Transparent Glasses and Glass-Ceramics in the Ternary System TeO2-Nb2O5-PbF2
Abstract
1. Introduction
2. Materials and Methods
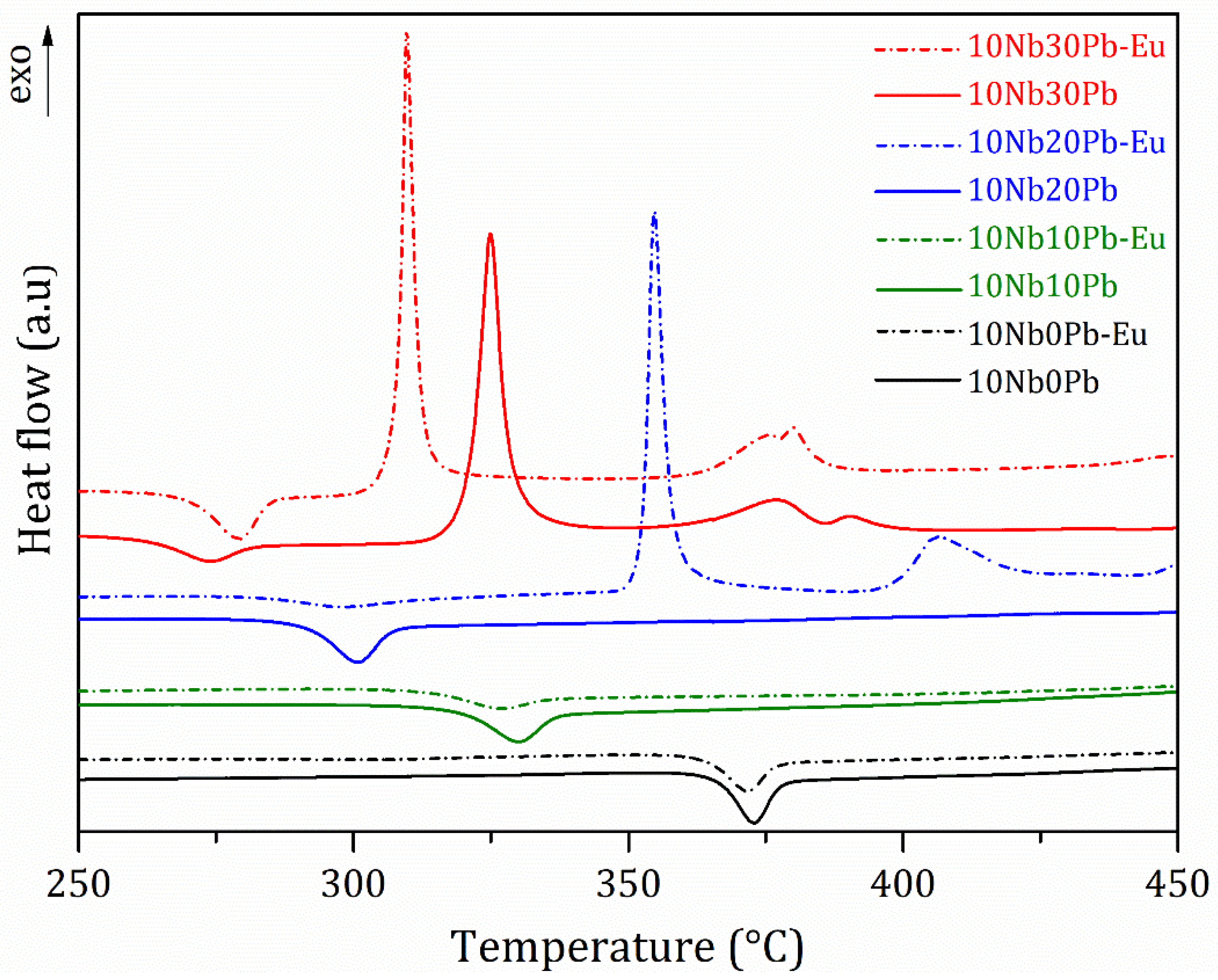
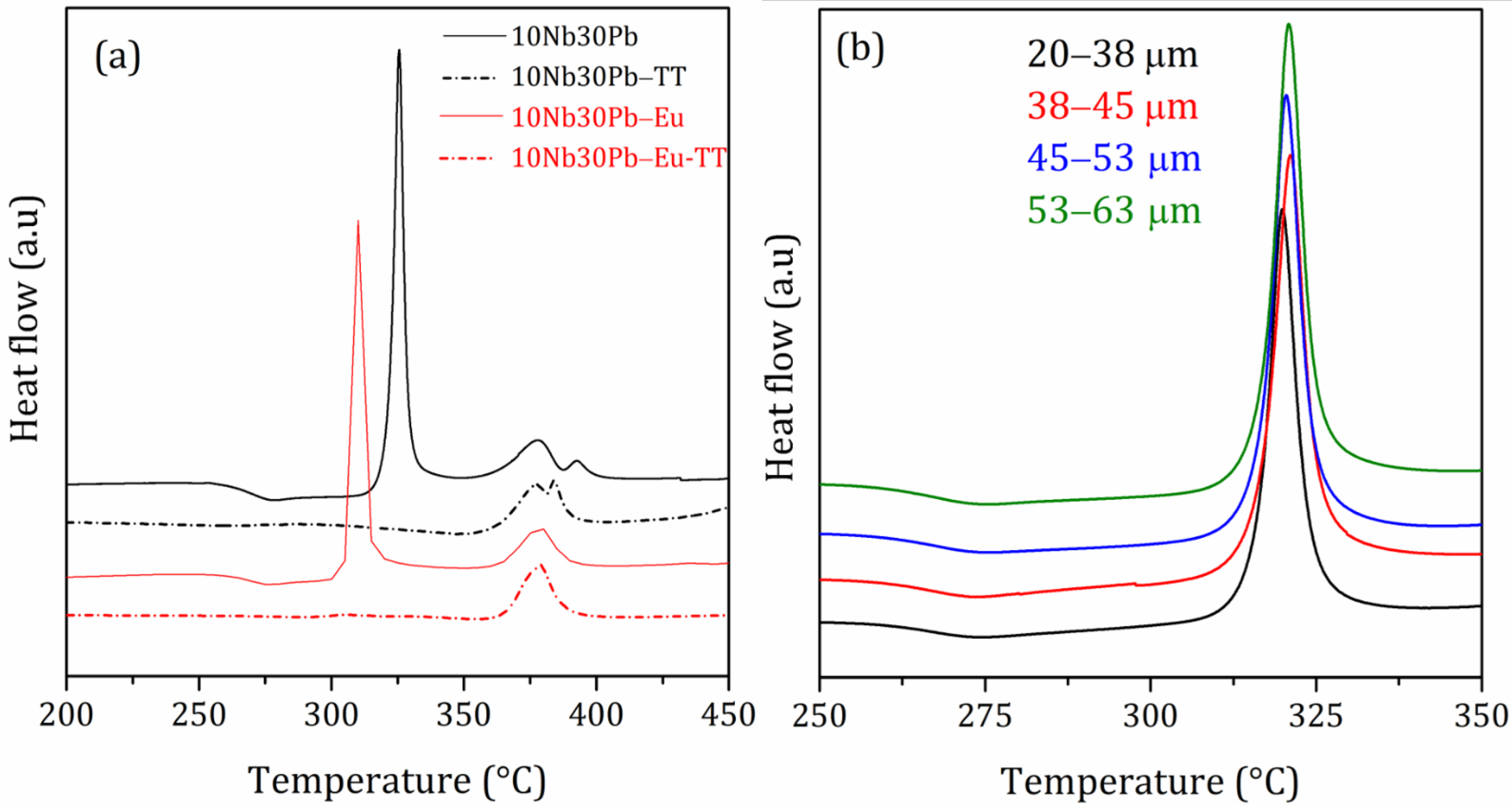
3. Results and Discussion
4. Conclusions
Author Contributions
Funding
Institutional Review Board Statement
Informed Consent Statement
Data Availability Statement
Conflicts of Interest
References
- Polishchuk, S.A.; Ignat’eva, L.N.; Marchenko, Y.V.; Bouznik, V.M. Oxyfluorideglasses: A review. Glass Phys. Chem. 2011, 37, 1–20. [Google Scholar] [CrossRef]
- Adam, J.L. Fluorideglass research in France. J. Fluor. Chem. 2001, 107, 265–270. [Google Scholar] [CrossRef]
- Dejneka, M.J. Theluminescence and structure of novel, transparent oxyfluoride glass-ceramics. J. Non Cryst. Solids 1998, 239, 149–155. [Google Scholar] [CrossRef]
- Fedorov, P.P.; Luginina, A.A.; Popov, A.I. Transparentoxyfluoride glass ceramics. J. Fluor. Chem. 2015, 172, 22–50. [Google Scholar] [CrossRef]
- Dejneka, M.J. Transparentoxyfluoride glass ceramics. MRS Bull. 1998, 23, 57–62. [Google Scholar] [CrossRef]
- Tran, D.C.; Sigel, G.H.; Bendow, B. Heavymetal fluoride glasses and fibers: A review. J. Lightwave Technol. 1984, 2, 566–586. [Google Scholar] [CrossRef]
- Lakshminarayana, G.; Yang, R.; Qiu, J.R.; Brik, M.G.; Kumar, G.A.; Kityk, I.V. Whitelight emission from Sm3+/Tb3+ codoped oxyfluoride aluminosilicate glasses under UV light excitation. J. Phys. D Appl. Phys. 2009, 42, 015414. [Google Scholar] [CrossRef]
- Guo, H.; Wang, X.F.; Chen, J.D.; Li, F. Ultravioletlight induced white light emission in Ag and Eu3+ co-doped oxyfluoride glasses. Opt. Express 2010, 18, 18900–18905. [Google Scholar] [CrossRef]
- Lakshminarayana, G.; Yang, H.; Qiu, J. Whitelight emission from Tm3+/Dy3+ co-doped oxyfluoride germanate glasses under UV light excitation. J. Solid State Chem. 2009, 182, 669–676. [Google Scholar] [CrossRef]
