On Random Subspace Optimization-Based Hybrid Computing Models Predicting the California Bearing Ratio of Soils
Abstract
:1. Introduction
2. Short Literature Review on Soft Computing Techniques for Estimation of the California Bearing Ratio
| Reference | Model(s) Employed | Prediction Accuracy | Total Nr of Data/Types of Soils |
|---|---|---|---|
| Bardhan et al., 2021a [53] | MARS-L | R2 = 0.96 RMSE = 0.0359 | 362 |
| Bardhan et al., 2021b [54] | extreme learning machine (ELM)-based models | 0.81< R2 <0.91 | 312 |
| Onyelowe et al., 2021 [16] | Levenberg–Marquardt backpropagation (LMBP), Bayesian programming (BP), and conjugate gradient (CG) | R2 = 0.90 | 129 |
| Raza et al. 2021 [55] | least median of squares regression, Gaussian processes regression, elastic net regularization regression, lazy K-star, M-5 model trees, alternating model trees, and random forest | 0.80 < R2 <0.92 | 97 tests |
3. Materials and Methods
3.1. Database for the Training of Soft Computing Models
3.2. Sensitivity Analysis of the Input Parameters Predicting the CBR of Soil
3.3. Methods Used
3.3.1. Random Subspace (RSS)
| Algorithm 1. RSS algorithm |
| Input: Data set D = [(x1,y1), (x2,y2),…, (xn,yn),)] Base classifier algorithm L; Number of subspace rate k; Number of learning rounds T. Process: For, t = 1,2, …, T Dt = RS (D,k); % Random generate a subspace sample from D Ht = L(Dt); % Train a base classifier ht from the subspace sample End. Output:H(x) = ; % the value of 1(α) is 1 if α is true % and 0 otherwise |
3.3.2. Reduced Error Pruning Trees (REPT)
3.3.3. Extra Tree (ET)
3.3.4. Prediction Accuracy Indicators
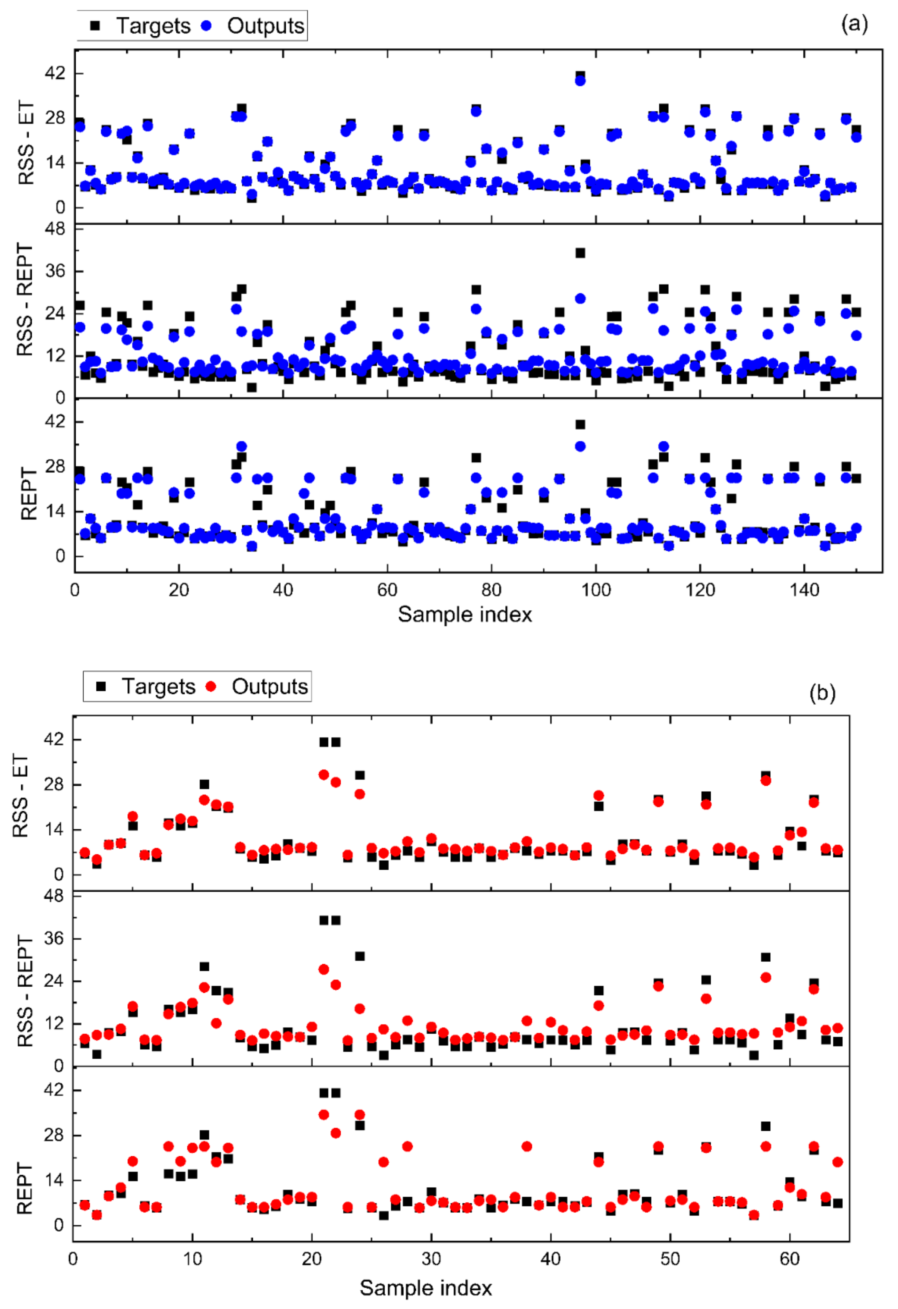
4. Results and Discussion
4.1. Prediction Accuracy
4.2. Comparison of Developed Models
5. Limitations
6. Conclusions
- The results show that the random subspace-based extra tree (RSS-ET) model outperformed the random subspace-based REPT (RSS-REPT) and reduced error pruning tree (REPT) models independent of which following performance indices were used: root mean square error (RMSE), mean absolute error (MAE), and correlation coefficient (R2).
