Study on Durability and Pore Characteristics of Concrete under Salt Freezing Environment
Abstract
:1. Introduction
2. Test Scheme
2.1. Test Materials
2.2. Test Scheme and Concrete Durability Processing
2.3. The Data Processing of ICT
3. Test Results and Analysis
3.1. Effects of Different Salt Solutions on Frost Resistance Durability and Mechanical Properties of Concrete
3.2. Two-Dimensional Pore Structure Characteristics
3.3. Three-Dimensional Pore Structure Characteristics
3.4. Effect of Salt Solution on the Pore Structure of Concrete
3.5. Effect of Pore Change on the Compressive Strength of Concrete
4. Conclusions
Author Contributions
Funding
Institutional Review Board Statement
Informed Consent Statement
Data Availability Statement
Acknowledgments
Conflicts of Interest
References
- Zhang, W.; Zhang, N.; Zhou, Y. Effect of flexural impact on freeze–thaw and deicing salt resistance of steel fiber reinforced concrete. Mater. Struct. 2016, 49, 5161–5168. [Google Scholar] [CrossRef]
- Kim, J.; Moon, J.-H.; Shim, J.W.; Sim, J.; Lee, H.-G.; Zi, G. Durability properties of a concrete with waste glass sludge exposed to freeze-and-thaw condition and de-icing salt. Constr. Build. Mater. 2014, 66, 398–402. [Google Scholar] [CrossRef]
- Shi, X.; Fay, L.; Peterson, M.M.; Yang, Z. Freeze-thaw damage and chemical change of a portland cement concrete in the presence of diluted deicers. Mater. Struct. 2009, 43, 933–946. [Google Scholar] [CrossRef]
- Yanaka, M.; Ghasemi, S.H.; Nowak, A.S. Reliability-based and life-cycle cost-oriented design recommendations for prestressed concrete bridge girders. Struct. Concr. 2016, 17, 836–847. [Google Scholar] [CrossRef]
- Ghasemi, S.H.; Nowak, A.S. Reliability analysis of circular tunnel with consideration of the strength limit state. Geomech. Eng. 2018, 15, 879–888. [Google Scholar] [CrossRef]
- Power, T.C. A working hypothesis for further studies of frost resistance of concrete. ACI J. Proc. 1945, 41, 245–272. [Google Scholar]
- Power, T.C.; Helmuth, R.A. Theory of volume changes in hardened portland-cement paste during freezing. Highw. Res. Board Proc. 1953, 32, 285–297. [Google Scholar]
- Cai, H.; Liu, X. Freeze-thaw durability of concrete: Ice formation process in pores. Cem. Concr. Res. 1998, 28, 1281–1287. [Google Scholar] [CrossRef]
- Harnik, A.B.; Meier, U.; Roösli, A. Combined influence of freezing and deicing salt on concrete—Physical Aspects. Durab. Build. Mater. Compon. 1980, 1200980, 474–484. [Google Scholar] [CrossRef] [Green Version]
- Zheng, K.; Liu, H.S.; Feng, L.C.; Xie, N. Effects of calcium-based deicing chemicals on the durability of concrete products. J. Mater. Civil. Eng. 2021, 33, 04021321. [Google Scholar] [CrossRef]
