High Removal Efficiency of Diatomite-Based X Zeolite for Cu2+ and Zn2+
Abstract
:1. Introduction
2. Experiments
2.1. Materials
2.2. Batch Adsorption Experiments
3. Results and Discussion
3.1. Adsorption Experiments
3.1.1. Kinetic Models
3.1.2. Isotherm Models
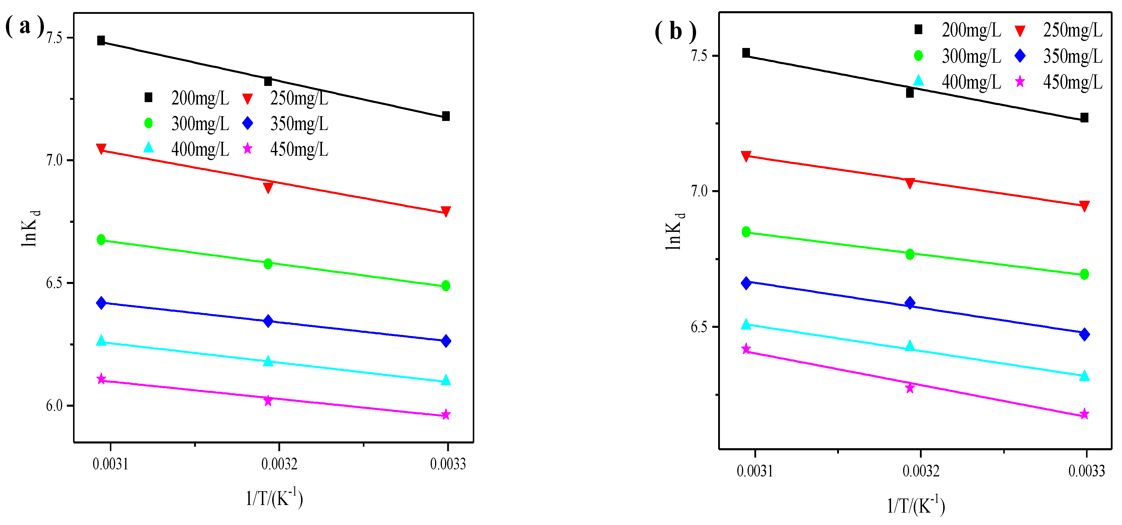
3.1.3. Adsorption thermodynamics
3.1.4. Effect of Initial pH
3.2. Characterization of X Zeolite
3.2.1. XRD
3.2.2. SEM
3.2.3. BET
4. Conclusions
Author Contributions
Funding
Institutional Review Board Statement
Informed Consent Statement
Data Availability Statement
Acknowledgments
Conflicts of Interest
References
- Fu, F.; Wang, Q. Removal of heavy metal ions from wastewaters: A review. J. Environ. Manag. 2011, 92, 407–418. [Google Scholar] [CrossRef]
- Zhang, Y.; Zheng, R.; Zhao, J.; Zhang, Y.; Wong, P.K.; Ma, F. Biosorption of zinc from aqueous solution using chemically treated rice husk. BioMed Res. Int. 2013, 2013, 365163. [Google Scholar] [CrossRef]
- Taty-Costodes, V.C.; Fauduet, H.; Porte, C.; Delacroix, A. Removal of Cd(II) and Pb(II) ions, from aqueous solutions, by adsorption onto sawdust of Pinus sylvestris. J. Hazard. Mater. 2003, 105, 121–142. [Google Scholar] [CrossRef]
- Kulik, N.; Panova, Y.; Trapido, M. The Fenton Chemistry and Its Combination with Coagulation for Treatment of Dye Solutions. Sep. Sci. Technol. 2007, 42, 1521–1534. [Google Scholar] [CrossRef]
- López-Maldonado, E.A.; Oropeza-Guzmán, M.T. Nejayote biopolyelectrolytes multifunctionality (glucurono ferulauted arabinoxylans) in the separation of hazardous metal ions from industrial wastewater. Chem. Eng. J. 2021, 423, 130210. [Google Scholar] [CrossRef]
- Xiao, X.; Yu, Y.; Sun, Y.; Zheng, X.; Chen, A. Heavy metal removal from aqueous solutions by chitosan-based magnetic composite flocculants. J. Environ. Sci. 2021, 108, 22–32. [Google Scholar] [CrossRef] [PubMed]
- Macczak, P.; Kaczmarek, H.; Ziegler-Borowska, M. Recent Achievements in Polymer Bio-Based Flocculants for Water Treatment. Materials 2020, 13, 3951. [Google Scholar] [CrossRef] [PubMed]
- Zhang, L.; Zhao, Y.-H.; Bai, R. Development of a multifunctional membrane for chromatic warning and enhanced adsorptive removal of heavy metal ions: Application to cadmium. J. Membr. Sci. 2011, 379, 69–79. [Google Scholar] [CrossRef]
- Sun, Z.; Zheng, L.; Zheng, S.; Frost, R.L. Preparation and characterization of TiO2/acid leached serpentinite tailings composites and their photocatalytic reduction of chromium(VI). J. Colloid Interface Sci. 2013, 404, 102–109. [Google Scholar] [CrossRef] [PubMed] [Green Version]
- Luo, J.; Li, J.; Yang, Z.; Liu, X. Removal of chromium(III) from aqueous waste solution by predispersed solvent extraction. Trans. Nonferr. Met. Soc. China 2013, 23, 524–529. [Google Scholar] [CrossRef]
