Low—Permittivity Copolymerized Polyimides with Fluorene Rigid Conjugated Structure
Abstract
:1. Introduction
2. Materials and Methods
2.1. Materials
2.2. Methods
2.3. Characterization
3. Results and Discussion
3.1. Morphology of the CPI Films with Various Copolymerization Units
3.2. Thermal and Mechanical Properties of the CPI Films
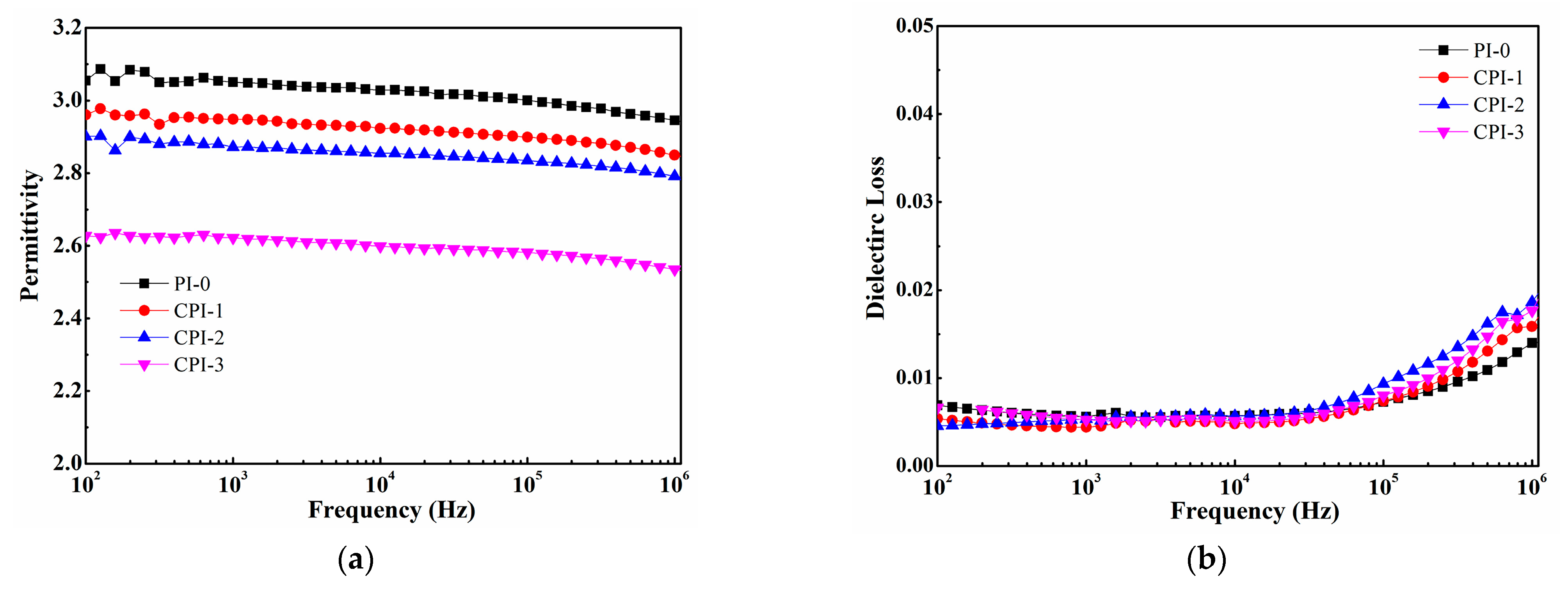
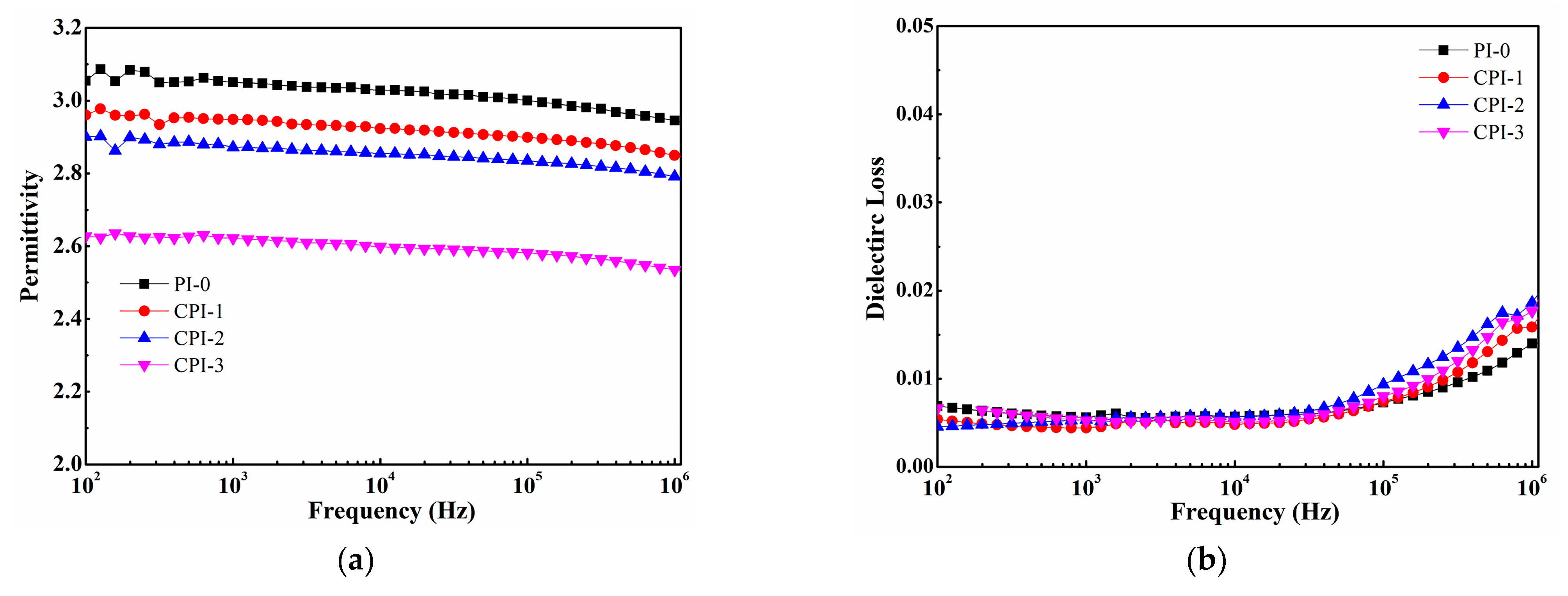
3.3. Dielectric Properties of the CPI Films
3.4. Hydrophobicity Properties of the CPI Films
4. Conclusions
Author Contributions
Funding
Institutional Review Board Statement
Informed Consent Statement
Data Availability Statement
Acknowledgments
Conflicts of Interest
References
- Bei, R.X.; Qian, C.; Zhang, Y.; Chi, Z.G.; Liu, S.W.; Chen, X.D.; Xu, J.R.; Aldred, M.P. Intrinsic low dielectric constant polyimides: Relationship between molecular structure and dielectric properties. J. Mater. Chem. C 2017, 5, 12807–12815. [Google Scholar] [CrossRef]
- Zha, J.W.; Jia, H.J.; Wang, H.Y.; Dang, Z.M. Tailored ultralow permittivity in high-performance fluorinated polyimide films by adjusting nanoporous characteristics. J. Phys. Chem. C 2012, 116, 23676–23681. [Google Scholar] [CrossRef]
- Meador, M.A.B.; Malow, E.J.; Silva, R.; Wright, S.; Quade, D.; Vivod, S.L.; Guo, H.Q.; Guo, J.; Cakmak, M. Mechanically strong, flexible polyimide aerogels cross-linked with aromatic triamine. ACS Appl. Mater. Interfaces 2012, 4, 536–544. [Google Scholar] [CrossRef] [PubMed]
- Liu, M.Y.; Wang, Y.X.; Ji, J.Q.; Chang, X.H.; Xu, Q.; Liu, X.Y.; Qin, J.Q. A facile method to fabricate the polyimide aerogels with controllable microstructure by freeze-drying. Mater. Lett. 2020, 267, 127558–127561. [Google Scholar] [CrossRef]
- Zhu, Z.X.; Yao, H.J.; Wang, F.; Dong, J.X.; Wu, K.D.; Cao, J.X.; Long, D.H. Fiber reinforced polyimide aerogel composites with high mechanical strength for high temperature insulation. Macromol. Mater. Eng. 2019, 304, 1800676–1800683. [Google Scholar] [CrossRef]