- The accuracy of the developed random subspace-based extra tree (RSS-ET) model to predict the CBR of soil was R2 –0.968 and is higher than the prediction accuracy of the soft computing models currently reported in the literature (Table 1) [16,53,54]. Whilst this is a significantly high prediction accuracy, it is strictly associated with the database used in this research. As part of ongoing research, the authors aim to enrich the parameter value range where a limited amount of data is available and to calibrate the developed random subspace-based extra tree (RSS-ET) over the enriched experimental database.
- During the testing stage, the correlation coefficient (R2) values of the REPT and RSS-REPT models were significantly smaller than those obtained during the training stage, indicating overfitting issues. No indication of overfitting issues was observed for the RSS-ET model, which registered similar correlation coefficient values during the training and testing stage.
Author Contributions
Funding
Institutional Review Board Statement
Informed Consent Statement
Data Availability Statement
Acknowledgments
Conflicts of Interest
Abbreviations
| ANN | Artificial neural network |
| ANFIS | Adaptive Neuro-Fuzzy Inference System |
| CBR | California Bearing Ratio |
| CS | Coarse Sand |
| DT | Decision Tree |
| FS | Fine Sand |
| G | Gravel content |
| GEP | Gene Expression Programming |
| GRNN | Generalized Regression Neural Networks |
| GMDH | Group Method of Data Handling |
| LL | Liquid Limit |
| MAE | Mean absolute error |
| MDD | Maximum Dry Density |
| MLPN | Multi-Layer Perceptron Neural Networks |
| ML | Machine learning |
| O | Organic content |
| OMC | Optimum Moisture Content |
| PL | Plastic Limit |
| PI | Plasticity Index |
| REPT | Reduced Error Pruning Trees |
| RMSE | Root Mean Square Error |
| RSS | Random Subspace |
| RSS-REPT | Random Subspace based Reduced Error Pruning Trees |
| RSS-ET | Random Subspace based Extra Tree |
| R | Correlation coefficient |
| SC | Soft computing |
| SC | Silt day Content |
| SVM | Support Vector Machine |
| NCHRP | National Cooperative Highway Research Program |
| LMBP | Levenberg–Marquardt Backpropagation |
| BP | Bayesian Programming |
| mean of measured values | |
| n | Total number of data |
| yim | Measured values |
| yip | Predicted values |
References
- Rehman, Z.; Khalid, U.; Farooq, K.; Mujtaba, H. Prediction of CBR value from index properties of different soils. Technol. J. Univ. Eng. Technol. (UET) 2017, 22, 17–26. [Google Scholar]
- Haupt, F.; Netterberg, F. Prediction of California Bearing Ratio and compaction characteristics of Transvaal soils from indicator properties. J. S. Afr. Inst. Civ. Eng. 2021, 63, 47–56. [Google Scholar]
- Katte, V.Y.; Mfoyet, S.M.; Manefouet, B.; Wouatong, A.S.L.; Bezeng, L.A. Correlation of California bearing ratio (CBR) value with soil properties of road subgrade soil. Geotech. Geol. Eng. 2019, 37, 217–234. [Google Scholar] [CrossRef]
- Nagaraju, T.V.; Prasad, C.D.; Raju, M.J. Prediction of California bearing ratio using particle swarm optimization. In Soft Computing for Problem Solving; Springer: New York, NY, USA, 2020; pp. 795–803. [Google Scholar]
- Mendoza, C.; Caicedo, B. Elastoplastic framework of relationships between CBR and Young’s modulus for granular material. Road Mater. Pavement Des. 2018, 19, 1796–1815. [Google Scholar] [CrossRef]
- Mendoza, C.; Caicedo, B. Elastoplastic framework of relationships between CBR and Young’s modulus for fine grained materials. Transp. Geotech. 2019, 21, 100280. [Google Scholar] [CrossRef]
- Brown, S.J.G. Thirty-sixth Rankine Lecture: Soil mechanics in pavement engineering. Geotechnique 1996, 46, 381–426. [Google Scholar] [CrossRef]
- Farias, I.G.; Araujo, W.; Ruiz, G. Prediction of California bearing ratio from index properties of soils using parametric and non-parametric models. Geotech. Geol. Eng. 2018, 36, 3485–3498. [Google Scholar] [CrossRef]
- Abdulnabi, T.Y.; Abdulrazzaq, Z.G. An estimated correlation between California bearing ratio (CBR) with some soil parameters of gypseous silty sandy soils. Tikrit J. Eng. Sci. 2020, 27, 58–64. [Google Scholar] [CrossRef]
