Processing and Thermal Conductivity of Bulk Nanocrystalline Aluminum Nitride
Abstract
:1. Introduction
2. Materials and Methods
2.1. Powder Processing
2.2. Consolidation of AlN Powder
2.3. Structural Characterization
2.4. Thermal Conductivity Measurement
3. Results and Discussion
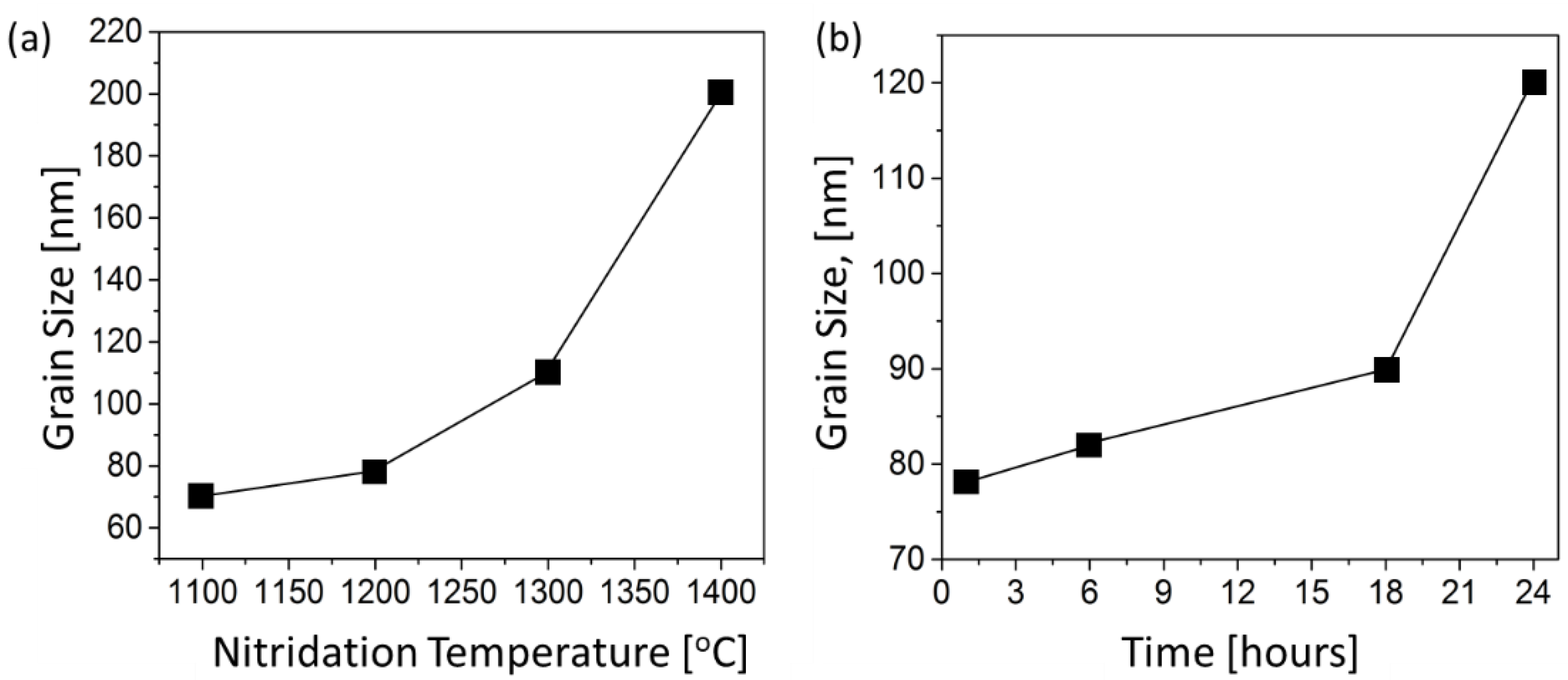
3.1. Powder Processing
3.2. Densification of Nano-AlN Powder
3.3. Densification of Nano-AlN Powder
4. Summary
Author Contributions
Funding
Acknowledgments
Conflicts of Interest
References
- Weingartner, R.E.; Rlenbach, O.; Winnacker, A.; Welte, A.; Brauer, I.; Mendel, H.; Strunk, H.P.; Ribeiro, C.T.M.; Zanatta, A.R. Thermal activation, cathode- and photoluminescence measurements of rare earth doped (Tm. Tb, Dy, Eu, Sm, Yb) amorphous/nanocrystalline AlN thin films prepared by reactive rf-sputtering. Opt. Mat. 2006, 28, 790–793. [Google Scholar] [CrossRef]
- Kita, T.; Ishizu, Y.; Tsuji, K.; Harada, Y.; Chigi, Y.; Nishimoto, T.; Tanaka, H.; Kobayashi, M.; Ishihara, T.; Izumi, H. Thermal annealing effects on ultra-violet luminescence properties of Gd doped AlN. J. Appl. Phys. 2015, 117, 163105. [Google Scholar] [CrossRef] [Green Version]
- Wieg, A.T.; Kodera, Y.; Wang, Z.; Imai, T.; Dames, C.; Garay, J.E. Visible photoluminescence in polycrystalline aluminum nitride ceramics with high thermal conductivity. Appl. Phys. Lett. 2012, 101, 111903. [Google Scholar] [CrossRef]
- Wieg, A.T.; Penilla, E.H.; Hardin, C.L.; Kodera, Y.; Garay, J.E. Broadband white light emission from Ce:AlN ceramics: High thermal conductivity down-converters for LED and laser-driven solid state lighting. APL Mater. 2016, 4, 126105. [Google Scholar] [CrossRef]
- Wieg, A.T.; Grossnickle, M.J.; Kodera, Y.; Gabor, N.M.; Garay, J.E. Nd:AlN polycrystalline ceramics: A candidate media for tunable, high energy, near IR lasers. Appl. Phys. Lett. 2016, 109, 121901. [Google Scholar] [CrossRef] [Green Version]
- Moore, A.L.; Shi, L. Emerging challenges and materials for thermal management of electronics. Mater. Today 2014, 17, 163. [Google Scholar] [CrossRef]
- Ramisetty, M.; Sastri, S.; Kashalikar, U. Manufacturing of aluminum nitride powder for advanced applications. Am. Ceram. Soc. Bull. 2014, 93, 28–31. [Google Scholar]
- Slack, G.A. Nonmetallic crystals with high thermal conductivity. J. Phys. Chem. Solids 1973, 34, 321–335. [Google Scholar] [CrossRef]