- Xu, S.; Yang, Z.; Dai, S.; Yang, J.; Hu, L.; Jiang, Z. Spectralproperties and thermal stability of Er3+-doped oxyfluoride silicate glasses for broadband optical amplifier. J. Alloys Compd. 2003, 361, 313–319. [Google Scholar] [CrossRef]
- Lavin, V.; Babu, P.; Jayasankar, C.K.; Martın, I.R.; Rodrıguez, V.D. On the local structure of Eu3+ ions in oxyfluoride glasses. Comparison with fluoride and oxide glasses. J. Chem. Phys. 2001, 115, 10935–10944. [Google Scholar] [CrossRef]
- Feng, L.; Wang, J.; Tang, Q.; Liang, L.; Liang, H.; Su, Q. Opticalproperties of Ho3+-doped novel oxyfluoride glasses. J. Lumin. 2007, 124, 187–194. [Google Scholar] [CrossRef]
- Yang, Z.; Xu, S.; Hu, L.; Jiang, Z. Thermalanalysis and optical properties of Yb3+/Er3+-codoped oxyfluoride germanate glasses. J. Opt. Soc. Am. B 2004, 21, 951–957. [Google Scholar] [CrossRef]
- Xu, W.; Gao, X.; Zheng, L.; Zhang, Z.; Cao, W. Anoptical temperature sensor based on the upconversion luminescence from Tm3+/Yb3+ codoped oxyfluoride glass ceramic. Sens. Actuators B Chem. 2012, 173, 250–253. [Google Scholar] [CrossRef]
- Babu, P.; Jang, K.H.; Rao, C.S.; Shi, L.; Jayasankar, C.K.; Lavín, V.; Seo, H.J. Whitelight generation in Dy3+-doped oxyfluoride glass and transparent glass-ceramics containing CaF2 nanocrystals. Opt. Express 2011, 19, 1836–1841. [Google Scholar] [CrossRef] [PubMed]
- Abril, M.; Martín, I.R.; Rodríguez-Mendoza, U.R.; Lavín, V.; Delgado-Torres, A.; Rodríguez, V.D.; Núñez, P.; Lozano-Gorrín, A.D. Optical properties of Nd3+ ions in oxyfluoride glasses and glass ceramics comparing different preparation methods. J. Appl. Phys. 2004, 95, 5271–5279. [Google Scholar] [CrossRef]
- Takahashi, M.; Izuki, M.; Kanno, R.; Kawamoto, Y. Up-conversion characteristics of Er3+ in transparent oxyfluoride glass-ceramics. J. Appl. Phys. 1998, 83, 3920–3922. [Google Scholar] [CrossRef]
- Chen, D.; Wang, Y.; Yu, Y.; Ma, E.; Bao, F.; Hu, Z.; Cheng, Y. Influencesof Er3+ content on structure and upconversion emission of oxyfluoride glass ceramics containing CaF2 nanocrystals. Mater. Chem. Phys. 2006, 95, 264–269. [Google Scholar] [CrossRef]