- Mousavi, F.; Abdi, E.; Rahimi, H. Effect of polymer stabilizer on swelling potential and CBR of forest road material. KSCE J. Civ. Eng. 2014, 18, 2064–2071. [Google Scholar] [CrossRef]
- Hight, D.W.; Stevens, M.G.H. An analysis of the California Bearing Ratio test in saturated clays. Geotechnique 1982, 32, 315–322. [Google Scholar] [CrossRef]
- Mishra, D.; Tutumluer, E.; Butt, A.A. Quantifying effects of particle shape and type and amount of fines on unbound aggregate performance through controlled gradation. Transp. Res. Rec. J. Transp. Res. Board 2010, 2167, 61–71. [Google Scholar] [CrossRef]
- Wang, G.; Ma, J. A hybrid ensemble approach for enterprise credit risk assessment based on Support Vector Machine. Expert Syst. Appl. 2012, 39, 5325–5331. [Google Scholar] [CrossRef]
- Zeng, J.; Roussis, P.C.; Mohammed, A.S.; Maraveas, C.; Fatemi, S.A.; Armaghani, D.J.; Asteris, P.G. Prediction of Peak Particle Velocity Caused by Blasting through the Combinations of Boosted-CHAID and SVM Models with Various Kernels. Appl. Sci. 2021, 11, 3705. [Google Scholar] [CrossRef]
- Asteris, P.G.; Skentou, A.D.; Bardhan, A.; Samui, P.; Pilakoutas, K. Predicting concrete compressive strength using hybrid ensembling of surrogate machine learning models. Cem. Concr. Res. 2021, 145, 106449. [Google Scholar] [CrossRef]
- Onyelowe, K.C.; Iqbal, M.; Jalal, F.E.; Onyia, M.E.; Onuoha, I.C. Application of 3-algorithm ANN programming to predict the strength performance of hydrated-lime activated rice husk ash treated soil. Multiscale Multidiscip. Modeling Exp. Des. 2021, 1–16. [Google Scholar] [CrossRef]
- Iqbal, M.; Onyelowe, K.C.; Jalal, F.E. Smart computing models of California bearing ratio, unconfined compressive strength, and resistance value of activated ash-modified soft clay soil with adaptive neuro-fuzzy inference system and ensemble random forest regression techniques. Multiscale Multidiscip. Modeling Exp. Des. 2021, 4, 1–19. [Google Scholar]
- Jalal, F.E.; Xu, Y.; Iqbal, M.; Javed, M.F.; Jamhiri, B. Predictive modeling of swell-strength of expansive soils using artificial intelligence approaches: ANN, ANFIS and GEP. J. Environ. Manag. 2021, 289, 112420. [Google Scholar] [CrossRef]
- Jalal, F.E.; Xu, Y.; Iqbal, M.; Jamhiri, B.; Javed, M.F. Predicting the compaction characteristics of expansive soils using two genetic programming-based algorithms. Transp. Geotech. 2021, 30, 100608. [Google Scholar] [CrossRef]
- Iqbal, M.; Zhang, D.; Jalal, F.E.; Javed, M.F. Computational AI prediction models for residual tensile strength of GFRP bars aged in the alkaline concrete environment. Ocean. Eng. 2021, 232, 109134. [Google Scholar] [CrossRef]
- Luo, X.; Lin, F.; Chen, Y.; Zhu, S.; Xu, Z.; Huo, Z.; Yu, M.; Peng, J. Coupling logistic model tree and random subspace to predict the landslide susceptibility areas with considering the uncertainty of environmental features. Sci. Rep. 2019, 9, 1–15369. [Google Scholar] [CrossRef] [PubMed] [Green Version]
- Pham, B.T.; Phong, T.V.; Nguyen-Thoi, T.; Parial, K.; Singh, K.S.; Ly, H.-B.; Nguyen, K.T.; Ho, L.S.; Le, H.V.; Prakash, I. Ensemble modeling of landslide susceptibility using random subspace learner and different decision tree classifiers. Geocarto Int. 2020, 1–23. [Google Scholar] [CrossRef]
- Albashish, D.; Hammouri, A.I.; Braik, M.; Atwan, J.; Sahran, S. Binary biogeography-based optimization based SVM-RFE for feature selection. Appl. Soft Comput. 2021, 101, 107026. [Google Scholar] [CrossRef]
- Wang, G.; Ma, J.; Yang, S. An improved boosting based on feature selection for corporate bankruptcy prediction. Expert Syst. Appl. 2014, 41, 2353–2361. [Google Scholar] [CrossRef]
- Tan, M.; Yuan, S.; Li, S.; Su, Y.; Li, H.; He, F. Ultra-short-term industrial power demand forecasting using LSTM based hybrid ensemble learning. IEEE Trans. Power Syst. 2019, 35, 2937–2948. [Google Scholar] [CrossRef]
- Black, W. A method of estimating the California bearing ratio of cohesive soils from plasticity data. Geotechnique 1962, 12, 271–282. [Google Scholar] [CrossRef]
- de Graft-Johnson, J.; Bhatia, H.; Gidigasu, D. The engineering characteristics of the laterite gravels of Ghana. In Proceedings of the Speciality Session on Engineering Properties of Lateritic Soils. Seventh International Conference on Soil Mechanics and Foundation Engineering, Mexico City, Mexico, 26 November–5 December 1969. [Google Scholar]