- Ölmez, T.; Kabdaşlı, I.; Tünay, O. The effect of the textile industry dye bath additive EDTMPA on colour removal characteristics by ozone oxidation. Water Sci. Technol. 2007, 55, 145. [Google Scholar] [CrossRef]
- Allègre, C.; Moulin, P.; Maisseu, M.; Charbit, F. Treatment and reuse of reactive dyeing effluents. J. Membr. Sci. 2006, 269, 15–34. [Google Scholar] [CrossRef]
- Feng, Y.; Gong, J.-L.; Zeng, G.-M.; Niu, Q.-Y.; Zhang, H.-Y.; Niu, C.-G.; Deng, J.-H.; Yan, M. Adsorption of Cd (II) and Zn (II) from aqueous solutions using magnetic hydroxyapatite nanoparticles as adsorbents. Chem. Eng. J. 2010, 162, 487–494. [Google Scholar] [CrossRef]
- Banerjee, S.S.; Chen, D.H. Fast removal of copper ions by gum arabic modified magnetic nano-adsorbent. J. Hazard. Mater. 2007, 147, 792–799. [Google Scholar] [CrossRef]
- Zhang, S.; Zhang, Y.; Ding, J.; Zhang, Z.; Gao, C.; Halimi, M.; Demey, H.; Yang, Z.; Yang, W. High phosphate removal using La(OH)3 loaded chitosan based composites and mechanistic study. J. Environ. Sci 2021, 106, 105–115. [Google Scholar] [CrossRef] [PubMed]
- Ivanets, A.I.; Kitikova, N.V.; Shashkova, I.L.; Oleksiienko, O.V.; Levchuk, I.; Sillanpää, M. Removal of Zn2+, Fe2+, Cu2+, Pb2+, Cd2+, Ni2+ and Co2+ ions from aqueous solutions using modified phosphate dolomite. J. Environ. Chem. Eng. 2014, 2, 981–987. [Google Scholar] [CrossRef]
- Abu-Zurayk, R.A.; al Bakain, R.Z.; Hamadneh, I.; Al-Dujaili, A.H. Adsorption of Pb(II), Cr(III) and Cr(VI) from aqueous solution by surfactant-modified diatomaceous earth: Equilibrium, kinetic and thermodynamic modeling studies. Int. J. Miner. Process. 2015, 140, 79–87. [Google Scholar] [CrossRef]
- Terdkiatburana, T.; Wang, S.; Tadé, M.O. Competition and complexation of heavy metal ions and humic acid on zeolitic MCM-22 and activated carbon. Chem. Eng. J. 2008, 139, 437–444. [Google Scholar] [CrossRef]
- Tao, P.; Shao, M.; Song, C.; Wu, S.; Cheng, M.; Cui, Z. Preparation of porous and hollow Mn2O3 microspheres and their adsorption studies on heavy metal ions from aqueous solutions. J. Ind. Eng. Chem. 2014, 20, 3128–3133. [Google Scholar] [CrossRef]
- Wang, W.; Ding, Z.; Cai, M.; Jian, H.; Zeng, Z.; Li, F.; Liu, J.P. Synthesis and high-efficiency methylene blue adsorption of magnetic PAA/MnFe2O4 nanocomposites. Appl. Surf. Sci. 2015, 346, 348–353. [Google Scholar] [CrossRef]
- Ge, F.; Li, M.M.; Ye, H.; Zhao, B.X. Effective removal of heavy metal ions Cd2+, Zn2+, Pb2+, Cu2+ from aqueous solution by polymer-modified magnetic nanoparticles. J. Hazard. Mater. 2012, 211–212, 366–372. [Google Scholar] [CrossRef] [PubMed]
