Influence of Mo Segregation at Grain Boundaries on the High Temperature Creep Behavior of Ni-Mo Alloys: An Atomistic Study
Abstract
1. Introduction
2. Simulation Methods and Parameters
3. Results and Discussion
3.1. Effect of Segregation on Creep Behavior
3.2. Creep Mechanism Analysis
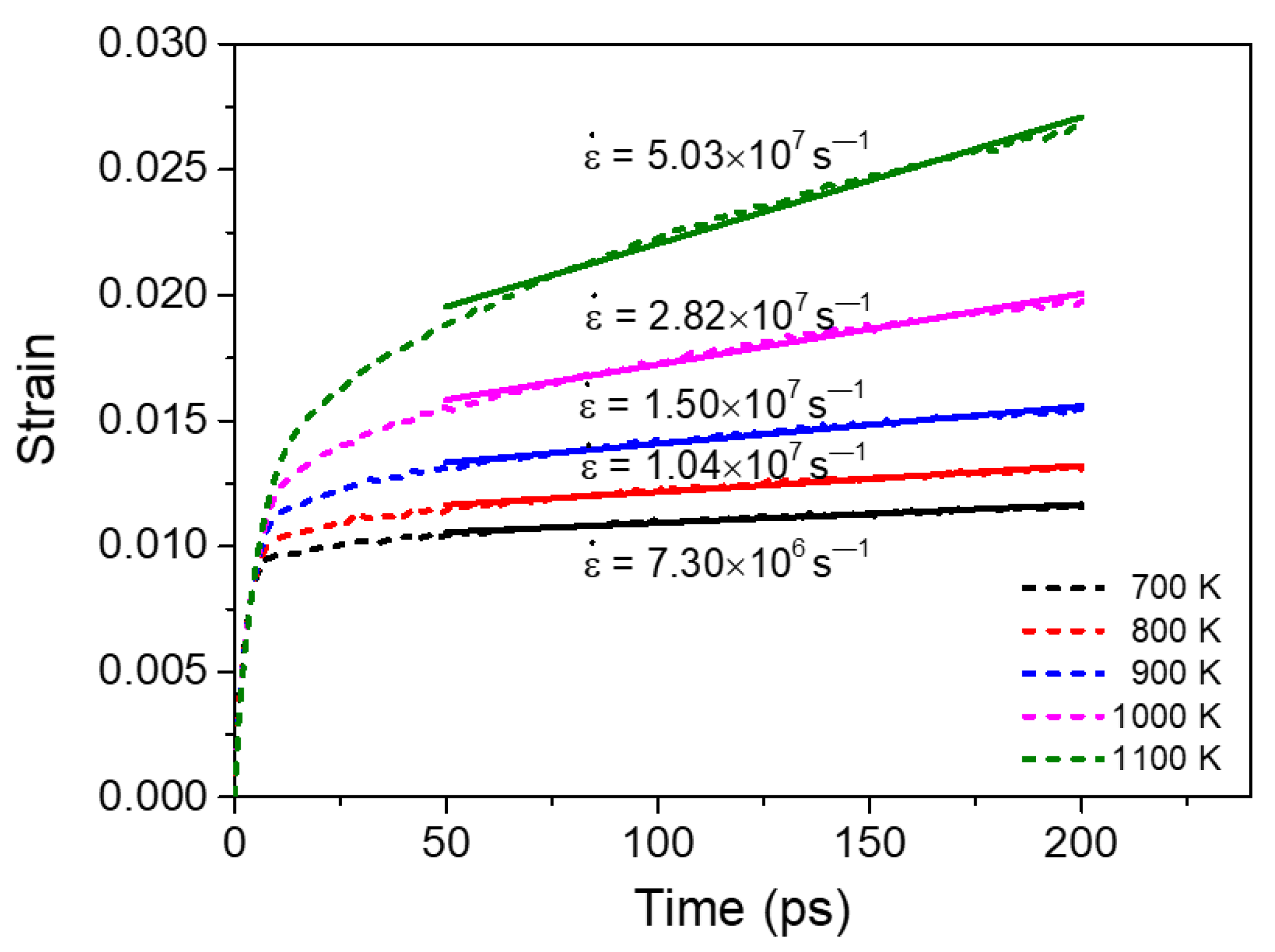
3.3. Influences of Grain Size and Temperature
3.4. Effect of Segregated Atoms Concentration at GBs
4. Conclusions
- (1)
- The segregated Ni-Mo sample corresponds to a higher activation energy than the pure Ni sample, which makes the creep of the NC Ni more difficult to occur and thus enhances the creep resistance of the material;
- (2)
- For both the pure Ni sample and segregated Ni-Mo sample, the creep mechanisms are the diffusion, GB slip, and dislocation activity in the low, medium, and high stress regimes, respectively;
- (3)
- The segregation of Mo atoms at GBs has little effect on the creep processes dominated by the lattice diffusion, but significantly slows down the creep processes dominated by the GB behavior and dislocation activity.