- Mortier, M.; Bensalah, A.; Dantelle, G.; Patriarche, G.; Vivien, D. Rare-earth doped oxyfluoride glass-ceramics and fluoride ceramics: Synthesis and optical properties. Opt. Mater. 2007, 29, 1263–1270. [Google Scholar] [CrossRef]
- Borgman, V.A.; Glebov, L.B.; Nikonorov, N.V.; Petrovskii, G.T.; Savvin, V.V.; Tsvetkov, A.D. Photothermorefractiveeffect in silicate glasses. Dokl. Akad. Nauk SSSR 1989, 309, 336–339. Available online: http://mi.mathnet.ru/eng/dan/v309/i2/p336 (accessed on 15 June 2020).
- Efimov, O.M.; Glebov, L.B.; Glebova, L.N.; Richardson, K.C.; Smirnov, V.I. High-efficiency Bragg gratings in photothermorefractive glass. Appl. Opt. 1999, 38, 619–627. [Google Scholar] [CrossRef] [PubMed]
- Efimov, O.M.; Glebov, L.B.; Smirnov, V.I. High-frequency Bragg gratings in a photothermorefractive glass. Opt. Lett. 2000, 25, 1693–1695. [Google Scholar] [CrossRef] [PubMed]
- Ivanov, S.A.; Ignat’ev, A.I.; Nikonorov, N.V.; Aseev, V.A. Holographiccharacteristics of a modified photothermorefractive glass. J. Opt. Technol. 2014, 81, 356–360. [Google Scholar] [CrossRef]
- Souza, G.P.; Fokin, V.M.; Zanotto, E.D.; Lumeau, J.; Glebova, L.; Glebov, L.B. Microand nanostructures in partially crystallised photothermorefractive glass. Phys. Chem. Glasses B 2009, 50, 311–320. [Google Scholar]
- Nakamoto, K. Infraredand Raman Spectra of Inorganic and Coordination Compounds: Part A: Theory and Applications in Inorganic Chemistry, 6th ed.; John Wiley and Sons, Inc.: Hoboken, NJ, USA, 2009. [Google Scholar]
- El-Mallawany, R.A.H. Tellurite Glasses Handbook: Physical Properties and Data, 2nd ed.; CRC Press: Boca Raton, FL, USA, 2012. [Google Scholar]
- Jha, A.; Richards, B.; Jose, G.; Teddy-Fernandez, T.; Joshi, P.; Jiang, X.; Lousteau, J. Rare-earth ion doped TeO2 and GeO2 glasses as laser materials. Prog. Mater. Sci. 2012, 57, 1426–1491. [Google Scholar] [CrossRef]
- Bahgat, A.A.; Shaisha, E.E.; Sabry, A.I. Physical-properties of some rare-earth tellurite glasses. J. Mater. Sci. 1987, 22, 1323–1327. [Google Scholar] [CrossRef]