- Agarwal, K.; Ghanekar, K. Prediction of CBR from plasticity characteristics of soil. In Proceedings of the 2nd South-East Asian Conference on Soil Engineering, Singapore, 11–15 June 1970; pp. 571–576. [Google Scholar]
- Al-Suhaibani, A.; Al-Refeai, T.; Noureldin, A. Characterization of Subgrade Soil in Saudi Arabia; A study of Resilient Behavior. KACST Project No. AR-12-51, Final Report; 1997. Emir. J. Eng. Res. 2003, 8, 41–49. [Google Scholar]
- Stephens, D. Variation of the California bearing ratio in some synthetic clayey soils. Civ. Eng. Siviele Ing. 1992, 1992, 379–380. [Google Scholar]
- Peshkin, D.; Hoerner, T.; Zimmerman, K. National Cooperative Highway Research Program, NCHRP, Report 523 Optimal Timing of Pavement Preventive Maintenance Treatment Applications; Transportation Research Board, TRB, National Research Council: Washington, DC, USA, 2004. [Google Scholar]
- Kin, M. Judul: California Bearing Ratio Correlation with Soil Index Properties. Master’s Thesis, University Technology Malaysia, Skudai, Malaysia, 2006. [Google Scholar]
- Suthar, M.; Aggarwal, P. Predicting CBR value of stabilized pond ash with lime and lime sludge using ANN and MR models. Int. J. Geosynth. Ground Eng. 2018, 4, 1–7. [Google Scholar] [CrossRef]
- Bhatt, S.; Jain, P.K.; Pradesh, M. Prediction of California bearing ratio of soils using artificial neural network. Am. Int. J. Res. Sci. Technol. Eng. Math. 2014, 8, 156–161. [Google Scholar]
- Alawi, M.; Rajab, M. Prediction of California bearing ratio of subbase layer using multiple linear regression models. Road Mater. Pavement Des. 2013, 14, 211–219. [Google Scholar] [CrossRef]
- Kurnaz, T.F.; Kaya, Y. Prediction of the California bearing ratio (CBR) of compacted soils by using GMDH-type neural network. Eur. Phys. J. Plus 2019, 134, 326. [Google Scholar] [CrossRef]
- Talukdar, D.K. A study of correlation between California Bearing Ratio (CBR) value with other properties of soil. Int. J. Emerg. Technol. Adv. Eng. 2014, 4, 559–562. [Google Scholar]
- Erzin, Y.; Turkoz, D. Use of neural networks for the prediction of the CBR value of some Aegean sands. Neural Comput. Appl. 2016, 27, 1415–1426. [Google Scholar] [CrossRef]
- Merghadi, A.; Abderrahmane, B.; Tien Bui, D. Landslide susceptibility assessment at Mila Basin (Algeria): A comparative assessment of prediction capability of advanced machine learning methods. ISPRS Int. J. Geo-Inf. 2018, 7, 268. [Google Scholar] [CrossRef] [Green Version]
- Taskiran, T. Prediction of California bearing ratio (CBR) of fine grained soils by AI methods. Adv. Eng. Softw. 2010, 41, 886–892. [Google Scholar] [CrossRef]
- Yildirim, B.; Gunaydin, O. Estimation of California bearing ratio by using soft computing systems. Expert Syst. Appl. 2011, 38, 6381–6391. [Google Scholar] [CrossRef]
- Kumar, S.A.; Kumar, J.P.; Rajeev, J. Application Of Machine Learning Techniques To Predict Soaked CBR Of Remolded Soils. IJERT 2013, 2, 3019–3024. [Google Scholar]
- Varghese, V.K.; Babu, S.S.; Bijukumar, R.; Cyrus, S.; Abraham, B.M. Artificial neural networks: A solution to the ambiguity in prediction of engineering properties of fine-grained soils. Geotech. Geol. Eng. 2013, 31, 1187–1205. [Google Scholar] [CrossRef]
- Sabat, A.K. Prediction of California bearing ratio of a stabilized expansive soil using artificial neural network and support vector machine. Electron. J. Geotech. Eng. 2015, 20, 981–991. [Google Scholar]
- Ghorbani, A.; Hasanzadehshooiili, H. Prediction of UCS and CBR of microsilica-lime stabilized sulfate silty sand using ANN and EPR models; application to the deep soil mixing. Soils Found. 2018, 58, 34–49. [Google Scholar] [CrossRef]
- Alam, S.K.; Mondal, A.; Shiuly, A. Prediction of CBR value of fine grained soils of Bengal Basin by genetic expression programming, artificial neural network and krigging method. J. Geol. Soc. India 2020, 95, 190–196. [Google Scholar] [CrossRef]
- Roy, B.; Singh, M.P. An empirical-based rainfall-runoff modelling using optimization technique. Int. J. River Basin Manag. 2020, 18, 49–67. [Google Scholar] [CrossRef]