- Han, R.; Zou, W.; Zhang, Z.; Shi, J.; Yang, J. Removal of copper(II) and lead(II) from aqueous solution by manganese oxide coated sand I. Characterization and kinetic study. J. Hazard. Mater. 2006, 137, 384–395. [Google Scholar] [CrossRef]
- Hua, M.; Zhang, S.; Pan, B.; Zhang, W.; Lv, L.; Zhang, Q. Heavy metal removal from water/wastewater by nanosized metal oxides: A review. J. Hazard. Mater. 2012, 211–212, 317–331. [Google Scholar] [CrossRef] [PubMed]
- Nibou, D.; Mekatel, H.; Amokrane, S.; Barkat, M.; Trari, M. Adsorption of Zn2+ ions onto NaA and NaX zeolites: Kinetic, equilibrium and thermodynamic studies. J. Hazard. Mater. 2010, 173, 637–646. [Google Scholar] [CrossRef] [PubMed]
- Zanin, E.; Scapinello, J.; de Oliveira, M.; Rambo, C.L.; Franscescon, F.; Freitas, L.; de Mello, J.M.M.; Fiori, M.A.; Oliveira, J.V.; Magro, J.D. Adsorption of heavy metals from wastewater graphic industry using clinoptilolite zeolite as adsorbent. Process Saf. Environ. Prot. 2017, 105, 194–200. [Google Scholar] [CrossRef]
- Yao, G.; Lei, J.; Zhang, X.; Sun, Z.; Zheng, S.; Komarneni, S. Mechanism of zeolite X crystallization from diatomite. Mater. Res. Bull. 2018, 107, 132–138. [Google Scholar] [CrossRef]
- Yao, G.; Zhang, X.; Sun, Z.; Zheng, S. High adsorption selectivity of zeolite X in the binary ionic system of Cu(II) and Zn(II). J. Porous Mater. 2019, 26, 1197–1207. [Google Scholar] [CrossRef]
- Yao, G.; Lei, J.; Zhang, X.; Sun, Z.; Zheng, S. One-Step Hydrothermal Synthesis of Zeolite X Powder from Natural Low-Grade Diatomite. Materials 2018, 11, 906. [Google Scholar] [CrossRef] [Green Version]
- Zou, W.; Han, R.; Chen, Z.; Jinghua, Z.; Shi, J. Kinetic study of adsorption of Cu(II) and Pb(II) from aqueous solutions using manganese oxide coated zeolite in batch mode. Colloids Surf. A Physicochem. Eng. Asp. 2006, 279, 238–246. [Google Scholar] [CrossRef]
- Park, Y.; Sun, Z.; Ayoko, G.A.; Frost, R.L. Bisphenol A sorption by organo-montmorillonite: Implications for the removal of organic contaminants from water. Chemosphere 2014, 107, 249–256. [Google Scholar] [CrossRef] [Green Version]
- Park, Y.; Ayoko, G.A.; Horvath, E.; Kurdi, R.; Kristof, J.; Frost, R.L. Structural characterisation and environmental application of organoclays for the removal of phenolic compounds. J. Colloid Interface Sci. 2013, 393, 319–334. [Google Scholar] [CrossRef] [PubMed] [Green Version]
- Sun, Z.; Yao, G.; Liu, M.; Zheng, S. In situ synthesis of magnetic MnFe2O4/diatomite nanocomposite adsorbent and its efficient removal of cationic dyes. J. Taiwan Inst. Chem. Eng. 2017, 71, 501–509. [Google Scholar] [CrossRef]
- Zheng, S.; Sun, Z.; Park, Y.; Ayoko, G.A.; Frost, R.L. Removal of bisphenol A from wastewater by Ca-montmorillonite modified with selected surfactants. Chem. Eng. J. 2013, 234, 416–422. [Google Scholar] [CrossRef] [Green Version]