- Rolli, R.; Gatterer, K.; Wachtler, M.; Bettinelli, M.; Speghini, A.; Ajò, D. Opticalspectroscopy of lanthanide ions in ZnO-TeO2 glasses. Spectrochim. Acta A 2001, 57, 2009–2017. [Google Scholar] [CrossRef]
- El-Mallawany, R.; Patra, A.; Friend, C.S.; Kapoor, R.; Prasad, P.N. Studyof luminescence properties of Er3+-ions in new tellurite glasses. Opt. Mater. 2004, 26, 267–270. [Google Scholar] [CrossRef]
- El-Mallawany, R.A. Theoretical and experimental IR-spectra of binary rare-earth tellurite glasses. Infrared Phys. 1989, 29, 781–785. [Google Scholar] [CrossRef]
- Reinsfeld, R.; Boehm, L.; Eckstein, Y.; Lieblich, N. Multiphononrelaxation of rare-earth ions in borate, phosphate, germanate and tellurite glasses. J. Lumin. 1975, 10, 193–204. [Google Scholar] [CrossRef]
- Lin, J.; Huang, W.H.; Sun, Z.R.; Ray, C.S.; Day, D.E. Structureand non-linear optical performance of TeO2-Nb2O5-ZnO glasses. J. Non Cryst. Solids 2004, 336, 189–194. [Google Scholar] [CrossRef]
- Thomas, R.L.; Hari, M.; Nampoori, V.P.N.; Radhakrishnan, P.; Thomas, S. Optical non-linearity in ZnO doped TeO2 glasses. J. Optoelectron. Adv. Mater. 2011, 13, 523–527. [Google Scholar]
- Kassab, L.R.P.; Pinto, R.A.; Kobayashi, R.A.; Piasecki, M.; Bragiel, P.; Kityk, I.V. Photoinducednon-linear optics of Eu2O3 doped TeO2-GeO2-PbO glasses. J. Phys. D Appl. Phys. 2007, 40, 1642–1645. [Google Scholar] [CrossRef]
- Suehara, S.; Thomas, P.; Mirgorodsky, A.; Merle-Méjean, T.; Champarnaud-Mesjard, J.C.; Aizawa, T.; Hishita, S.; Todoroki, S.; Konishi, T.; Inoue, S. Non-linear optical properties of TeO2-based glasses: Ab initio static finite-field and time-dependent calculations. J. Non Cryst. Solids 2004, 345, 730–733. [Google Scholar] [CrossRef]
- Kim, S.H.; Yoko, T. Non-linear optical properties of TeO2 based glasses: PbX2 (X = F, Cl and Br)-TeO2 binary glasses. Met. Mater. Process. 1997, 8, 291–300. [Google Scholar]
- Kumar, V.V.R.K.; Bhatnagar, A.K.; Jagannathan, R. Structuraland optical studies of Pr3+. Nd3+, Er3+ and Eu3+ ions in tellurite based oxyfluoride, TeO2-LiF, glass. J. Phys. D Appl. Phys. 2001, 34, 1563–1568. [Google Scholar] [CrossRef]