- Taha, S.; Gabr, A.; El-Badawy, S. Regression and Neural Network Models for California Bearing Ratio Prediction of Typical Granular Materials in Egypt. Arab. J. Sci. Eng. 2019, 44, 8691–8705. [Google Scholar] [CrossRef]
- Tenpe, A.R.; Patel, A. Application of genetic expression programming and artificial neural network for prediction of CBR. Road Mater. Pavement Des. 2020, 21, 1183–1200. [Google Scholar] [CrossRef]
- Al-Busultan, S.; Aswed, G.K.; Almuhanna, R.R.; Rasheed, S.E. Application of artificial neural networks in predicting subbase CBR values using soil indices data. IOP Conf. Ser. Mater. Sci. Eng. 2020, 671, 012106. [Google Scholar] [CrossRef]
- Ferentinou, M.; Sakellariou, M. Computational intelligence tools for the prediction of slope performance. Comput. Geotech. 2007, 34, 362–384. [Google Scholar] [CrossRef]
- Murlidhar, B.R.; Kumar, D.; Armaghani, D.J.; Mohamad, E.T.; Roy, B.; Pham, B.T. A novel intelligent ELM-BBO technique for predicting distance of mine blasting-induced flyrock. Nat. Resour. Res. 2020, 29, 4103–4120. [Google Scholar] [CrossRef]
- Bardhan, A.; Gokceoglu, C.; Burman, A.; Samui, P.; Asteris, P.G. Efficient computational techniques for predicting the California bearing ratio of soil in soaked conditions. Eng. Geol. 2021, 291, 106239. [Google Scholar] [CrossRef]
- Bardhan, A.; Samui, P.; Ghosh, K.; Gandomi, A.H.; Bhattacharyya, S. ELM-based adaptive neuro swarm intelligence techniques for predicting the California bearing ratio of soils in soaked conditions. Appl. Soft Comput. 2021, 110, 107595. [Google Scholar] [CrossRef]
- Raja, M.N.A.; Shukla, S.K.; Khan, M.U.A. An intelligent approach for predicting the strength of geosynthetic-reinforced subgrade soil. Int. J. Pavement Eng. 2021, 1–17. [Google Scholar] [CrossRef]
- Ministry of Transport and Communications. TCVN 5729:2012: Expressway—Specifications for Design; Ministry of Transport and Communications: Hanoi, Vietnam, 2012.
- AASHTO. Code T 88-20, Standard Method of Test for Particle Size Analysis of Soils; American Association of State and Highway Transportation Officials: Washington, DC, USA, 2020. [Google Scholar]
- ASTM. D422-63(2007)e2, Standard Test Method for Particle-Size Analysis of Soils (Withdrawn 2016); ASTM International: West Conshohocken, PA, USA, 2007. [Google Scholar] [CrossRef]
- AASHTO. Code T 89-13 (2017), Standard Method of Test for Determining the Liquid Limit of Soils; American Association of State Highway and Transportation Officials: Washington, DC, USA, 2017. [Google Scholar]
- ASTM. D4318-17e1, Standard Test Methods for Liquid Limit, Plastic Limit, and Plasticity Index of Soils; ASTM International: West Conshohocken, PA, USA, 2017. [Google Scholar] [CrossRef]
- AASHTO. Code T 267-86 (2018), Standard Method of Test for Determination of Organic Content in Soils by Loss of Ignition; American Association of State and Highway Transportation Officials: Washington, DC, USA, 2018. [Google Scholar]
- ASTM. D4253-16e1, Standard Test Methods for Maximum Index Density and Unit Weight of Soils Using a Vibratory Table; ASTM International: West Conshohocken, PA, USA, 2016. [Google Scholar] [CrossRef]
- ASTM. D4254-16, Standard Test Methods for Minimum Index Density and Unit Weight of Soils and Calculation of Relative Density; ASTM International: West Conshohocken, PA, USA, 2016. [Google Scholar] [CrossRef]
- Schaefer, V.R.; Stevens, L.; White, D.; Ceylan, H. Design Guide for Subgrades and Subbases; Tech Transfer Summaries: Ames, IA, USA, 2008; Volume 60. [Google Scholar]
- Zhou, W. Cone Penetrometer. In Encyclopedia of Engineering Geology; Bobrowsky, P.T., Marker, B., Eds.; Springer International Publishing: Cham, Switzerland, 2018; pp. 182–183. [Google Scholar]
- ASTM. D1883-16, Standard Test Method for California Bearing Ratio (CBR) of Laboratory-Compacted Soils; ASTM International: West Conshohocken, PA, USA, 2016. [Google Scholar] [CrossRef]
- AASHTO. Code T 193-13 (2017), Standard Method of Test for the California Bearing Ratio; American Association of State and Highway Transportation Officials: Washington, DC, USA, 2017. [Google Scholar]
- Ariema, F.; Butler, B.E. Chapter 6. Embankment Foundations. In Guide to Earthwork Construction; State of the Art Report 8; Transportation Research Board National Research Council: Washington, DC, USA, 1990. [Google Scholar]
