Effect of Fly Ash on Leaching Characteristics of Cement-Stabilized Macadam Base
Abstract
:1. Introduction
2. Materials and Methods
2.1. Materials
2.1.1. Cement
2.1.2. Fly Ash
2.1.3. Aggregate
2.1.4. Water for Test
2.1.5. Ammonium Chloride
2.1.6. EDTA Standard Titration Solution
2.2. Mixture Design
2.2.1. Gradation Design
2.2.2. Optimal Water Content and Maximum Dry Density
2.2.3. Preparation and Maintenance of Samples
2.3. Experimental Methods
2.3.1. Accelerated Leaching of Ammonium Chloride
2.3.2. Calcium Ion Concentration Determination
2.3.3. Porosity Test
2.3.4. Water Permeability
3. Results and Discussion
3.1. Leaching Amount of Calcium Ion
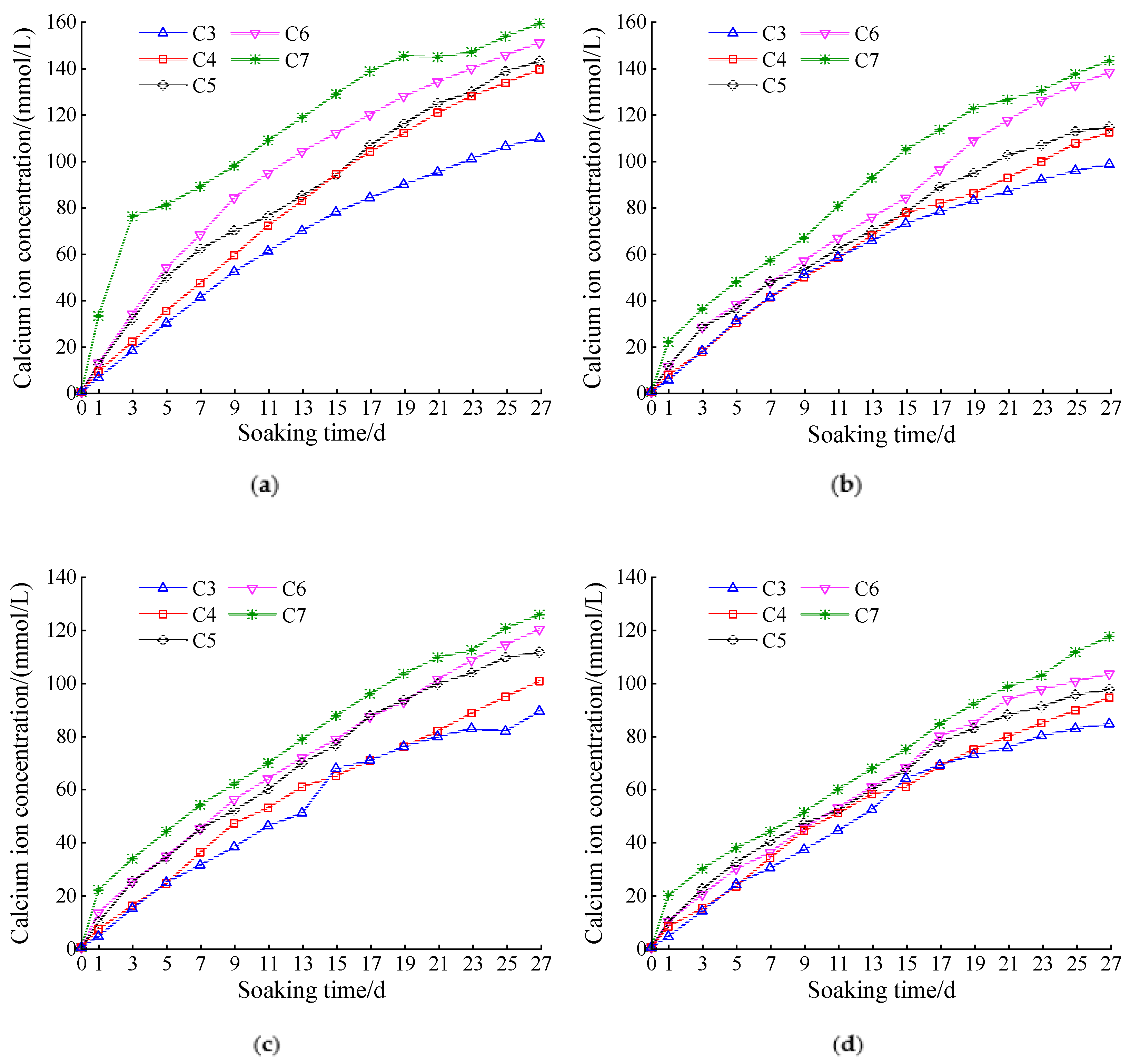
3.1.1. Effect of Cement Dosage on Calcium Ion Concentration
3.1.2. Effect of Cement Dosage on the Calcium Ion Leaching Rate
3.1.3. Effect of Fly Ash Content on Calcium Ion Concentration
3.2. Porosity Variation
3.2.1. Effect of Cement Dosage on Porosity
3.2.2. Influence of Fly Ash Content on the Porosity
3.3. Permeability
4. Conclusions
- (1)
- During the leaching of cement-stabilized macadam material, the leaching of calcium ions increased with the cement dosage. For example, when the cement dosage was 7% and no fly ash was added, the quantity of calcium ions leached out at the early stage of leaching was significantly greater than those of the samples at other cement dosages. However, with the increase in the fly ash content, the gap between the two was significantly reduced.
- (2)
- With an increase in the cement dosage, the porosity of the samples and the leaching rate of the calcium ions reduced, and the leaching process was delayed. The cement dosage should be at least 5% when the base material is not mixed with the fly ash. The minimum cement dosage should be 4% when the base material is mixed with the fly ash.
- (3)
- The addition of fly ash can effectively reduce the degree of calcium leaching. However, the effect of fly ash was not the same with different cement dosages. When the cement dosage was 3%, the addition of fly ash did not significantly reduce the leaching of calcium ions. When the cement dosage was greater than 3%, the slow-down effect of the fly ash on calcium ion leaching increased continuously with the cement dosage in the test samples.
- (4)
- In the leaching process of the cement-stabilized macadam material, the permeability coefficient increased gradually with the leaching time. Therefore, the increase in fly ash content had a more significant effect on the improvement of the permeability coefficient than the increase in cement dosage did.