- Elkhoshkhany, N.; Syala, E. Detailedstudy about the thermal behavior and kinetics characterization of an oxyfluoride tellurite glass. J. Non Cryst. Solids 2018, 486, 19–26. [Google Scholar] [CrossRef]
- Nazabal, V.; Todoroki, S.; Nukui, A.; Matsumoto, T.; Suehara, S.; Hondo, T.; Araki, T.; Inoue, S.; Rivero, C.; Cardinal, T. Oxyfluoridetellurite glasses doped by erbium: Thermal analysis, structural organization and spectral properties. J. Non Cryst. Solids 2003. [Google Scholar] [CrossRef]
- Yousef, E.S.S. Characterizationof oxyfluoride tellurite glasses through thermal, optical and ultrasonic measurements. J. Phys. D Appl. Phys. 2005, 38, 3970–3975. [Google Scholar] [CrossRef]
- Nazabal, V.; Todoroki, S.; Inoue, S.; Matsumoto, T.; Suehara, S.; Hondo, T.; Araki, T.; Cardinal, T. Spectralproperties of Er3+ doped oxyfluoride tellurite glasses. J. Non Cryst. Solids 2003, 326, 359–363. [Google Scholar] [CrossRef]
- Chillcce, E.F.; Mazali, I.O.; Alves, O.L.; Barbosa, L.C. Opticaland physical properties of Er3+-doped oxy-fluoride tellurite glasses. Opt. Mater. 2011, 33, 389–396. [Google Scholar] [CrossRef]
- Zhang, F.F.; Zhang, W.J.; Yuan, J.; Chen, D.D.; Qian, Q.; Zhang, Q.Y. Enhanced2.7µm emission from Er3+ doped oxyfluoride tellurite glasses for a diode-pump mid-infrared laser. AIP Adv. 2014, 4, 047101. [Google Scholar] [CrossRef]
- Ma, Y.; Wang, X.; Zhang, L.; Huang, F.; Hu, L. Increasedradiative lifetime of Tm3+: 3F4 → 3H6 transition in oxyfluoride tellurite glasses. Mater. Res. Bull. 2015, 64, 262–266. [Google Scholar] [CrossRef]
- Chen, F.; Wei, T.; Jing, X.; Tian, Y.; Zhang, J.; Xu, S. Investigationof mid-infrared emission characteristics and energy transfer dynamics in Er3+ doped oxyfluoride tellurite glass. Sci. Rep. 2015, 5, 10676. [Google Scholar] [CrossRef]
- Zhang, Y.; Lu, C.; Feng, Y.; Sun, L.; Ni, Y.; Xu, Z. Effectsof GeO2 on the thermal stability and optical properties of Er3+/Yb3+-codoped oxyfluoride tellurite glasses. Mater. Chem. Phys. 2011, 126, 786–790. [Google Scholar] [CrossRef]