- Liu, Y.W.; Qian, C.; Qu, L.J.; Wu, Y.N.; Zhang, Y.; Wu, X.H.; Bing, Z.; Chen, W.X.; Chen, Z.Q.; Chi, Z.G.; et al. A bulk dielectric polymer film with intrinsic ultralow dielectric constant and outstanding comprehensive properties. Chem. Mater. 2015, 27, 6543–6549. [Google Scholar] [CrossRef]
- Qiu, G.; Ma, W.; Wu, L. Low dielectric constant polyimide mixtures fabricated by polyimide matrix and polyimide microsphere fillers. Polym. Int. 2020, 69, 485–491. [Google Scholar] [CrossRef]
- Kurimoto, M.; Kato, T.; Yoshida, T.; Kato, C.; Suzuoki, Y. Low permittivity epoxy nanoporous composites filled with hollow nanosilica. IET Nanodielectrics 2019, 2, 109–113. [Google Scholar] [CrossRef]
- Song, N.N.; Yao, H.Y.; Ma, T.N.; Wang, T.J.; Shi, K.X.; Tian, Y.; Zhang, B.; Zhu, S.Y.; Zhang, Y.H.; Guan, S.W. Decreasing the dielectric constant and water uptake by introducing hydrophobic cross-linked networks into co-polyimide films. Appl. Surf. Sci. 2019, 480, 90–997. [Google Scholar] [CrossRef]
- Gao, F.; Guo, Y.; Zhang, K.; Meng, N.; Szafran, M. Microstructure and dielectric properties of sub-micron hollow sphere (Ba0.6Sr0.4) TiO3/PVDF composites. IET Nanodielectrics 2019, 2, 135–141. [Google Scholar] [CrossRef]
- Dong, W.; Guan, Y.; Shang, D. Novel soluble polyimides containing pyridine and fluorinated units: Preparation, characterization, and optical and dielectric properties. RSC Adv. 2016, 6, 21662–21671. [Google Scholar] [CrossRef]
- Cheng, T.J.; Lv, G.P.; Li, Y.T.; Yun, H.; Zhang, L.F.; Deng, Y.M.; Lin, L.P.; Luo, X.J.; Nan, J.M. Low Dielectric Polyimide/Fluorinated Ethylene Propylene (PI/FEP) Nanocomposite Film for High-Frequency Flexible Circuit Board Application. Macromol. Mater. Eng. 2021, 306, 2100086–2100094. [Google Scholar] [CrossRef]
- Zhang, K.; Han, L.; Froimowicz, P.; Ishida, I. A smart latent catalyst containing o-trifluoroacetamide functional benzoxazine: Precursor for low temperature formation of very high Performance polybenzoxazole with low dielectric constant and high thermal stability. Macromolecules 2017, 50, 6552–6560. [Google Scholar] [CrossRef]