- Yang, Q.B. Salt freezing failure mechanism of concrete (I)—capillary water saturation and freezing pressure. J. Build. Mater. 2007, 5, 522–527. [Google Scholar]
- Yang, Q.B. One of mechanisms on the deicer-frost scaling of concrete (II): Degree of saturation and ice-formation pressure during freezing-thawing cycles. J. Build. Mater. 2012, 6, 741–746. [Google Scholar]
- Lai, Y.; Liu, Y.; Wang, P.; Ma, D.X.; Guo, B.; Sun, K.; Hou, S. Effect of aircraft deicer on deicer-scaling resistance and frost resistance of airport pavement concrete. J. Phys. Conf. Ser. 2020, 1605, 012178. [Google Scholar] [CrossRef]
- Cao, R.S.; Tian, J.L. Effects of different deicing salts on concrete durability under freeze-thaw environment. B. Chin. Ceram. Soc. 2013, 32, 2632–2636. [Google Scholar]
- Yang, X.M.; Sun, G.N. Experimental study on freeze-thaw damage depth of concrete in deicing salt environment. J. Nat. Dis. 2020, 29, 49–56. [Google Scholar]
- Jang, J.-K.; Kim, H.-G.; Kim, J.-H.; Ryou, J.-S. The evaluation of damage effects on MgO added concrete with slag cement exposed to calcium chloride deicing salt. Materials 2018, 11, 793. [Google Scholar] [CrossRef] [Green Version]
- Sumsion, E.S..; Guthrie, W.S. Physical and Chemical Effects of Deicers on Concrete Pavement: Literature Review; Technical Report No. UT-13.09; Utah Department of Transportation Research Division: Salt Lake City, UT, USA,, 2013. [Google Scholar]
- American Association of State Highway and Transportation Officials. Standard method of test for quantifying calcium oxychloride formation potential of cementitious pastes exposed to deicing salts; AASHTO: Washington, DC, USA, 2020; Volume 365. [Google Scholar]
- Berntsson, L.; Chandra, S. Damage of concrete sleepers by calcium chloride. Cem. Concr. Res. 1982, 12, 87–92. [Google Scholar] [CrossRef]
- Shi, X.; Fay, L.; Peterson, M.M.; Berry, M.; Mooney, M. A FESEM/EDX investigation into how continuous deicer exposure affects the chemistry of Portland cement concrete. Constr. Build. Mater. 2011, 25, 957–966. [Google Scholar] [CrossRef]
- Bochen, J.; Słomka-Słupik, B.; Ślusarek, J. Experimental study on salt crystallization in plasters subjected to simulate groundwater capillary rise. Constr. Build. Mater. 2021, 308, 125039. [Google Scholar] [CrossRef]
- Azevedo, A.; Cecchin, D.; Carmo, D.; Silva, F.; Campos, C.; Shtrucka, T.; Marvila, M.; Monteiro, S. Analysis of the compactness and properties of the hardened state of mortars with recycling of construction and demolition waste (CDW). J. Mater. Res. Technol. 2020, 9, 5942–5952. [Google Scholar] [CrossRef]
- Yang, H.J.; Lee, C.-H.; Shim, S.-H.; Kim, J.-H.J.; Lee, H.-J.; Park, J. Performance evaluation of cement paste incorporating ferro-nickel slag powder under elevated temperatures. Case Stud. Constr. Mater. 2021, 15, e00727. [Google Scholar] [CrossRef]