Author Contributions
Funding
Institutional Review Board Statement
Informed Consent Statement
Data Availability Statement
Conflicts of Interest
References
- Schiøtz, J.; Jacobsen, K.W. A Maximum in the strength of nanocrystalline copper. Science 2003, 301, 1357–1359. [Google Scholar] [CrossRef] [PubMed]
- Chen, J.; Lu, L.; Lu, K. Hardness and strain rate sensitivity of nanocrystalline Cu. Scr. Mater. 2006, 54, 1913–1918. [Google Scholar] [CrossRef]
- Zheng, Y.G.; Lu, J.; Zhang, H.W.; Chen, Z. Strengthening and toughening by interface-mediated slip transfer reaction in nanotwinned copper. Scr. Mater. 2009, 60, 508–511. [Google Scholar] [CrossRef]
- Zheng, Y.G.; Zhao, Y.T.; Ye, H.F.; Zhang, H.W. Size-dependent elastic moduli and vibrational properties of fivefold twinned copper nanowires. Nanotechnology 2014, 25, 315701. [Google Scholar] [CrossRef] [PubMed]
- Lu, L.; Chen, X.; Huang, X.; Lu, K. Revealing the maximum strength in nanotwinned copper. Science 2009, 323, 607–610. [Google Scholar] [CrossRef]
- Xiong, Z.; Zhong, L.; Wang, H.; Li, X. Structural defects, mechanical behaviors and properties of two-dimensional materials. Materials 2021, 14, 1192. [Google Scholar] [CrossRef]
- Li, X.; Lu, L.; Li, J.; Zhang, X.; Gao, H. Mechanical properties and deformation mechanisms of gradient nanostructured metals and alloys. Nat. Rev. Mater. 2020, 5, 706–723. [Google Scholar] [CrossRef]
- Yamamoto, Y.; Brady, M.P.; Lu, Z.P.; Maziasz, P.J.; Liu, C.T.; Pint, B.A.; More, K.L.; Meyer, H.M.; Payzant, E.A. Creep-resistant, Al2O3-forming austenitic stainless steels. Science 2007, 316, 433–436. [Google Scholar] [CrossRef]
- Yang, X.S.; Wang, Y.J.; Zhai, H.R.; Wang, G.Y.; Su, Y.J.; Dai, L.H.; Ogata, S.; Zhang, T.Y. Time-, stress-, and temperature-dependent deformation in nanostructured copper: Creep tests and simulations. Acta Mater. 2016, 94, 191–206. [Google Scholar] [CrossRef]
- Nie, K.; Wu, W.P.; Zhang, X.L.; Yang, S.M. Molecular dynamics study on the grain size, temperature, and stress dependence of creep behavior in nanocrystalline nickel. J. Mater. Sci. 2017, 52, 2180–2191. [Google Scholar] [CrossRef]
- Meraj, M.; Pal, S. The effect of temperature on creep behaviour of porous (1 at.%) nanocrystalline nickel. Trans. Indian Inst. Met. 2015, 69, 277–282. [Google Scholar] [CrossRef]
- Stevens, R.N. Grain-boundary sliding and diffusion creep in polycrystalline solids. Philos. Mag. 1971, 23, 265–283. [Google Scholar] [CrossRef]
- Coble, R.L. A model for boundary diffusion controlled creep in polycrystalline materials. J. Appl. Phys. 1963, 34, 1679–1682. [Google Scholar] [CrossRef]
- Nabarro, F.R.N. Steady-state diffusional creep. Philos. Mag. 1967, 16, 231–237. [Google Scholar] [CrossRef]
- Bhatia, M.A.; Mathaudhu, S.N.; Solanki, K.N. Atomic-scale investigation of creep behavior in nanocrystalline Mg and Mg-Y alloys. Acta Mater. 2015, 99, 382–391. [Google Scholar] [CrossRef]
- Millett, P.C.; Desai, T.; Yamakov, V.; Wolf, D. Atomistic simulations of diffusional creep in a nanocrystalline body-centered cubic material. Acta Mater. 2008, 56, 3688–3698. [Google Scholar] [CrossRef]
- Ford, J.M.; Wheeler, J.; Movchan, A. Computer simulation of grain-boundary diffusion creep. Acta Mater. 2002, 50, 3941–3955. [Google Scholar] [CrossRef]