- Zhanci, Y.; Shihua, H.; Shaozhe, L.; Baojiu, C. Radiativetransition quantum efficiency of 2H11/2 and 4S3/2 states of trivalent erbium ion in oxyfluoride tellurite glass. J. Non Cryst. Solids 2004, 343, 154–158. [Google Scholar] [CrossRef]
- Aishwarya, K.; Vinitha, G.; Varma, G.S.; Asokan, S.; Manikandan, N. Synthesisand characterization of barium fluoride substituted zinc tellurite glasses. Physica B 2017, 526, 84–88. [Google Scholar] [CrossRef]
- Xu, S.; Zhang, J.; Dai, S.; Wang, G.; Hu, L.; Jiang, Z. Hostdependent frequency upconversion of Er3+-doped oxyfluoride tellurite glasses. J. Alloys Compd. 2004, 376, L1–L4. [Google Scholar] [CrossRef]
- Xu, S.; Fang, D.; Zhang, Z.; Zhang, L.; Zhao, S.; Jiang, Z. Hostdependent frequency upconversion of Yb3+/Tm3+-codoped oxyfluoride tellurite glasses. Mater. Sci. Eng. B Adv. 2005, 122, 236–239. [Google Scholar] [CrossRef]
- Hou, Z.X.; Xue, Z.L.; Wang, S.H. Synthesisand spectroscopic properties of Er3+-doped CaF2 nanocrystals in transparent oxyfluoride tellurite glass-ceramics. J. Alloys Compd. 2012, 514, 109–112. [Google Scholar] [CrossRef]
- Hou, Z.X.; Xue, Z.L.; Li, F.; Wang, M.H.; Hu, X.D.; Wang, S.H. Luminescenceand up-conversion mechanism of Er3+/Ho3+ co-doped oxyfluoride tellurite glasses and glass-ceramics. J. Alloys Compd. 2013, 577, 523–527. [Google Scholar] [CrossRef]
- Ansari, G.F.; Mahajan, S.K. Intensecooperative upconversion emission in Yb/Er: TeO2-Li2O-WO3 oxyfluoride glass ceramics. J. Lumin. 2014, 156, 97–101. [Google Scholar] [CrossRef]
- Lesniak, M.; Amojda, J.; Kochanowicz, M.; Miluski, P.; Baranowska, A.; Mach, G.; Kuwik, M.; Pisarska, J.; Pisarski, W.A.; Dorosz, D. Spectroscopicproperties of erbium-doped oxyfluoride phospho-tellurite glass and transparent glass-ceramic containing BaF2 nanocrystals. Materials 2019, 12, 3429. [Google Scholar] [CrossRef] [PubMed]