- Atkins, H. Highway Materials, Soils and Concretes; Prentice Hall: Hoboken, NJ, USA, 1997. [Google Scholar]
- Ampadu, S.I.K. A laboratory investigation into the effect of water content on the CBR of a subgrade soil. In Experimental Unsaturated Soil Mechanics; Springer: New York, NY, USA, 2007; pp. 137–144. [Google Scholar]
- Khandelwal, M.; Armaghani, D.J.; Faradonbeh, R.S.; Ranjith, P.; Ghoraba, S. A new model based on gene expression programming to estimate air flow in a single rock joint. Environ. Earth Sci. 2016, 75, 739. [Google Scholar] [CrossRef]
- Momeni, E.; Armaghani, D.J.; Hajihassani, M.; Amin, M.F.M. Prediction of uniaxial compressive strength of rock samples using hybrid particle swarm optimization-based artificial neural networks. Measurement 2015, 60, 50–63. [Google Scholar] [CrossRef]
- Pham, B.T.; Prakash, I.; Bui, D.T. Spatial prediction of landslides using a hybrid machine learning approach based on random subspace and classification and regression trees. Geomorphology 2018, 303, 256–270. [Google Scholar] [CrossRef]
- Li, H.; Lee, Y.-C.; Zhou, Y.-C.; Sun, J. The random subspace binary logit (RSBL) model for bankruptcy prediction. Knowl. Based Syst. 2011, 24, 1380–1388. [Google Scholar] [CrossRef]
- Nhu, V.-H.; Khosravi, K.; Cooper, J.R.; Karimi, M.; Kisi, O.; Pham, B.T.; Lyu, Z. Monthly suspended sediment load prediction using artificial intelligence: Testing of a new random subspace method. Hydrol. Sci. J. 2020, 65, 2116–2127. [Google Scholar] [CrossRef]
- Plumpton, C.O.; Kuncheva, L.I.; Oosterhof, N.N.; Johnston, S.J. Naive random subspace ensemble with linear classifiers for real-time classification of fMRI data. Pattern Recognit. 2012, 45, 2101–2108. [Google Scholar] [CrossRef]
- Al-rimy, B.A.S.; Maarof, M.A.; Shaid, S.Z.M. Crypto-ransomware early detection model using novel incremental bagging with enhanced semi-random subspace selection. Future Gener. Comput. Syst. 2019, 101, 476–491. [Google Scholar] [CrossRef]
- García-Pedrajas, N.; Ortiz-Boyer, D. Boosting random subspace method. Neural Netw. 2008, 21, 1344–1362. [Google Scholar] [CrossRef] [PubMed]
- Hong, H.; Liu, J.; Zhu, A.-X.; Shahabi, H.; Pham, B.T.; Chen, W.; Pradhan, B.; Bui, D.T. A novel hybrid integration model using support vector machines and random subspace for weather-triggered landslide susceptibility assessment in the Wuning area (China). Environ. Earth Sci. 2017, 76, 1–19. [Google Scholar] [CrossRef]
- Wang, G.; Ma, J. Study of corporate credit risk prediction based on integrating boosting and random subspace. Expert Syst. Appl. 2011, 38, 13871–13878. [Google Scholar] [CrossRef]
- Nhu, V.-H.; Shahabi, H.; Nohani, E.; Shirzadi, A.; Al-Ansari, N.; Bahrami, S.; Miraki, S.; Geertsema, M.; Nguyen, H. Daily Water Level Prediction of Zrebar Lake (Iran): A Comparison between M5P, Random Forest, Random Tree and Reduced Error Pruning Trees Algorithms. ISPRS Int. J. Geo-Inf. 2020, 9, 479. [Google Scholar] [CrossRef]
- Pham, B.T.; Jaafari, A.; Nguyen-Thoi, T.; Van Phong, T.; Nguyen, H.D.; Satyam, N.; Masroor, M.; Rehman, S.; Sajjad, H.; Sahana, M. Ensemble machine learning models based on Reduced Error Pruning Tree for prediction of rainfall-induced landslides. Int. J. Digit. Earth 2021, 14, 575–596. [Google Scholar] [CrossRef]
- Pham, B.T.; Prakash, I.; Singh, S.K.; Shirzadi, A.; Shahabi, H.; Bui, D.T. Landslide susceptibility modeling using Reduced Error Pruning Trees and different ensemble techniques: Hybrid machine learning approaches. Catena 2019, 175, 203–218. [Google Scholar] [CrossRef]
- Mohamed, W.N.H.W.; Salleh, M.N.M.; Omar, A.H. A comparative study of reduced error pruning method in decision tree algorithms. In Proceedings of the 2012 IEEE International conference on control system, computing and engineering, Penang, Malaysia, 23–25 November 2012; pp. 392–397. [Google Scholar]
- Pham, B.T.; Prakash, I. A novel hybrid intelligent approach of random subspace ensemble and reduced error pruning trees for landslide susceptibility modeling: A case study at mu cang chai district, yen bai province, viet nam. In Proceedings of the International Conference on Geo-Spatial Technologies and Earth Resources, Hanoi, Vietnam, 5–6 October 2017; pp. 255–269. [Google Scholar]