Author Contributions
Funding
Institutional Review Board Statement
Informed Consent Statement
Data Availability Statement
Acknowledgments
Conflicts of Interest
References
- Chunling, G. Degradation Mechanism of Concrete Due to Calcium. Master’s Thesis, Zhejiang University, Zhejiang, China, March 2012. [Google Scholar]
- Xinzhu, Z.; Lingyan, Y.; Jianjun, Z. An experimental study on the degradation of mechanical properties leached concrete. J. Zhejiang Univ. Technol. 2016, 44, 524–528. [Google Scholar]
- Xiangzhi, K.; Gaixin, C.; Guojin, J.; Shuguang, L. Experimental study on accelerating effect of ammonium nitrate on the calcium leaching of dam concrete. Concrete 2017, 4, 34–37. [Google Scholar]
- Chongbo, G. Fracture Parameter Analysis of Concrete Subjected to Calcium Leaching. Master’s Thesis, Zhejiang University, Zhejiang, China, March 2018. [Google Scholar]
- Zhongzheng, D. Research on Dissolution Characteristics and Deterioration Mechanism of Complex Cementitious Materials. Master’s Thesis, Changjiang River Scientific Research Institute, Wuhan, China, June 2017. [Google Scholar]
- Haiyan, S. Study on FA Critical Dosage of Hydraulic Concrete Based on the Microstructure Characteristic and Deterioration Mechanism. Master’s Thesis, Wuhan University, Wuhan, China, May 2010. [Google Scholar]
- Shuangxin, S. Research on Leaching Behavior of Plastic Concrete Based on Electrochemical Accelerating Mechanism. Master’s Thesis, Harbin Institute of Technology, Harbin, China, June 2011. [Google Scholar]
- Faucon, P.; Le Bescop, P.; Adenot, F.; Bonville, P.; Jacquinot, J.; Pineau, F.; Felix, B. Leaching of cement: Study of the surface layer. Cem. Concr. Res. 1996, 26, 1707–1715. [Google Scholar] [CrossRef]
- Faucon, P.; Adenot, F.; Jacquinot, J.; Petit, J.; Cabrillac, R.; Jorda, M. Long-term behaviour of cement pastes used for nuclear waste disposal: Review of physico-chemical mechanisms of water degradation. Cem. Concr. Res. 1998, 28, 847–857. [Google Scholar] [CrossRef]
- Haga, K.; Sutou, S.; Hironaga, M.; Tanaka, S.; Nagasaki, S. Effects of porosity on leaching of Ca from hardened ordinary Portland cement paste. Cem. Concr. Res. 2004, 35, 1764–1775. [Google Scholar] [CrossRef]
- Tognazzi-Lawrence, C. Couplage Fissuration-Dégradation Chimique Dans Les Matériaux Cimentaires: Caractérisation ET MO-Délisation. Ph.D. Thesis, INSA, Toulouse, France, 1998. [Google Scholar]