- Chen, W.X.; Zhou, Z.X.; Yang, T.T.; Bei, R.X.; Zhang, Y.; Liu, S.W.; Chi, Z.G.; Chen, X.D.; Xu, J.R. Synthesis and properties of highly organosoluble and low dielectric constant polyimides containing non-polar bulky triphenyl methane moiety. React. Funct. Polym. 2016, 108, 71–77. [Google Scholar] [CrossRef]
- Zhang, Y.; Yu, L.; Su, Q.; Zheng, H.; Huang, H.; Chan, H.L.W. Fluorinated polyimide-silica films with low permittivity and low dielectric loss. J. Mater. Sci. 2012, 47, 1958–1963. [Google Scholar] [CrossRef]
- Kourakataa, Y.; Onoderaa, T.; Kasaia, H.; Jinnaia, H.; Oikawaab, H. Ultra-low dielectric properties of porous polyimide thin films fabricated by using the two kinds of templates with different particle sizes. Polymer 2021, 212, 123115–123120. [Google Scholar] [CrossRef]
- Yang, K.; Kang, Y.Y.; Ahn, H.J.; Kim, D.G.; Park, N.K.; Choi, S.Q.; Won, J.C.; Kim, Y.H. Porous boron nitride/polyimide composite films with high thermal diffusivity and low dielectric properties via high internal phase Pickering emulsion method. J. Ind. Eng. Chem. 2020, 82, 173–179. [Google Scholar] [CrossRef]
- Joseph, A.M.; Nagendra, B.; Surendran, K.P.; Gowd, E.B. Syndiotactic polystyrene/hybrid silica spheres of POSS siloxane composites exhibiting ultralow dielectric constant. ACS Appl. Mater. Interfaces 2015, 7, 19474–19483. [Google Scholar] [CrossRef]
- Kim, J.; Kwon, J.; Kim, M.; Do, J.; Lee, D.; Han, H. Low-dielectric-constant polyimide aerogel composite films with low water uptake. Polym. J. 2016, 48, 829–834. [Google Scholar] [CrossRef]
- Yuan, C.; Wang, J.; Jin, K.; Diao, S.; Sun, J.; Tong, J.; Fang, Q. Postpolymerization of functional organ siloxanes: An efficient strategy for preparation of low-k material with enhanced thermostability and mechanical properties. Macromolecules 2014, 47, 6311–6315. [Google Scholar] [CrossRef]
- Martin, S.J.; Godschalx, J.P.; Mills, M.E.; Shaffer II, E.O. Development of a low-dielectric-constant polymer for the fabrication of integrated circuit interconnect. Adv. Mater. 2000, 12, 1769–1778. [Google Scholar] [CrossRef]
- Lei, X.; Chen, Y.; Qiao, M.; Tian, L.; Zhang, Q. Hyperbranched polysiloxane (HBPSi)-based polyimide films with ultralow dielectric permittivity, desirable mechanical and thermal properties. J. Mater. Chem. C 2016, 4, 2134–2146. [Google Scholar] [CrossRef]