- Chen, W.; Hong, H.; Li, S.; Shahabi, H.; Wang, Y.; Wang, X.; Ahmad, B.B. Flood susceptibility modelling using novel hybrid approach of reduced-error pruning trees with bagging and random subspace ensembles. J. Hydrol. 2019, 575, 864–873. [Google Scholar] [CrossRef]
- Khosravi, K.; Pham, B.T.; Chapi, K.; Shirzadi, A.; Shahabi, H.; Revhaug, I.; Prakash, I.; Bui, D.T. A comparative assessment of decision trees algorithms for flash flood susceptibility modeling at Haraz watershed, northern Iran. Sci. Total. Environ. 2018, 627, 744–755. [Google Scholar] [CrossRef] [PubMed]
- Geurts, P.; Ernst, D.; Wehenkel, L. Extremely randomized trees. Mach. Learn. 2006, 63, 3–42. [Google Scholar] [CrossRef] [Green Version]
- Marani, A.; Nehdi, M.L. Machine learning prediction of compressive strength for phase change materials integrated cementitious composites. Constr. Build. Mater. 2020, 265, 120286. [Google Scholar] [CrossRef]
- Alizamir, M.; Kim, S.; Kisi, O.; Zounemat-Kermani, M. Deep echo state network: A novel machine learning approach to model dew point temperature using meteorological variables. Hydrol. Sci. J. 2020, 65, 1173–1190. [Google Scholar] [CrossRef]
- Ahmad, M.W.; Mouraud, A.; Rezgui, Y.; Mourshed, M. Deep highway networks and tree-based ensemble for predicting short-term building energy consumption. Energies 2018, 11, 3408. [Google Scholar] [CrossRef] [Green Version]
- John, V.; Liu, Z.; Guo, C.; Mita, S.; Kidono, K. Real-time lane estimation using deep features and extra trees regression. In Proceedings of the Image and Video Technology, Sydney, NSW, Australia, 18–22 November 2015; pp. 721–733. [Google Scholar]
- Asteris, P.G.; Koopialipoor, M.; Armaghani, D.J.; Kotsonis, E.A.; Lourenço, P.B. Prediction of Cement-based Mortars Compressive Strength using Machine Learning Techniques. Neural Comput. Appl. 2020, 33, 13089–13121. [Google Scholar] [CrossRef]
- Ly, H.-B.; Pham, B.T.; Le, L.M.; Le, T.-T.; Le, V.M.; Asteris, P.G. Estimation of axial load-carrying capacity of concrete-filled steel tubes using surrogate models. Neural Comput. Appl. 2021, 33, 3437–3458. [Google Scholar] [CrossRef]
- Asteris, P.G.; Skentou, A.D.; Bardhan, A.; Samui, P.; Lourenço, P.B. Soft computing techniques for the prediction of concrete compressive strength using Non-Destructive tests. Constr. Build. Mater. 2021, 303, 124450. [Google Scholar] [CrossRef]
- Asteris, P.G.; Lemonis, M.E.; Le, T.T.; Tsavdaridis, K.D. Valuation of the ultimate eccentric load of rectangular CFSTs using advanced neural network modeling. Eng. Struct. 2021, 248, 113297. [Google Scholar] [CrossRef]
- Asteris, P.G.; Cavaleri, L.; Ly, H.-B.; Pham, B.T. Surrogate models for the compressive strength mapping of cement mortar materials. Soft Comput. 2021, 25, 6347–6372. [Google Scholar] [CrossRef]
- Armaghani, D.J.; Asteris, P.G. A comparative study of ANN and ANFIS models for the prediction of cement-based mortar materials compressive strength. Neural Comput. Appl. 2021, 33, 4501–4532. [Google Scholar] [CrossRef]
- Asteris, P.G.; Lemonis, M.E.; Nguyen, T.-A.; Van Le, H.; Pham, B.T.J.S.; Structures, C. Soft computing-based estimation of ultimate axial load of rectangular concrete-filled steel tubes. Steel Compos. Struct. 2021, 39, 471. [Google Scholar]
- Zhou, J.; Asteris, P.G.; Armaghani, D.J.; Pham, B.T. Prediction of ground vibration induced by blasting operations through the use of the Bayesian Network and random forest models. Soil Dyn. Earthq. Eng. 2020, 139, 106390. [Google Scholar] [CrossRef]
- Asteris, P.G.; Lourenço, P.B.; Hajihassani, M.; Adami, C.-E.N.; Lemonis, M.E.; Skentou, A.D.; Marques, R.; Nguyen, H.; Rodrigues, H.; Varum, H. Soft computing based models for the prediction of masonry compressive strength. Eng. Struct. 2021, 248, 113276. [Google Scholar] [CrossRef]
- Jalal, F.E.; Xu, Y.; Li, X.; Jamhiri, B.; Iqbal, M. Fractal approach in expansive clay-based materials with special focus on compacted GMZ bentonite in nuclear waste disposal: A systematic review. Environ. Sci. Pollut. Res. 2021, 28, 43287–43314. [Google Scholar] [CrossRef] [PubMed]
- Iqbal, M.F.; Liu, Q.-f.; Azim, I.; Zhu, X.; Yang, J.; Javed, M.F.; Rauf, M. Prediction of mechanical properties of green concrete incorporating waste foundry sand based on gene expression programming. J. Hazard. Mater. 2020, 384, 121322. [Google Scholar] [CrossRef] [PubMed]