- Ates, A. Role of modification of natural zeolite in removal of manganese from aqueous solutions. Powder Technol. 2014, 264, 86–95. [Google Scholar] [CrossRef]
- Cui, L.; Hu, L.; Guo, X.; Zhang, Y.; Wang, Y.; Wei, Q.; Du, B. Kinetic, isotherm and thermodynamic investigations of Cu2+ adsorption onto magnesium hydroxyapatite/ferroferric oxide nano-composites with easy magnetic separation assistance. J. Mol. Liq. 2014, 198, 157–163. [Google Scholar] [CrossRef]
- Wang, S.; Soudi, M.; Li, L.; Zhu, Z.H. Coal ash conversion into effective adsorbents for removal of heavy metals and dyes from wastewater. J. Hazard. Mater. 2006, 133, 243–251. [Google Scholar] [CrossRef]
- Hui, K.S.; Chao, C.Y.; Kot, S.C. Removal of mixed heavy metal ions in wastewater by zeolite 4A and residual products from recycled coal fly ash. J. Hazard. Mater. 2005, 127, 89–101. [Google Scholar] [CrossRef]
- Chen, Y.H.; Li, F.A. Kinetic study on removal of copper(II) using goethite and hematite nano-photocatalysts. J. Colloid Interface Sci. 2010, 347, 277–281. [Google Scholar] [CrossRef] [PubMed]
- Koivula, R.; Pakarinen, J.; Sivenius, M.; Sirola, K.; Harjula, R.; Paatero, E. Use of hydrometallurgical wastewater as a precursor for the synthesis of cryptomelane-type manganese dioxide ion exchange material. Sep. Purif. Technol. 2009, 70, 53–57. [Google Scholar] [CrossRef]
- Su, Q.; Pan, B.; Wan, S.; Zhang, W.; Lv, L. Use of hydrous manganese dioxide as a potential sorbent for selective removal of lead, cadmium, and zinc ions from water. J. Colloid Interface Sci. 2010, 349, 607–612. [Google Scholar] [CrossRef]
- Zhou, J.; Wang, Y.; Wang, J.; Qiao, W.; Long, D.; Ling, L. Effective removal of hexavalent chromium from aqueous solutions by adsorption on mesoporous carbon microspheres. J. Colloid Interface Sci. 2016, 462, 200–207. [Google Scholar] [CrossRef]
- Al-Qodah, Z.; Lafi, W.K.; Al-Anber, Z.; Al-Shannag, M.; Harahsheh, A. Adsorption of methylene blue by acid and heat treated diatomaceous silica. Desalination 2007, 217, 212–224. [Google Scholar] [CrossRef]
- Ballav, N.; Choi, H.J.; Mishra, S.B.; Maity, A. Polypyrrole-coated halloysite nanotube clay nanocomposite: Synthesis, characterization and Cr(VI) adsorption behavior. Appl. Clay Sci. 2014, 102, 60–70. [Google Scholar] [CrossRef]
- Kocaoba, S.; Orhan, Y.; Akyüz, T. Kinetics and equilibrium studies of heavy metal ions removalby use of natural zeolite. Desalination 2007, 214, 1–10. [Google Scholar] [CrossRef]
- Yao, G.; Lei, J.; Zhang, W.; Yu, C.; Sun, Z.; Zheng, S.; Komarneni, S. Antimicrobial activity of X zeolite exchanged with Cu(2+) and Zn(2+) on Escherichia coli and Staphylococcus aureus. Environ. Sci. Pollut. Res. Int. 2019, 26, 2782–2793. [Google Scholar] [CrossRef] [PubMed]