- Watari, K.; Nakano, H.; Urabe, K.; Ishizaki, K.; Cao, S.; Mori, K. Thermal conductivity of AlN ceramic with a very low amount of grain boundary phase at 4 to 1000 K. J. Mater. Res. 2002, 17, 11. [Google Scholar] [CrossRef]
- Slack, G.A.; Tanzilli, R.A.; Pohl, R.O.; Vandersande, J. The intrinsic thermal conductivity of AIN. Phys. Chem. Solids 1987, 48, 641. [Google Scholar] [CrossRef]
- Wang, Z.; Alaniz, J.E.; Jang, W.; Garay, J.E.; Dames, C. Thermal Conductivity of Nanocrystalline Silicon: Importance of Grain Size and Frequency-Dependent Mean Free Paths. Nano Lett. 2011, 11, 2206–2213. [Google Scholar] [CrossRef]
- Wieg, A.T.; Kodera, Y.; Wang, Z.T.; Dames, C.; Garay, J.E. Thermomechanical properties of rare earth doped AlN for laser gain media: The role of grain boundaries and grain size. Acta Mater. 2015, 86, 148–156. [Google Scholar] [CrossRef]
- Long, G.; Foster, L.M. Aluminum Nitride, a Refractory for Aluminum to 2000 °C. J. Am Ceram. Soc. 1959, 42, 53–59. [Google Scholar] [CrossRef]
- Panchula, M.L.; Ying, J.Y. Nanocrystalline Aluminum Nitride: II, Sintering and Properties. J. Am. Ceram. Soc. 2003, 86, 1121–1127. [Google Scholar] [CrossRef]
- Jackson, T.B.; Virkar, A.V.; More, K.L.; Dinwiddie, R.B., Jr.; Cutler, R.A. High-Thermal-Conductivity Aluminum Nitride Ceramics: The Effect of Thermodynamic, Kinetic, and Microstructural Factors. J. Am. Ceram. Soc. 1997, 80, 1421–1435. [Google Scholar] [CrossRef]
- Kobayashi, R.; Nakajima, Y.; Mochizuki, K.; Harata, K.; Goto, T.; Iwai, K.; Tatami, J. Densification of AlN ceramics by spark plasma sintering under 1550 °C. Adv. Powder Technol. 2016, 27, 860–863. [Google Scholar] [CrossRef]
- Suehiro, T.; Tatami, J.; Meguro, T.; Matsuo, S.; Komeya, K. Synthesis of Spherical AlN Particles by Gas-Reduction–Nitridation Method. J. Eur. Ceram. Soc. 2002, 22, 521–526. [Google Scholar] [CrossRef]
- Suehiro, T.; Tatami, J.; Meguro, T.; Komeya, K.; Matsuo, S. Aluminum Nitride Fibers Synthesized from Alumina Fibers Using Gas–Reduction-Nitridation Method. J. Am. Ceram. Soc. 2002, 85, 715–717. [Google Scholar] [CrossRef]
- Suehiro, T.; Tatami, J.; Meguro, T.; Matsuo, S.; Komeya, K. Morphology-Retaining Synthesis of AlN Particles by Gas Reduction–Nitridation. Mater. Lett. 2002, 57, 910–913. [Google Scholar] [CrossRef]
- van Dijen, F.K.; Pluijmakers, J. The Removal of Carbon or Carbon Residues from Ceramic Powders or Greenware with Ammonia. J. Eur. Ceram. Soc. 1989, 5, 385–390. [Google Scholar] [CrossRef]