- Yi, Y.; Zhu, D.; Guo, S.; Zhang, Z.; Shi, C. A review on the deterioration and approaches to enhance the durability of concrete in the marine environment. Cem. Concr. Compos. 2020, 113, 103695. [Google Scholar] [CrossRef]
- Ming, F.; Du, C.C.; Liu, Y.H.; Shi, X.Y.; Li, D.Q. Concrete durability under different circumstances based on multi-factor effects. Sci. Cold. Arid. Reg. 2017, 9, 384–391. [Google Scholar] [CrossRef]
- Dave, N.; Misra, A.K.; Srivastava, A.; Sharma, A.K.; Kaushik, S.K. Study on quaternary concrete micro-structure, strength, durability considering the influence of multi-factors. Constr. Build. Mater. 2017, 139, 447–457. [Google Scholar] [CrossRef]
- Lyu, Z.; Shen, A.; Wang, W.; Lin, S.; Guo, Y.; Meng, W. Salt frost resistance and micro characteristics of polynary blended concrete using in frost areas. Cold Reg. Sci. Technol. 2021, 191, 103374. [Google Scholar] [CrossRef]
- Richardson, A.; Coventry, K.; Bacon, J. Freeze/thaw durability of concrete with recycled demolition aggregate compared to virgin aggregate concrete. J. Clean. Prod. 2011, 19, 272–277. [Google Scholar] [CrossRef]
- Sabir, B. Mechanical properties and frost resistance of silica fume concrete. Cem. Concr. Compos. 1997, 19, 285–294. [Google Scholar] [CrossRef]
- Wang, D.; Zhou, X.; Meng, Y.; Chen, Z. Durability of concrete containing fly ash and silica fume against combined freezing-thawing and sulfate attack. Constr. Build. Mater. 2017, 147, 398–406. [Google Scholar] [CrossRef]
- Gokce, A.; Nagataki, S.; Saeki, T.; Hisada, M. Freezing and thawing resistance of air-entrained concrete incorporating recycled coarse aggregate: The role of air content in demolished concrete. Cem. Concr. Res. 2004, 34, 799–806. [Google Scholar] [CrossRef]
- Yu, H.; Ma, H.; Yan, K. An equation for determining freeze-thaw fatigue damage in concrete and a model for predicting the service life. Constr. Build. Mater. 2017, 137, 104–116. [Google Scholar] [CrossRef]
- Chen, S.; Ren, J.; Song, Y.; Li, Q.; Sun, J.; Che, Y.; Chen, J. Salt Freeze-Thaw damage characteristics of concrete based on computed tomography. Teh. Vjesn.—Tech. Gaz. 2019, 26, 1753–1763. [Google Scholar] [CrossRef]
- Li, Y.; Li, Y.; Guan, Z.; Ding, Q. Elastic modulus damage model of cement mortar under salt freezing circumstance based on X-ray CT scanning. Constr. Build. Mater. 2018, 191, 1201–1209. [Google Scholar] [CrossRef]
- Yuan, J.; Du, Z.; Wu, Y.; Xiao, F. Salt-Frost Resistance Performance of airfield concrete based on meso-structural parameters. J. Mater. Civ. Eng. 2019, 31, 04019196. [Google Scholar] [CrossRef]