- Yang, J.; Xu, W.; He, C.; Huang, Y.; Zhang, Z.; Wang, Y.; Hu, L.; Xia, D.; Shu, D. One-step synthesis of silicon carbide foams supported hierarchical porous sludge-derived activated carbon as efficient odor gas adsorbent. J. Hazard. Mater. 2017, 344, 33–41. [Google Scholar] [CrossRef] [PubMed]













| Samples | Cu | Zn | ||||||
|---|---|---|---|---|---|---|---|---|
| k2 (g/(mg·min)) | h (mg/(g·min)) | qe (mg/g) | R2 | k2 (g/(mg·min)) | h (mg/(g·min)) | qe (mg/g) | R2 | |
| 200 | 0.00475 | 53.08 | 106 | 0.9997 | 0.00312 | 46.51 | 122 | 0.9995 |
| 250 | 0.00473 | 60.39 | 113 | 0.9998 | 0.00330 | 55.80 | 130 | 0.9995 |
| 300 | 0.00471 | 64.58 | 117 | 0.9996 | 0.00369 | 68.68 | 136 | 0.9997 |
| 350 | 0.00371 | 59.14 | 126 | 0.9996 | 0.00390 | 85.09 | 148 | 0.9997 |
| Samples | Cu | Zn | ||||
|---|---|---|---|---|---|---|
| k1 (min−1) | qe (mg/g) | R2. | k1 (min−1) | qe (mg/g) | R2 | |
| 200 | 0.02109 | 15 | 0.8617 | 0.01691 | 24 | 0.7519 |
| 250 | 0.01241 | 18 | 0.7860 | 0.01204 | 22 | 0.9867 |
| 300 | 0.01217 | 17 | 0.7526 | 0.01526 | 20 | 0.9368 |
| 350 | 0.01502 | 20 | 0.9160 | 0.01521 | 20 | 0.8668 |
| T/(K) | Langmuir | Freundlich | ||||
|---|---|---|---|---|---|---|
| qm (mg/g) | KL (L/mg) | R2 | KF (mg1−(1/n)L1/ng−1) | n | R2 | |
| 303 | 135 | 0.0521 | 0.9985 | 75.24 | 10.92 | 0.9708 |
| 313 | 139 | 0.0691 | 0.9993 | 88.69 | 14.15 | 0.9683 |
| 323 | 146 | 0.0865 | 0.9982 | 102.44 | 18.14 | 0.8707 |
| T/(K) | Langmuir | Freundlich | ||||
|---|---|---|---|---|---|---|
| qm (mg/g) | KL (L/mg) | R2 | KF (mg1−(1/n)L1/ng−1) | n | R2 | |
| 303 | 164 | 0.0293 | 0.9985 | 57.53 | 6.02 | 0.9956 |
| 313 | 179 | 0.0255 | 0.9984 | 53.44 | 5.20 | 0.9956 |
| 323 | 195 | 0.0230 | 0.9881 | 54.92 | 5.01 | 0.9530 |
| T/(K) | Cu2+ | Zn2+ | ||||||
|---|---|---|---|---|---|---|---|---|
| qm (mg/g) | β (mol2/J2) | E (KJ/mol) | R2 | qm (mg/g) | β (mol2/J2) | E (KJ/mol) | R2 | |
| 303 | 158 | 1.22 × 10−9 | 20.27 | 0.9654 | 221 | 2.19 × 10−9 | 15.13 | 0.9947 |
| 313 | 157 | 0.87 × 10−9 | 23.97 | 0.9541 | 253 | 2.35 × 10−9 | 14.58 | 0.9933 |
| 323 | 160 | 0.67 × 10−9 | 27.32 | 0.8510 | 273 | 2.25 × 10−9 | 14.91 | 0.9373 |
| Adsorbent | Synthetic Method | Qm (mg/g) | Refs. |
|---|---|---|---|
| Zeolite from fly ash | Hydrothermal method | 64 | [36] |
| A zeolite from coal fly ash | Hydrothermal and impregnation methods | 50 | [37] |
| Hematite | Co-precipitation method | 84 | [38] |
| α-MnO2 | Precipitation method | 83 | [39] |
| Fe3O4@APS@AA-co-CA MNPs | Chemical co-precipitation methods | 127 | [21] |
| X zeolite | Hydrothermal method | 146 | The paper |
