Electron spectroscopic investigation of Sn coatings on glasses. Fresenius’ J. Anal. Chem. 1996, 355, 654–656. [Google Scholar] [CrossRef]
- Noor, E.E.M.; Sharif, N.M.; Yew, C.K.; Ariga, T.; Ismail, A.B.; Hussain, Z. Wettability and strength of In–Bi–Sn lead-free solder alloy on copper substrate. J. Alloys Compd. 2010, 507, 290–296. [Google Scholar] [CrossRef]
- Benet, E.; Zhu, H.; Vernerey, F.J. Interplay of elastic instabilities and viscoelasticity in the finite deformation of thin membranes. Phys. Rev. E 2019, 99, 042502. [Google Scholar] [CrossRef] [PubMed] [Green Version]
- Shaikh, K.A.; Li, S.; Liu, C. Development of a Latchable Microvalve Employing a Low-Melting-Temperature Metal Alloy. J. Microelectromech. Syst. 2008, 17, 1195–1203. [Google Scholar] [CrossRef]




) Field’s metal. (
) EGaIn.
) Field’s metal. (
) EGaIn.











| Oscillatory Sweep | |
|---|---|
| Amplitude sweep | Frequency: 1, 10 Hz |
| Strain range: from to % strain | |
| Torsional Flow | |
| Peak hold | Time: 60 s |
| Shear rate peaks: , , , and s | |
| Steady flow | Sampling period: 5 s (20 points per decade) |
| Shear rate range: from 10 to 10 s | |
| Flow ramp | Duration: 500 s |
| Shear rate range: from to s | |
| Bi 4f7 (eV) | In 3d5 (eV) | Sn 3d5 (eV) | |||
|---|---|---|---|---|---|
| Bi (156.93 [46]) | 156.84 | In (444.00 [47]) | 443.97 | Sn (485.00 [48]) | 485.00 |
| Bi2O3 (159.80 [49]) | 159.81 | In2O3 (444.90 [50]) | 445.06 | SnO (486.00 [51]) | 485.99 |
| SnO2 (487.30 [52]) | 487.15 |
| Field’s Metal | Specific Heat (J kg K) | Melting Point (K) | Latent Heat (kJ kg) | |
|---|---|---|---|---|
| Solid | 287.0 | 333.71 | 27.115 | |
| Liquid | 217.6 | 333.71 | - |
| Field’s Metal | EGaIn | |||
|---|---|---|---|---|
| Experiments | Experiments | Dickey [15] | Xu [21] | |
| (Pa) | 5358 ± 147 | 5548 ± 141 | 5000 … 6000 | - |
| (Pa) | 84 ± 6 | 98 ± 14 | - | - |
| (N m) | 16.07 ± 0.44 | 16.64 ± 0.42 | 13.3 ± 2.6 | - |
| (N m) | 0.25 ± 0.02 | 0.29 ± 0.04 | - | - |
| 57 ± 5 | 87 ± 5 | - | 108 ± 9 | |
| Field’s Metal | EGaIn | |||||||
|---|---|---|---|---|---|---|---|---|
| Solidification Angle θs | Contact Angle θc (358 K) | Contact Angle θc (298 K) | ||||||
| Material | Ra (μm) | O2 | N2 | O2 | N2 | O2 | N2 | O2 Boley [30] |
| Glass | 0.017 | 130.5 ± 0.9 | 136.4 ± 1.8 | 132 ± 0.5 | 138.8 ± 1.9 | 128.5 ± 1.8 | 139.4 ± 1.4 | 128.6 ± 1.3 |
| AISI 316L | 0.032 | 131.2 ± 1.4 | 139.3 ± 0.7 | 133.5 ± 0.7 | 141.1 ± 0.9 | 133.8 ± 0.1 | 137.9 ± 0.4 | - |
| PTFE | 0.431 | 137.5 ± 0.2 | 139.2 ± 0.3 | 139.3 ± 0.7 | 140.1 ± 0.3 | 132.2 ± 1.2 | 134.5 ± 1.2 | - |
| Resin | 4.864 | 138 ± 1.6 | 141 ± 0.3 | 141.1 ± 0.7 | 143.4 ± 0.1 | 152.1 ± 0.8 | 156 ± 0.2 | - |
Publisher’s Note: MDPI stays neutral with regard to jurisdictional claims in published maps and institutional affiliations. |
© 2021 by the authors. Licensee MDPI, Basel, Switzerland. This article is an open access article distributed under the terms and conditions of the Creative Commons Attribution (CC BY) license (https://creativecommons.org/licenses/by/4.0/).
Share and Cite
Zamora, R.; Martínez-Pastor, J.; Faura, F. Thermal, Viscoelastic and Surface Properties of Oxidized Field’s Metal for Additive Microfabrication. Materials 2021, 14, 7392. https://doi.org/10.3390/ma14237392
Zamora R, Martínez-Pastor J, Faura F. Thermal, Viscoelastic and Surface Properties of Oxidized Field’s Metal for Additive Microfabrication. Materials. 2021; 14(23):7392. https://doi.org/10.3390/ma14237392
Chicago/Turabian StyleZamora, Rosendo, Juan Martínez-Pastor, and Félix Faura. 2021. "Thermal, Viscoelastic and Surface Properties of Oxidized Field’s Metal for Additive Microfabrication" Materials 14, no. 23: 7392. https://doi.org/10.3390/ma14237392
APA StyleZamora, R., Martínez-Pastor, J., & Faura, F. (2021). Thermal, Viscoelastic and Surface Properties of Oxidized Field’s Metal for Additive Microfabrication. Materials, 14(23), 7392. https://doi.org/10.3390/ma14237392