- Cho, Y.W.; Charles, J.A. Synthesis of Nitrogen Ceramic Powders by Carbothermal Reduction and Nitridation Part 3: Aluminium Nitride. Mater. Sci. Technol. 1991, 7, 495–504. [Google Scholar]
- Du, X.; Qin, M.; Rauf, A.; Yuan, Z.; Yang, B.; Qu, X. Structure and properties of AlN ceramics prepared with spark plasma sintering of ultra-fine powders. Mater. Sci. Eng. A 2008, 496, 269–272. [Google Scholar] [CrossRef]
- Han, Z.; Yang, M.; Zhu, H. Synthesis and Sintering of Aluminium Nitride Nano-particles. Mater. Res. Soc. Symp. Proc. 2008, 1040, Q09–Q21. [Google Scholar] [CrossRef]
- Kodera, Y.; Hardin, C.L.; Garay, J.E. Transmitting, emitting and controlling light: Processing of transparent ceramics using current-activated pressure-assisted densification. Scr. Mater. 2013, 69, 149–154. [Google Scholar] [CrossRef]
- Garay, J.E. Current Activated Pressure Assisted Densification of Materials. Annu. Rev. Mater. Res. 2010, 40, 445–468. [Google Scholar] [CrossRef]
- Cahill, D.G. Thermal conductivity measurement from 30 to 750K. Rev. Sci. Instrum. 1990, 61, 802. [Google Scholar] [CrossRef]
- Chen, Z.; Jang, W.; Bao, W.; Lau, C.N.; Dames, C. Thermal contact resistance between graphene and silicon dioxide. Appl. Phys. Lett. 2009, 95, 161910. [Google Scholar] [CrossRef] [Green Version]
- Freedman, J.P.; Leach, J.H.; Preble, E.A.; Sitar, Z.; Davis, R.F.; Malen, J.A. Universal phonon mean free path spectra in crystalline semiconductors at high temperature. Sci. Rep. 2013, 3, 2963. [Google Scholar] [CrossRef] [PubMed] [Green Version]
- Dames, C. Measuring the thermal conductivity of thin films: 3 omega and related electrothermal methods. Annu. Rev. Heat Transf. 2013, 16, 7. [Google Scholar] [CrossRef]
- McHale, J.M.; Auroux, A.; Perrotta, A.J.; Navrotsky, A. Surface Energies and Thermodynamic Phase Stability in Nanocrystalline Aluminas. Science 1997, 277, 788–791. [Google Scholar] [CrossRef] [Green Version]
- Wefers, K. Nomenclature, Preparation, and Properties of Aluminum Oxides, Oxide Hydroxides, and Thihydrides; Hart, L.D., Ed.; American Ceramic Society Inc.: Alumina Chemicals, OH, USA, 1990; pp. 13–22. [Google Scholar]
- Kuang, J.C.; Zhang, C.R.; Zhou, X.G.; Wang, S.Q. Synthesis of high thermal conductivity nano-scale aluminum nitride by a new carbothermal reduction method from combustion precursor. J. Cryst. Growth 2003, 256, 288–291. [Google Scholar] [CrossRef]
- Xiang, M.; Zhou, Y.; Xu, W.; Huang, D.; Wang, K.; Pan, W. Hydrothermal-carbothermal synthesis of highly sinterable AlN nanopowders. J. Am. Ceram. Soc. 2017, 100, 2482–2491. [Google Scholar] [CrossRef]