- Yuan, J.; Wu, Y.; Zhang, J. Characterization of air voids and frost resistance of concrete based on industrial computerized tomographical technology. Constr. Build. Mater. 2018, 168, 975–983. [Google Scholar] [CrossRef]
- Shields, Y.; Garboczi, E.; Weiss, J.; Farnam, Y. Freeze-thaw crack determination in cementitious materials using 3D X-ray computed tomography and acoustic emission. Cem. Concr. Compos. 2018, 89, 120–129. [Google Scholar] [CrossRef]
- Fukuda, D.; Maruyama, M.; Nara, Y.; Hayashi, D.; Ogawa, H.; Kaneko, K. Observation of fracture sealing in high-strength and ultra-low-permeability concrete by micro-focus X-ray CT and SEM/EDX. Int. J. Fract. 2014, 188, 159–171. [Google Scholar] [CrossRef] [Green Version]
- China Standards. Standard for Test Methods of Long-Term Performance and Durability of Ordinary Concrete; China Standards Press: Beijing, China, 2009; GB/T 50082-2009. [Google Scholar]
- China Standards. Standard for Test Methods of Mechanical Properties of Ordinary Concrete; China Standards Press: Beijing, China, 2016; GB/T 50081-2016. [Google Scholar]
- Ghasemi, S.H.; Lee, J.Y. Reliability-based indicator for post-earthquake traffic flow capacity of a highway bridge. Struct. Saf. 2021, 89, 102039. [Google Scholar] [CrossRef]
- Pruckner, F.; Gjørv, O. Effect of CaCl2 and NaCl additions on concrete corrosivity. Cem. Concr. Res. 2004, 34, 1209–1217. [Google Scholar] [CrossRef]
- Zeng, Q.; Li, L.; Pang, X.; Gui, Q.; Li, K. Freeze–thaw behavior of air entrained cement paste saturated with 10wt.% NaCl solution. Cold Reg. Sci. Technol. 2014, 102, 21–31. [Google Scholar] [CrossRef]
- Chatterji, S. Mechanism of the CaCl2 attack on portland cement concrete. Cem. Concr. Res. 1978, 8, 461–467. [Google Scholar] [CrossRef]
- Farnam, Y.; Dick, S.; Wiese, A.; Davis, J.; Bentz, D.; Weiss, J. The influence of calcium chloride deicing salt on phase changes and damage development in cementitious materials. Cem. Concr. Compos. 2015, 64, 1–15. [Google Scholar] [CrossRef] [PubMed] [Green Version]
- Giebson, C.; Seyfarth, K.; Stark, J. Influence of acetate and formate-based deicers on ASR in airfield concrete pavements. Cem. Concr. Res. 2010, 40, 537–545. [Google Scholar] [CrossRef]
- Smith, S.H.; Qiao, C.; Suraneni, P.; Kurtis, K.E.; Weiss, W.J. Service-life of concrete in freeze-thaw environments: Critical degree of saturation and calcium oxychloride formation. Cem. Concr. Res. 2019, 122, 93–106. [Google Scholar] [CrossRef]











| Scheme | Cement/kg | Fly Ash/kg | Sand/kg | Stone/kg | Water/kg | Additive/kg |
|---|---|---|---|---|---|---|
| C30 | 270 | 90 | 854 | 1004 | 165 | 6.3 |
| Serial Number | W1-0 | W-25 | W-50 | N2-0 | N-25 | N-50 | C3-0 | C-25 | C-50 | K4-0 | K-25 | K-50 |