| Adsorbent | Synthetic Method | Qm(mg/g) | Refs. |
|---|---|---|---|
| A zeolite | Hydrothermal and calcination methods | 80 | [24] |
| X zeolite | Hydrothermal and calcination methods | 68 | [24] |
| A zeolite from coal fly ash | Hydrothermal and impregnation methods | 31 | [37] |
| Hydrous manganese dioxide | Precipitation method | 57 | [40] |
| Fe3O4@APS@AA-co-CA MNPs | Chemical co-precipitation methods | 43 | [21] |
| X zeolite | Hydrothermal method | 195 | The paper |
| C0 (mg/L) | ΔH0 (KJ/mol) | ΔS0 (J/mol) | ΔG0 (KJ/mol) | ||
|---|---|---|---|---|---|
| 303 K | 313 K | 323 K | |||
| 200 | 12.52 | 100.92 | −18.07 | −19.08 | −20.08 |
| 250 | 10.38 | 90.64 | −17.09 | −17.99 | −18.90 |
| 300 | 7.68 | 79.26 | −16.33 | −17.13 | −17.92 |
| 350 | 6.33 | 72.97 | −15.78 | −16.51 | −17.24 |
| 400 | 6.58 | 72.39 | −15.36 | −16.08 | −16.80 |
| 450 | 5.88 | 68.92 | −15.01 | −15.69 | −16.38 |
| C0 (mg/L) | ΔH0 (KJ/mol) | ΔS0 (J/mol) | ΔG0 (KJ/mol) | ||
|---|---|---|---|---|---|
| 303 K | 313 K | 323 K | |||
| 200 | 9.66 | 92.22 | −18.29 | −19.21 | −20.13 |
| 250 | 7.47 | 82.38 | −17.50 | −18.32 | −19.14 |
| 300 | 6.38 | 76.69 | −16.85 | −17.62 | −18.39 |
| 350 | 7.70 | 79.26 | −16.32 | −17.11 | −17.90 |
| 400 | 7.72 | 78.02 | −15.92 | −16.70 | −17.48 |
| 450 | 9.74 | 83.43 | −15.54 | −16.37 | −17.21 |
| Samples | Si | Al | Cu | Zn | Na | O | n(Si/A1) |
|---|---|---|---|---|---|---|---|
| X zeolite | 21.41 | 17.07 | / | / | 14.6 | 45.33 | 1.21 |
| Sample adsorbed with Cu2+ | 19.72 | 16.58 | 16.14 | / | 2.40 | 42.51 | 1.15 |
| Sample adsorbed with Zn2+ | 18.53 | 16.01 | / | 16.69 | 4.56 | 42.29 | 1.12 |
Publisher’s Note: MDPI stays neutral with regard to jurisdictional claims in published maps and institutional affiliations. |
© 2021 by the authors. Licensee MDPI, Basel, Switzerland. This article is an open access article distributed under the terms and conditions of the Creative Commons Attribution (CC BY) license (https://creativecommons.org/licenses/by/4.0/).
Share and Cite
Yao, G.; Liu, Y.; Zheng, S.; Xu, Y. High Removal Efficiency of Diatomite-Based X Zeolite for Cu2+ and Zn2+. Materials 2021, 14, 6525. https://doi.org/10.3390/ma14216525
Yao G, Liu Y, Zheng S, Xu Y. High Removal Efficiency of Diatomite-Based X Zeolite for Cu2+ and Zn2+. Materials. 2021; 14(21):6525. https://doi.org/10.3390/ma14216525
Chicago/Turabian StyleYao, Guangyuan, Yuqiang Liu, Shuilin Zheng, and Ya Xu. 2021. "High Removal Efficiency of Diatomite-Based X Zeolite for Cu2+ and Zn2+" Materials 14, no. 21: 6525. https://doi.org/10.3390/ma14216525
APA StyleYao, G., Liu, Y., Zheng, S., & Xu, Y. (2021). High Removal Efficiency of Diatomite-Based X Zeolite for Cu2+ and Zn2+. Materials, 14(21), 6525. https://doi.org/10.3390/ma14216525