- Dong, F.P.; Li, H.W.; Lu, L.Y.; Xiong, Y.Z.; Ha, C.S. High-Tg porous polyimide films with low dielectric constant derived from spiro-(adamantane-2,9′(2′,7′-diamino)-fluorene). Appl. Polym. 2019, 304, 1900252–1900257. [Google Scholar]
- Meador, M.A.B.; Mcmillon, E.; Sandberg, A. Dielectric and other properties of polyimide aerogels containing fluorinated blocks. ACS Appl. Mater. Interfaces 2014, 6, 6062–6068. [Google Scholar] [CrossRef]
- Ghosh, A.; Sen, S.K.; Banerjee, S.; Voit, B. Solubility improvements in aromatic polyimides by macromolecular engineering. RSC Adv. 2012, 2, 5900–5926. [Google Scholar] [CrossRef]
- Wu, T.T.; Dong, J.; Gan, F.; Fang, Y.T.; Zhao, X.; Zhang, Q.H. Low dielectric constant and moisture-resistant polyimide aerogels containing trifluoromethyl pendent groups. Appl. Surf. Sci. 2018, 404, 595–605. [Google Scholar] [CrossRef]
- Liu, L.P.; Lv, F.Z.; Li, P.G.; Ding, L.; Tong, W.S.; Chu, P.K.; Zhang, Y.H. Preparation of ultra-low dielectric constant silica/polyimide nanofiber membranes by electrospinning. Compos. Part A Appl. Sci. Manuf. 2016, 84, 292–298. [Google Scholar] [CrossRef]
- Gao, H.; Yorifujia, D.; Jiang, Z.H.; Ando, S. Thermal and optical properties of hyperbranched fluorinated polyimide/mesoporous SiO2 nanocomposites exhibiting high transparency and reduced thermo-optical coefficients. Polymer 2014, 55, 2848–2855. [Google Scholar] [CrossRef]
- Zhuang, Y.B.; Seong, J.G.; Do, Y.S.; Jo, H.J.; Cui, Z.L.; Lee, J.; Lee, Y.M.; Guiver, M.D. Intrinsically Microporous Soluble Polyimides Incorporating Tröger’s Base for Membrane Gas Separation. Macromolecules 2014, 47, 3254–3262. [Google Scholar] [CrossRef] [Green Version]
- Jiang, Q.Y.; Zhang, W.H.; Hao, J.M.; Wei, Y.F.; Mu, J.X.; Jiang, Z.H. A unique “cage-cage” shaped hydrophobic fluoropolymer film derived from a novel double-decker structural POSS with a low dielectric constant. J. Mater. Chem. C 2015, 3, 11729–11734. [Google Scholar] [CrossRef]
- Volksen, W.; Miller, R.D.; Dubois, G. Low dielectric constant materials. Chem. Rev. 2010, 110, 56–110. [Google Scholar] [CrossRef] [PubMed]