- Rosenthal, M.W.; Briggs, R.B.; Haubenreich, P.N. Molten-Salt Reactor Program—Semiannual; National Technical Information Service, US Department of Commerce: Springfield, VA, USA, 1972; p. 80.
- Sekiya, T.; Mochida, N.; Ohtsuka, A.; Tonokawa, M. Raman-spectra of MO1/2-TeO2 (M = Li, Na, K, Rb, Cs and Tl) glasses. J. Non Cryst. Solids 1992, 144, 128–144. [Google Scholar] [CrossRef]
- Sekiya, T.; Mochida, N.; Ohtsuka, A. Raman-spectra of MO1/2-TeO2 (M = Mg, Sr, Ba and Zn) glasses. J. Non Cryst. Solids 1994, 168, 106–114. [Google Scholar] [CrossRef]
- Champarnaud-Mesjard, J.C.; Blanchandin, S.; Thomas, P.; Mirgorodsky, A.; Merle-Méjean, T.; Frit, B. Crystalstructure, Raman spectrum and lattice dynamics of a new metastable form of tellurium dioxide: γ-TeO2. J. Phys. Chem. Solids 2000, 61, 1499–1507. [Google Scholar] [CrossRef]
- Carlos, L.D.; Ferreira, R.A.S.; Bermudez, V.Z.; Ribeiro, S.J.L. Lanthanide-containing light emitting organic-inorganic hybrids: A bet on the future. Adv. Mater. 2009, 51, 509–534. [Google Scholar] [CrossRef]
- Moura, R.T., Jr.; Neto, A.N.C.; Longo, R.L.; Malta, O.L. Onthe calculation and interpretation of covalency in the intensity parameters of 4f-4f transitions in Eu3+ complexes based on the chemical bond overlap polarizability. J. Lumin. 2016, 170, 420–430. [Google Scholar] [CrossRef]










| Scheme | Composition (mol%) | Characteristic Temperatures (°C) | ||||||
|---|---|---|---|---|---|---|---|---|
| TeO2 | Nb2O5 | PbF2 | Eu2O3 | Tg | Tx1 | Tc1 | Tx1 − Tg | |
| 5Nb0Pb | 95 | 5 | 0 | - | 335 | 424 | 453 | 89 |
| 5Nb10Pb | 85 | 5 | 10 | - | 295 | 360 | 388 | 65 |
| 5Nb20Pb | 75 | 5 | 20 | - | 265 | 307 | 310 | 42 |
| 10Nb0Pb | 90 | 10 | 0 | - | 365 | - | - | - |
| 10Nb0Pb-Eu | 89.9 | 10 | 0 | 0.1 | 365 | - | - | - |
| 10Nb10Pb | 80 | 10 | 10 | - | 323 | - | - | - |
| 10Nb10Pb-Eu | 79.9 | 10 | 19 | 0.1 | 324 | - | - | - |
| 10Nb20Pb | 70 | 10 | 20 | - | 298 | - | - | - |
| 10Nb20Pb-Eu | 69.9 | 10 | 20 | 0.1 | 296 | 354 | 357 | 58 |
| 10Nb30Pb | 60 | 10 | 30 | - | 269 | 322 | 325 | 53 |
| 10Nb30Pb-Eu | 59.9 | 10 | 30 | 0.1 | 271 | 308 | 310 | 37 |