- Yamakov, V.; Wolf, D.; Phillpot, S.R.; Gleiter, H. Grain-boundary diffusion creep in nanocrystalline palladium by molecular-dynamics simulation. Acta Mater. 2002, 50, 61–73. [Google Scholar] [CrossRef]
- Wang, Y.J.; Ishii, A.; Ogata, S. Transition of creep mechanism in nanocrystalline metals. Phys. Rev. B 2011, 84, 224102. [Google Scholar] [CrossRef]
- Zeng, Y.; Li, X. Atomistic simulations of high-temperature creep in nanotwinned TiAl alloys. Extrem. Mech. Lett. 2021, 44, 101253. [Google Scholar] [CrossRef]
- Mukherjee, A.K.; Bird, J.E.; Dorn, J.E. Experimental correlations for high-temperature creep. In Proceedings of the Detroit Materials Engineering Congress of American Society for Metals, Detroit, MI, USA, 15 October 1968. [Google Scholar]
- Herring, C. Diffusional viscosity of a polycrystalline solid. J. Appl. Phys. 1950, 21, 437–445. [Google Scholar] [CrossRef]
- Jiao, S.; Kulkarni, Y. Molecular dynamics study of creep mechanisms in nanotwinned metals. Comput. Mater. Sci. 2015, 110, 254–260. [Google Scholar] [CrossRef]
- Kelsall, R.W.; Hamley, I.W.; Geoghegan, M. Nanoscale Science and Technology; Wiley: New York, NY, USA, 2005. [Google Scholar]
- Murty, B.S.; Shankar, P.; Raj, B.; Al, E. Textbook of Nanoscience and Nanotechnology; Springer: Berlin, Germany, 2013. [Google Scholar]
- Li, Q.; Zhang, J.; Tang, H.; Ye, H.; Zheng, Y. Regulating the mechanical properties of nanocrystalline nickel via molybdenum segregation: An atomistic study. Nanotechnology 2019, 30, 275702. [Google Scholar] [CrossRef]
- Meyers, M.A.; Hahn, E.N. Grain-size dependent mechanical behavior of nanocrystalline metals. Mater. Sci. Eng. A 2015, 646, 101–134. [Google Scholar] [CrossRef]
- Padmanabhan, K.A.; Sripathi, S.; Hahn, H.; Gleiter, H. Inverse Hall–Petch effect in quasi- and nanocrystalline materials. Mater. Lett. 2014, 133, 151–154. [Google Scholar] [CrossRef]
- Hu, J.; Shi, Y.N.; Sauvage, X.; Sha, G.; Lu, K. Grain boundary stability governs hardening and softening in extremely fine nanograined metals. Science. 2017, 355, 1292–1296. [Google Scholar] [CrossRef]
- Sellers, M.S.; Schultz, A.J.; Kofke, D.A.; Basaran, C. Solute effects on β-Sn grain boundary energy and shear stress. J. Nanomechanics Micromechanics 2011, 1, 41–50. [Google Scholar] [CrossRef][Green Version]
- Meyers, M.A.; Mishra, A.; Benson, D.J. Mechanical properties of nanocrystalline materials. Prog. Mater. Sci. 2006, 51, 427–556. [Google Scholar] [CrossRef]
- Keblinski, P.; Wolf, D.; Gleiter, H. Molecular-dynamics simulation of grain-boundary diffusion creep. Interface Sci. 1998, 6, 205–212. [Google Scholar] [CrossRef]
- Meraj, M.; Yedla, N.; Pal, S. The effect of porosity and void on creep behavior of ultra-fine grained nano crystalline nickel. Mater. Lett. 2016, 169, 265–268. [Google Scholar] [CrossRef]
- Lee, Y.; Basaran, C. Effect of Ni solute on grain boundary diffusivity and structure of β-Sn. Comput. Mater. Sci. 2014, 92, 1–7. [Google Scholar] [CrossRef]
- Michael, S.; Sellers, M.S.; Andrew, J.; Schultz, A.J.; Basaran, C.; David, A. β-Sn grain-boundary structure and self-diffusivity via molecular dynamics simulations. Phys. Rev. B 2010, 81, 134111. [Google Scholar] [CrossRef]
- Sellers, M.S.; Schultz, A.J.; Basaran, C.; Kofke, D.A. Atomistic modeling of β-Sn surface energies and adatom diffusivity. Appl. Surf. Sci. 2010, 256, 4402–4407. [Google Scholar] [CrossRef]