- Huang, W.P.; Zeng, F.; Zhao, J.Q.; Zhu, W.S.; Hui, L.S. Low dielectric constant polymer. Synth. Mater. Aging Appl. 2008, 37, 39–44. [Google Scholar]
- Park, S.J.; Cho, K.S.; Kim, S.H. A study on dielectric characteristics of fluorinated polyimide thin film. J. Colloid Interface Sci. 2004, 272, 384–390. [Google Scholar] [CrossRef] [PubMed]
- Sun, M.Z. Fundamentals of Dielectric Physics, 1st ed.; South China University of Technology Press: Guangzhou, China, 2000; pp. 130–132. [Google Scholar]





| Samples | Td5% (°C) | Td10% (°C) | Tensile Strength (MPa) | Percentage of Breaking Elongation (%) | Elastic Modulus (GPa) |
|---|---|---|---|---|---|
| PI-0 | 514 | 554 | 186.15 | 23.75 | 2.79 |
| CPI-1 | 532 | 562 | 171.49 | 9.73 | 3.13 |
| CPI-2 | 535 | 567 | 115.66 | 6.93 | 3.76 |
| CPI-3 | 541 | 571 | 96.09 | 3.48 | 4.00 |
Publisher’s Note: MDPI stays neutral with regard to jurisdictional claims in published maps and institutional affiliations. |
© 2021 by the authors. Licensee MDPI, Basel, Switzerland. This article is an open access article distributed under the terms and conditions of the Creative Commons Attribution (CC BY) license (https://creativecommons.org/licenses/by/4.0/).
Share and Cite
Dong, X.; Zheng, M.; Wan, B.; Liu, X.; Xu, H.; Zha, J. Low—Permittivity Copolymerized Polyimides with Fluorene Rigid Conjugated Structure. Materials 2021, 14, 6266. https://doi.org/10.3390/ma14216266
Dong X, Zheng M, Wan B, Liu X, Xu H, Zha J. Low—Permittivity Copolymerized Polyimides with Fluorene Rigid Conjugated Structure. Materials. 2021; 14(21):6266. https://doi.org/10.3390/ma14216266
Chicago/Turabian StyleDong, Xiaodi, Mingsheng Zheng, Baoquan Wan, Xuejie Liu, Haiping Xu, and Junwei Zha. 2021. "Low—Permittivity Copolymerized Polyimides with Fluorene Rigid Conjugated Structure" Materials 14, no. 21: 6266. https://doi.org/10.3390/ma14216266
APA StyleDong, X., Zheng, M., Wan, B., Liu, X., Xu, H., & Zha, J. (2021). Low—Permittivity Copolymerized Polyimides with Fluorene Rigid Conjugated Structure. Materials, 14(21), 6266. https://doi.org/10.3390/ma14216266