| 10Nb35Pb | 55 | 10 | 35 | - | 264 | 295 | 297 | 31 |
| 15Nb0Pb | 85 | 15 | 0 | - | 390 | - | - | - |
| 15Nb10Pb | 75 | 15 | 10 | - | 362 | - | - | - |
| 15Nb20Pb | 65 | 15 | 20 | - | 327 | - | - | - |
| 15Nb30Pb | 55 | 15 | 30 | - | 310 | - | - | - |
| Sample | 5D0 → 7F2/5D0 → 7F1 5D0 → 7F1 (λexc = 464 nm) | τexp (ms) | AT | τrad (ms) | η (%) |
|---|---|---|---|---|---|
| 10Nb0Pb-Eu | 4.16 | 0.71 | 870 | 1.15 | 61 |
| 10Nb10Pb-Eu | 3.46 | 0.92 | 767 | 1.30 | 70 |
| 10Nb20Pb-Eu | 2.64 | 1.35 | 647 | 1.54 | 87 |
| 10Nb30Pb-Eu | 2.00 | 1.75 | 535 | 1.87 | 93 |
| 10Nb30Pb-Eu-TT | 1.98 | 1.67 | 551 | 1.81 | 92 |
Publisher’s Note: MDPI stays neutral with regard to jurisdictional claims in published maps and institutional affiliations. |
© 2021 by the authors. Licensee MDPI, Basel, Switzerland. This article is an open access article distributed under the terms and conditions of the Creative Commons Attribution (CC BY) license (http://creativecommons.org/licenses/by/4.0/).
Share and Cite
Santos Barbosa, J.; Batista, G.; Danto, S.; Fargin, E.; Cardinal, T.; Poirier, G.; Castro Cassanjes, F. Transparent Glasses and Glass-Ceramics in the Ternary System TeO2-Nb2O5-PbF2. Materials 2021, 14, 317. https://doi.org/10.3390/ma14020317
Santos Barbosa J, Batista G, Danto S, Fargin E, Cardinal T, Poirier G, Castro Cassanjes F. Transparent Glasses and Glass-Ceramics in the Ternary System TeO2-Nb2O5-PbF2. Materials. 2021; 14(2):317. https://doi.org/10.3390/ma14020317
Chicago/Turabian StyleSantos Barbosa, Juliana, Gislene Batista, Sylvain Danto, Evelyne Fargin, Thierry Cardinal, Gael Poirier, and Fabia Castro Cassanjes. 2021. "Transparent Glasses and Glass-Ceramics in the Ternary System TeO2-Nb2O5-PbF2" Materials 14, no. 2: 317. https://doi.org/10.3390/ma14020317
APA StyleSantos Barbosa, J., Batista, G., Danto, S., Fargin, E., Cardinal, T., Poirier, G., & Castro Cassanjes, F. (2021). Transparent Glasses and Glass-Ceramics in the Ternary System TeO2-Nb2O5-PbF2. Materials, 14(2), 317. https://doi.org/10.3390/ma14020317