- Schäfer, J.; Ashkenazy, Y.; Albe, K.; Averback, R.S. Effect of solute segregation on thermal creep in dilute nanocyrstalline Cu alloys. Mater. Sci. Eng. A 2012, 546, 307–313. [Google Scholar] [CrossRef]
- He, S.M.; Zeng, X.Q.; Peng, L.M.; Gao, X.; Nie, J.F.; Ding, W.J. Microstructure and strengthening mechanism of high strength Mg–10Gd–2Y–0.5Zr alloy. J. Alloys Compd. 2007, 427, 316–323. [Google Scholar] [CrossRef]
- Hirel, P. Atomsk: A tool for manipulating and converting atomic data files. Comput. Phys. Commun. 2015, 197, 212–219. [Google Scholar] [CrossRef]
- Plimpton, S. Fast parallel algorithms for short-range molecular dynamics. J. Comput. Phys. 1995, 117, 1–19. [Google Scholar] [CrossRef]
- Zhou, X.W.; Johnson, R.A.; Wadley, H.N.G. Misfit-energy-increasing dislocations in vapor-deposited CoFe/NiFe multilayers. Phys. Rev. B 2004, 69, 144113. [Google Scholar] [CrossRef]
- Nosé, S. A unified formulation of the constant temperature molecular dynamics methods. J. Chem. Phys. 1984, 81, 511–519. [Google Scholar] [CrossRef]
- Stukowski, A. Visualization and analysis of atomistic simulation data with OVITO-the open visualization tool. Model. Simul. Mater. Sci. Eng. 2010, 18, 015012. [Google Scholar] [CrossRef]
- Karanjgaokar, N.; Chasiotis, I. Creep behavior of nanocrystalline Au films as a function of temperature. J. Mater. Sci. 2016, 51, 3701–3714. [Google Scholar] [CrossRef]
- Li, X.; Wei, Y.; Lu, L.; Lu, K.; Gao, H. Dislocation nucleation governed softening and maximum strength in nano-twinned metals. Nature 2010, 464, 877–880. [Google Scholar] [CrossRef]











| Group | (GPa) | (nm) | (K) | Mo (at.%) |
|---|---|---|---|---|
| 1 | 0.2, 0.3, 0.4, 0.5, 0.6, 0.7, 0.8, 0.9, 1.0, 1.1, 1.2, 1.3, 1.4, 1.6, 1.8, 2.0 | 10.9 | 1100 | 0.0, 3.0 |
| 2 | 0.6, 0.8, 1.0, 2.0 | 7.9, 10.9, 13.7, 19.8 | 1100 | 3.0 |
| 3 | 1.0 | 10.9 | 700, 800, 900, 1000, 1100 | 3.0 |
| 4 | 0.6, 1.0, 1.6, 2.0 | 10.9 | 1100 | 0.0, 1.0, 2.0, 3.0, 4.0, 5.0, 6.0 |
Publisher’s Note: MDPI stays neutral with regard to jurisdictional claims in published maps and institutional affiliations. |
© 2021 by the authors. Licensee MDPI, Basel, Switzerland. This article is an open access article distributed under the terms and conditions of the Creative Commons Attribution (CC BY) license (https://creativecommons.org/licenses/by/4.0/).
Share and Cite
Li, Q.; Zhang, J.; Tang, H.; Zhang, H.; Ye, H.; Zheng, Y. Influence of Mo Segregation at Grain Boundaries on the High Temperature Creep Behavior of Ni-Mo Alloys: An Atomistic Study. Materials 2021, 14, 6966. https://doi.org/10.3390/ma14226966
Li Q, Zhang J, Tang H, Zhang H, Ye H, Zheng Y. Influence of Mo Segregation at Grain Boundaries on the High Temperature Creep Behavior of Ni-Mo Alloys: An Atomistic Study. Materials. 2021; 14(22):6966. https://doi.org/10.3390/ma14226966
Chicago/Turabian StyleLi, Qian, Jiayong Zhang, Huayuan Tang, Hongwu Zhang, Hongfei Ye, and Yonggang Zheng. 2021. "Influence of Mo Segregation at Grain Boundaries on the High Temperature Creep Behavior of Ni-Mo Alloys: An Atomistic Study" Materials 14, no. 22: 6966. https://doi.org/10.3390/ma14226966
APA StyleLi, Q., Zhang, J., Tang, H., Zhang, H., Ye, H., & Zheng, Y. (2021). Influence of Mo Segregation at Grain Boundaries on the High Temperature Creep Behavior of Ni-Mo Alloys: An Atomistic Study. Materials, 14(22), 6966. https://doi.org/10.3390/ma14226966