- Qiu, J.Y.; Hotta, Y.; Watari, K.; Mitsuishi, K.; Yamazaki, M. Low-temperature sintering behavior of the nano-sized AlN powder achieved by super-fine grinding mill with Y2O3 and CaO additives. J. Eur. Ceram. Soc. 2006, 26, 385–390. [Google Scholar] [CrossRef]
- Yang, F.; Dames, C. Mean free path spectra as a tool to understand thermal conductivity in bulk and nanostructures. Phys. Rev. B 2013, 87, 035437. [Google Scholar] [CrossRef]
- Toberer, E.S.; Baranowski, L.L.; Dames, C. Advances in Thermal Conductivity. Annu. Rev. Mater. Res. 2012, 42, 179–209. [Google Scholar] [CrossRef]
- Ghosh, S.; Teweldebrhan, D.; Morales, J.R.; Garay, J.E.; Balandin, A.A. Thermal properties of the optically transparent pore-free nanostructured yttria-stabilized zirconia. J. Appl. Phys. 2009, 106, 113507. [Google Scholar] [CrossRef] [Green Version]
- Volodchenkov, A.D.; Ramirez, S.; Samnakay, R.; Salgado, R.; Kodera, Y.; Balandin, A.A.; Garay, J.E. Magnetic and thermal transport properties of SrFe12O19 permanent magnets with anisotropic grain structure. Mater. Des. 2017, 125, 62–68. [Google Scholar] [CrossRef] [Green Version]








Publisher’s Note: MDPI stays neutral with regard to jurisdictional claims in published maps and institutional affiliations. |
© 2021 by the authors. Licensee MDPI, Basel, Switzerland. This article is an open access article distributed under the terms and conditions of the Creative Commons Attribution (CC BY) license (https://creativecommons.org/licenses/by/4.0/).
Share and Cite
Duarte, M.A.; Mishra, V.; Dames, C.; Kodera, Y.; Garay, J.E. Processing and Thermal Conductivity of Bulk Nanocrystalline Aluminum Nitride. Materials 2021, 14, 5565. https://doi.org/10.3390/ma14195565
Duarte MA, Mishra V, Dames C, Kodera Y, Garay JE. Processing and Thermal Conductivity of Bulk Nanocrystalline Aluminum Nitride. Materials. 2021; 14(19):5565. https://doi.org/10.3390/ma14195565
Chicago/Turabian StyleDuarte, Matthew A., Vivek Mishra, Chris Dames, Yasuhiro Kodera, and Javier E. Garay. 2021. "Processing and Thermal Conductivity of Bulk Nanocrystalline Aluminum Nitride" Materials 14, no. 19: 5565. https://doi.org/10.3390/ma14195565
APA StyleDuarte, M. A., Mishra, V., Dames, C., Kodera, Y., & Garay, J. E. (2021). Processing and Thermal Conductivity of Bulk Nanocrystalline Aluminum Nitride. Materials, 14(19), 5565. https://doi.org/10.3390/ma14195565