|---|---|---|---|---|---|---|---|---|---|---|---|---|
| Average porosity/% | 0.38 | 0.48 | 0.57 | 0.41 | 0.57 | 0.80 | 0.42 | 0.56 | 0.69 | 0.37 | 0.48 | 0.55 |
| Variance | 0.010 | 0.009 | 0.009 | 0.034 | 0.047 | 0.071 | 0.021 | 0.059 | 0.056 | 0.033 | 0.032 | 0.030 |
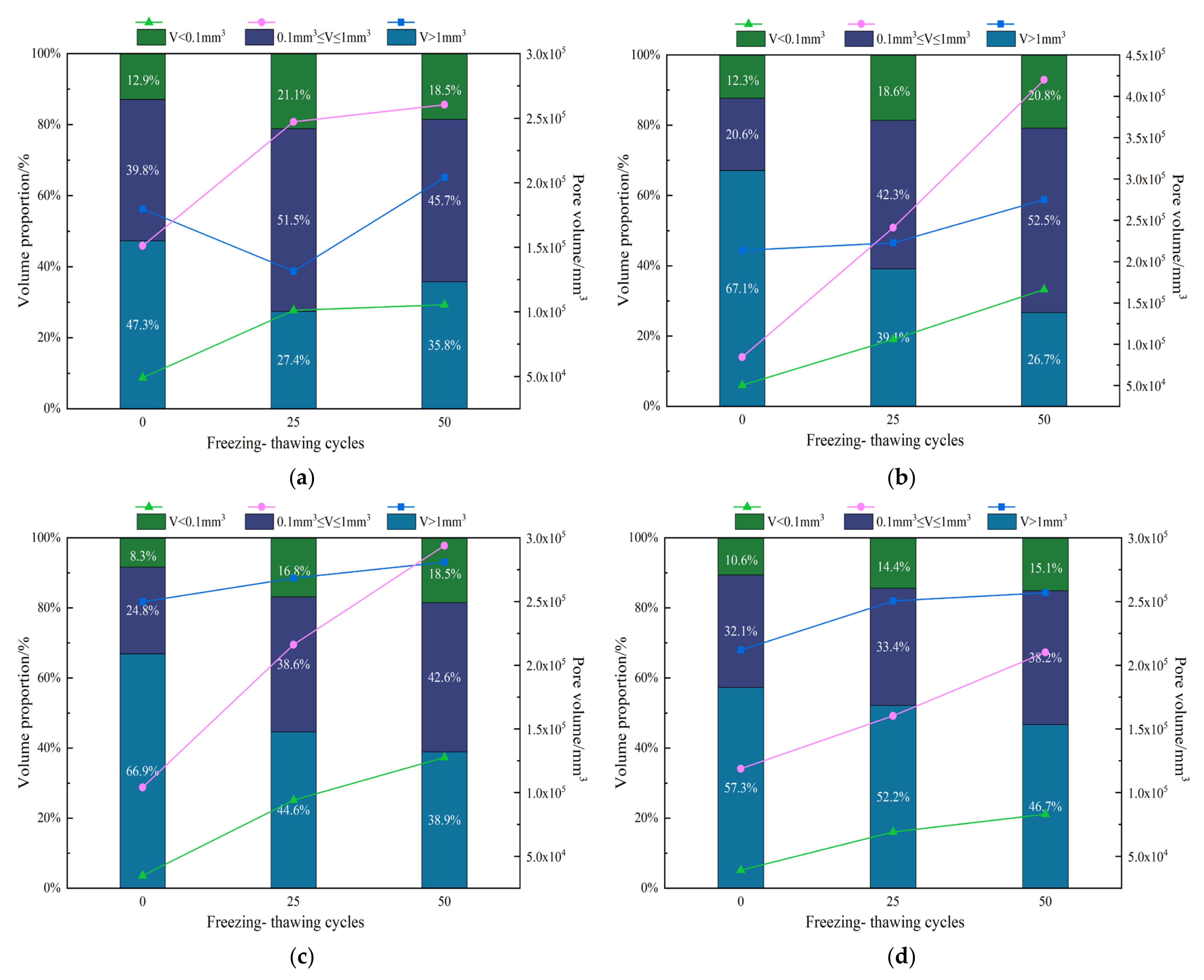
| Environment | Times of Freezing–Thawing | Volume Type, Quantity, and Volume Proportion of Pores | Numbers of Pores | Porosity/% | |||||
|---|---|---|---|---|---|---|---|---|---|
| V > 1 mm3 | Volume Proportion | 0.1 mm3 ≤ V ≤ 1 mm3 | Volume Proportion | V < 0.1 mm3 | Volume Proportion | ||||
| Water | 0 | 193 | 47.3% | 2554 | 39.8% | 7950 | 12.9% | 10,697 | 0.38 |
| 25 | 219 | 27.4% | 4345 | 51.5% | 16,785 | 21.1% | 21,349 | 0.48 | |
| 50 | 232 | 35.8% | 4637 | 45.7% | 18,578 | 18.5% | 23,447 | 0.57 | |
| NaCl | 0 | 171 | 67.1% | 2426 | 20.6% | 7322 | 12.3% | 9919 | 0.41 |
| 25 | 195 | 39.1% | 4608 | 42.3% | 20152 | 18.6% | 24,955 | 0.57 | |
| 50 | 211 | 26.7% | 5456 | 52.5% | 25,831 | 20.8% | 31,498 | 0.80 | |
| CaCl2 | 0 | 126 | 66.9% | 2709 | 24.8% | 9301 | 8.3% | 12,136 | 0.42 |
| 25 | 145 | 44.6% | 4211 | 38.6% | 17825 | 16.8% | 22,181 | 0.56 | |
| 50 | 157 | 38.9% | 5186 | 42.6% | 21,028 | 18.5% | 26,371 | 0.69 | |
| CH3COOK | 0 | 205 | 57.3% | 2763 | 32.1% | 8584 | 10.6% | 11,552 | 0.37 |
| 25 | 209 | 52.2% | 3779 | 33.4% | 15,248 | 14.4% | 19,236 | 0.48 | |
| 50 | 220 | 46.7% | 4443 | 38.2% | 16,632 | 15.1% | 21,295 | 0.55 | |
Publisher’s Note: MDPI stays neutral with regard to jurisdictional claims in published maps and institutional affiliations. |
© 2021 by the authors. Licensee MDPI, Basel, Switzerland. This article is an open access article distributed under the terms and conditions of the Creative Commons Attribution (CC BY) license (https://creativecommons.org/licenses/by/4.0/).
Share and Cite
Zheng, X.; Liu, F.; Luo, T.; Duan, Y.; Yi, Y.; Hua, C. Study on Durability and Pore Characteristics of Concrete under Salt Freezing Environment. Materials 2021, 14, 7228. https://doi.org/10.3390/ma14237228
Zheng X, Liu F, Luo T, Duan Y, Yi Y, Hua C. Study on Durability and Pore Characteristics of Concrete under Salt Freezing Environment. Materials. 2021; 14(23):7228. https://doi.org/10.3390/ma14237228
Chicago/Turabian StyleZheng, Xinchao, Fang Liu, Tao Luo, Yanfu Duan, Yu Yi, and Cheng Hua. 2021. "Study on Durability and Pore Characteristics of Concrete under Salt Freezing Environment" Materials 14, no. 23: 7228. https://doi.org/10.3390/ma14237228
APA StyleZheng, X., Liu, F., Luo, T., Duan, Y., Yi, Y., & Hua, C. (2021). Study on Durability and Pore Characteristics of Concrete under Salt Freezing Environment. Materials, 14(23), 7228. https://doi.org/10.3390/ma14237228