- Azim, I.; Yang, J.; Javed, M.F.; Iqbal, M.F.; Mahmood, Z.; Wang, F.; Liu, Q.-f. Prediction model for compressive arch action capacity of RC frame structures under column removal scenario using gene expression programming. Structures 2020, 25, 212–228. [Google Scholar] [CrossRef]
- Azim, I.; Yang, J.; Iqbal, M.F.; Javed, M.F.; Nazar, S.; Wang, F.; Liu, Q.-f. Semi-analytical model for compressive arch action capacity of RC frame structures. Structures 2020, 27, 1231–1245. [Google Scholar] [CrossRef]
- Tran, T.-H.; Dam, N.D.; Jalal, F.E.; Al-Ansari, N.; Ho, L.S.; Phong, T.V.; Iqbal, M.; Le, H.V.; Nguyen, H.B.T.; Prakash, I.; et al. GIS-Based Soft Computing Models for Landslide Susceptibility Mapping: A Case Study of Pithoragarh District, Uttarakhand State, India. Math. Probl. Eng. 2021, 2021, 9914650. [Google Scholar] [CrossRef]
- Rahimi, I.; Gandomi, A.H.; Asteris, P.G.; Chen, F. Analysis and Prediction of COVID-19 Using SIR, SEIQR, and Machine Learning Models: Australia, Italy, and UK Cases. Information 2021, 12, 109. [Google Scholar] [CrossRef]








| Variable | Symbol | Units | Category | Statistics | |||
|---|---|---|---|---|---|---|---|
| Min | Average | Max | STD | ||||
| Gravel content | G | % | Input | 0 | 51.4 | 24.75 | 13.295 |
| Coarse Sand content | CS | % | Input | 3 | 46.3 | 23.7 | 7.017 |
| Fine Sand content | FS | % | Input | 2.5 | 41.5 | 7.25 | 6.468 |
| Silt-Clay content | SC | % | Input | 17.87 | 88.7 | 44.55 | 10.447 |
| Organic content | OC | % | Input | 0.12 | 2.94 | 1.51 | 0.373 |
| Liquid Limit | LL | % | Input | 2.08 | 48.45 | 39.99 | 6.173 |
| Plastic Limit | PL | % | Input | 1.17 | 28.49 | 20.835 | 3.068 |
| Plasticity Index | PI | % | Input | 0.91 | 27.48 | 18.435 | 4.078 |
| Optimum Moisture Content | OMC | % | Input | 9.3 | 21.5 | 14.275 | 2.619 |
| Maximum Dry Density | MDD | g/cm3 | Input | 1.672 | 2.14 | 1.871 | 0.118 |
| California Bearing Ratio | CBR | - | Output | 3.09 | 41.26 | 7.95 | 8.175 |
| No | Parameters | Training | Testing |
|---|---|---|---|
| R2 | |||
| 1 | REPT | 0.937 | 0.709 |
| 2 | Randomsubspace—REPT | 0.939 | 0.783 |
| 3 | Randomsubspace—Extra Tree | 0.995 | 0.968 |
| MAE | |||
| 1 | REPT | 1.515 | 2.956 |
| 2 | Randomsubspace—REPT | 2.586 | 3.534 |
| 3 | Randomsubspace—Extra Tree | 0.530 | 1.728 |
| RMSE | |||
| 1 | REPT | 2.765 | 6.424 |
| 2 | Randomsubspace—REPT | 3.630 | 5.885 |
| 3 | Randomsubspace—Extra Tree | 0.960 | 2.725 |
Publisher’s Note: MDPI stays neutral with regard to jurisdictional claims in published maps and institutional affiliations. |
© 2021 by the authors. Licensee MDPI, Basel, Switzerland. This article is an open access article distributed under the terms and conditions of the Creative Commons Attribution (CC BY) license (https://creativecommons.org/licenses/by/4.0/).
Share and Cite
Trong, D.K.; Pham, B.T.; Jalal, F.E.; Iqbal, M.; Roussis, P.C.; Mamou, A.; Ferentinou, M.; Vu, D.Q.; Duc Dam, N.; Tran, Q.A.; et al. On Random Subspace Optimization-Based Hybrid Computing Models Predicting the California Bearing Ratio of Soils. Materials 2021, 14, 6516. https://doi.org/10.3390/ma14216516
Trong DK, Pham BT, Jalal FE, Iqbal M, Roussis PC, Mamou A, Ferentinou M, Vu DQ, Duc Dam N, Tran QA, et al. On Random Subspace Optimization-Based Hybrid Computing Models Predicting the California Bearing Ratio of Soils. Materials. 2021; 14(21):6516. https://doi.org/10.3390/ma14216516
Chicago/Turabian StyleTrong, Duong Kien, Binh Thai Pham, Fazal E. Jalal, Mudassir Iqbal, Panayiotis C. Roussis, Anna Mamou, Maria Ferentinou, Dung Quang Vu, Nguyen Duc Dam, Quoc Anh Tran, and et al. 2021. "On Random Subspace Optimization-Based Hybrid Computing Models Predicting the California Bearing Ratio of Soils" Materials 14, no. 21: 6516. https://doi.org/10.3390/ma14216516
APA StyleTrong, D. K., Pham, B. T., Jalal, F. E., Iqbal, M., Roussis, P. C., Mamou, A., Ferentinou, M., Vu, D. Q., Duc Dam, N., Tran, Q. A., & Asteris, P. G. (2021). On Random Subspace Optimization-Based Hybrid Computing Models Predicting the California Bearing Ratio of Soils. Materials, 14(21), 6516. https://doi.org/10.3390/ma14216516