- Hassan, B.; Tiefeng, C.; Miao, R.; Xiaojian, G.; Anshuang, S. Influence of silica fume, metakaolin & SBR latex on strength and durability performance of pervious concrete. Constr. Build. Mater. 2021, 275, 122124. [Google Scholar]
- Song, Z.; Liu, Y.; Jiang, L.; Guo, M.; Chen, J.; Wang, W.; Xu, N. Determination of calcium leaching behavior of cement pastes exposed to ammonium chloride aqueous solution via an electrochemical impedance spectroscopic approach. Constr. Build. Mater. 2018, 196, 267–276. [Google Scholar] [CrossRef]
- Amenta, M.; Karatasios, I.; Psycharis, V.; Maravelaki, P.; Kilikoglou, V. The leaching mechanism of hydraulic mortars as part of autogenic self-healing process. J. Cult. Herit. 2020, 46. [Google Scholar] [CrossRef]
- Long, W.-J.; Ye, T.; Gu, Y.-C.; Li, H.-D.; Xing, F. Inhibited effect of graphene oxide on calcium leaching of cement pastes. Constr. Build. Mater. 2019, 202, 177–188. [Google Scholar] [CrossRef]
- Ferdous, W.; Manalo, A.; Siddique, R.; Mendis, P.; Zhuge, Y.; Wong, H.S.; Lokuge, W.; Aravinthan, T.; Schubel, P. Recycling of landfill wastes (tyres, plastics and glass) in construction–A review on global waste generation, performance, application and future opportunities. Resour. Conserv. Recycl. 2021, 173, 105745. [Google Scholar] [CrossRef]
- Yuehong, M. Characteristics and comprehensive utilization of fly ash. Northwest China Electr. Power 2004, 3, 45–48. [Google Scholar]
- Ferdous, W.; Manalo, A.; Aravinthan, T.; Van Erp, G. Properties of epoxy polymer concrete matrix: Effect of resin-to-filler ratio and determination of optimal mix for composite railway sleepers. Constr. Build. Mater. 2016, 124, 287–300. [Google Scholar] [CrossRef]
- Peng, Y.; Allan, M.; Wahid, F.; Rajab, A.; Choman, S.; Tom, H.; Peter, S. Investigation on the physical, mechanical and mi-crostructural properties of epoxy polymer matrix with crumb rubber and short fibres for composite railway sleepers. Constr. Build. Mater. 2021, 295, 123700. [Google Scholar]
- Kunhe, F.; Yan, R.; Li, Z. Late-age properties of RCC with low cement content and high fly ash content. J. Hy-Droelectr. Eng. 1999, 04, 18–25. [Google Scholar]
- Rozière, E.; Loukili, A.; El Hachem, R.; Grondin, F. Durability of concrete exposed to leaching and external sulphate attacks. Cem. Concr. Res. 2009, 39, 1188–1198. [Google Scholar] [CrossRef] [Green Version]
- Shaoli, H. Experimental Study on Corrosion Behavior of Mineral Sdmixture Concrete in Soft Water. Master’s Thesis, Nanjing University of Science & Technology, Nanjing, China, 2019. [Google Scholar]
- Zhengqing, F.; Yujuan, T.; Shaoli, H.; Haiquan, Z. Influence of fly ash on leaching behavior of cement paste. Low Temp. Archit. Technol. 2018, 40, 9–13. [Google Scholar]
- Gérard, B.; Le Bellego, C.; Bernard, O. Simplified modelling of calcium leaching of concrete in various environments. Mater. Struct. 2002, 35, 632–640. [Google Scholar] [CrossRef]
- Nguyen, V.H.; Nedjar, B.; Torrenti, J.M. Chemo-mechanical coupling behaviour of leached concrete. Nucl. Eng. Des. 2007, 237, 20. [Google Scholar] [CrossRef]
- Wan, K.; Li, L.; Sun, W. Solid-liquid equilibrium curve of calcium in 6 mol/L ammonium nitrate solution. Pergamon 2013, 53, 44–50. [Google Scholar]
- Wan, K.; Li, Y.; Sun, W. Experimental and modelling research of the accelerated calcium leaching of cement paste in ammonium nitrate solution. Constr. Build. Mater. 2012, 40, 832–846. [Google Scholar] [CrossRef]
- Taylor, H. The Chemistry of Cements; Academic Press; Elsevier: Cambridge, MA, USA, 1964. [Google Scholar]
- Guodong, L. Characteristics of Structure, Shape and Activity of Fly Ash. Fly Ash Compr. Util. 1998, 3, 37–40. [Google Scholar]
- Congling, W.; Ling, P.; Qingrong, W.; Shaofeng, W. Experimental research about the permeability and corrosion of fly ash concrete with different rate of cao/Sio2 on the condition of pressured water. J. Wuhan Univ. Technol. 2000, 1, 25–27. [Google Scholar]
- Shaikh, F.; Supit, S. Compressive strength and durability properties of high volume fly ash (HVFA) concretes containing ultrafine fly ash (UFFA). Constr. Build. Mater. 2015, 82, 192–205. [Google Scholar] [CrossRef]
- Xiao, H.; Jingjing, F.; Chuanzhen, S.; Shanshan, W. Research on properties of ultrafine fly ash and cement cementitious materials under curing at 50 °C. J. Build. Mater. 2021, 24, 473–482. [Google Scholar]
- Martin, L.H.; Winnefeld, F.; Tschopp, E.; Müller, C.J.; Lothenbach, B. Influence of fly ash on the hydration of calcium sulfoaluminate cement. Cem. Concr. Res. 2017, 95, 152–163. [Google Scholar] [CrossRef]










| Chemical Compositions | SiO2 | Al2O3 | Fe2O3 | CaO | MgO | SO3 |
|---|---|---|---|---|---|---|
| Content (%) | 20.10 | 4.63 | 3.46 | 63.62 | 1.18 | 2.01 |
| Mineral Compositions | C3S | C2S | C3A | C4AF | CH2 |
|---|---|---|---|---|---|
| Content (%) | 64.39 | 9.08 | 6.42 | 10.53 | 4.32 |
| Components | SiO2 | CaO | Al2O3 | Fe2O3 | MgO | Others |
|---|---|---|---|---|---|---|
| Content (%) | 53.36 | 2.27 | 29.09 | 3.87 | 0.81 | 10.6 |
| Sieve Size (m) | Percentage of Pass at Different Residual Voids (%) | ||||
|---|---|---|---|---|---|
| 3% | 4% | 5% | 6% | 7% | |
| 31.5 | 100 | 100 | 100 | 100 | 100 |
| 19.0 | 67 | 70 | 72 | 73 | 74 |
| 9.5 | 46 | 49 | 51 | 54 | 55 |
| 4.75 | 31 | 34 | 37 | 39 | 41 |
| 2.36 | 21 | 24 | 26 | 29 | 31 |
| 1.18 | 14 | 17 | 19 | 21 | 23 |
| 0.6 | 10 | 12 | 14 | 15 | 17 |
| 0.3 | 7 | 8 | 10 | 11 | 13 |
| 0.15 | 4 | 6 | 7 | 8 | 9 |
| 0.075 | 3 | 4 | 5 | 6 | 7 |
| n | 5.420 | 5.595 | 5.735 | 5.853 | 5.954 |
| NO. | Cement Dosage | Cement: Fly Ash | Optimum Water Content | Maximum Dry Density |
|---|---|---|---|---|
| C3FA0 | 3% | 1:0 | 4.11 | 2.213 |
| C3FA1 | 1:0.1 | 4.12 | 2.224 | |
| C3FA2 | 1:0.2 | 4.22 | 2.233 | |
| C3FA3 | 1:0.3 | 4.30 | 2.247 | |
| C4FA0 | 4% | 1:0 | 4.41 | 2.251 |
| C4FA1 | 1:0.1 | 4.52 | 2.273 | |
| C4FA2 | 1:0.2 | 4.65 | 2.284 | |
| C4FA3 | 1:0.3 | 4.73 | 2.295 | |
| C5FA0 | 5% | 1:0 | 4.60 | 2.290 |
| C5FA1 | 1:0.1 | 4.65 | 2.331 | |
| CFA2 | 1:0.2 | 4.76 | 2.353 | |
| C5FA3 | 1:0.3 | 4.82 | 2.390 | |
| C6FA0 | 6% | 1:0 | 4.93 | 2.362 |
| C6FA1 | 1:0.1 | 5.02 | 2.401 | |
| C6FA2 | 1:0.2 | 5.13 | 2.436 | |
| C6FA3 | 1:0.3 | 5.46 | 2.473 | |
| C7FA0 | 7% | 1:0 | 5.24 | 2.440 |
| C7FA1 | 1:0.1 | 5.31 | 2.443 | |
| C7FA2 | 1:0.2 | 5.44 | 2.448 | |
| C7FA3 | 1:0.3 | 5.72 | 2.451 |
Publisher’s Note: MDPI stays neutral with regard to jurisdictional claims in published maps and institutional affiliations. |
© 2021 by the authors. Licensee MDPI, Basel, Switzerland. This article is an open access article distributed under the terms and conditions of the Creative Commons Attribution (CC BY) license (https://creativecommons.org/licenses/by/4.0/).
Share and Cite
Lun, D.; Yuan, T.; Yang, X.; Rong, H.; Shi, J.; Pan, M. Effect of Fly Ash on Leaching Characteristics of Cement-Stabilized Macadam Base. Materials 2021, 14, 5935. https://doi.org/10.3390/ma14205935
Lun D, Yuan T, Yang X, Rong H, Shi J, Pan M. Effect of Fly Ash on Leaching Characteristics of Cement-Stabilized Macadam Base. Materials. 2021; 14(20):5935. https://doi.org/10.3390/ma14205935
Chicago/Turabian StyleLun, Dian, Taiping Yuan, Xiaolong Yang, Hongliu Rong, Junjie Shi, and Minqiang Pan. 2021. "Effect of Fly Ash on Leaching Characteristics of Cement-Stabilized Macadam Base" Materials 14, no. 20: 5935. https://doi.org/10.3390/ma14205935
APA StyleLun, D., Yuan, T., Yang, X., Rong, H., Shi, J., & Pan, M. (2021). Effect of Fly Ash on Leaching Characteristics of Cement-Stabilized Macadam Base. Materials, 14(20), 5935. https://doi.org/10.3390/ma14205935

