Polyharmonic Vibrations of Human Middle Ear Implanted by Means of Nonlinear Coupler
Abstract
1. Introduction
- A new concept of a nonlinear coupler that has more stiff characteristics than the classical one;
- The first dynamic analysis of the middle ear with a nonlinear coupler;
- Finding regions of parameters where polyharmonic and chaotic stapes motion is possible.
2. Nonlinear Ear Model
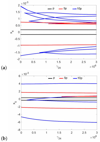
3. Polyharmonic Motion of the Implanted Ear
3.1. Normal Ear
3.2. Pathological Ear
4. Summary and Conclusions
- Periodic excitation in the nonlinear multi-degrees-of-freedom system causes harmonic, polyharmonic and even chaotic vibrations;
- Small damping is a cause for irregular motion;
- Polyharmonic response depends on the excitation amplitude and frequency of excitation and the nonlinearity level. The stronger the nonlinearity, the more irregular the motion;
- Generally, strong excitation in nonlinear systems causes chaotic vibrations, but here, a smaller amplitude of excitation produces sometimes irregular motion, whereas a strong one makes the system response regular.
Author Contributions
Funding
Data Availability Statement
Conflicts of Interest
References
- Haynes, D.S.; Young, J.A.; Wanna, G.B.; Glasscock, M.E. Middle Ear Implantable Hearing Devices: An Overview. Trends Amplif. 2009, 13, 206–214. [Google Scholar] [CrossRef] [PubMed]
- Maw, J. The Vibrant Soundbridge. Otolaryngol. Clin. N. Am. 2019, 52, 285–295. [Google Scholar] [CrossRef] [PubMed]
- Middle Ear Implant. Available online: https://www.medel.com/hearing-solutions/vibrant-soundbridge (accessed on 20 August 2021).
- Bruschini, L.; Forli, F.; Passetti, S.; Bruschini, P.; Berrettini, S. Fully implantable Otologics MET Carina™ device for the treatment of sensorineural and mixed hearing loss: Audio-otological results. Acta Oto-Laryngol. 2010, 130, 1147–1153. [Google Scholar] [CrossRef] [PubMed]
- Matthews, P. The SOUNDTEC Direct System. Trenda Amplif. 2002, 6, 61–65. [Google Scholar] [CrossRef] [PubMed]
- Dumon, T. Vibrant Soundbridge Middle Ear Implant in Otosclerosis. In Advances in Oto-Rhino-Laryngology; Arnold, W., Häusler, R., Eds.; Karger: Basel, Switzerland, 2007; Volume 65, pp. 320–322. [Google Scholar] [CrossRef]
- Hartl, B.; Renee, M.; Jenkins, H.A. Implantable Hearing Aids: Where are we in 2020? Laryngoscope Investig. Otolaryngol. 2020, 5, 1184–1191. [Google Scholar] [CrossRef] [PubMed]
- Neumann, A.; Jahnke, K. Biomaterials for ossicular chain reconstruction. A review. Mater. Und Werkst. 2003, 34, 1052–1057. [Google Scholar] [CrossRef]
- Beutner, D.; Hüttenbrink, K.-B. Passive and active middle ear implants. GMS Curr. Top. Otorhinolaryngol. Head Neck Surg. 2009, 8, Doc09. [Google Scholar] [PubMed]
- Schraven, S.P.; Mlynski, R.; Dalhoff, E.; Heyd, A.; Wildenstein, D.; Rak, K.; Radeloff, A.; Hagen, R.; Gummer, A.W. Coupling of an active middle-ear implant to the long process of the incus using an elastic clip attachment. Hear. Res. 2016, 340, 179–184. [Google Scholar] [CrossRef]
- Bornitz, M.; Hardtke, H.J.; Zahnert, T. Evaluation of implantable actuators by means of a middle ear simulation model. Hear. Res. 2010, 263, 145–151. [Google Scholar] [CrossRef] [PubMed]
- Pelosi, S.; Carlson, M.L.; Glasscock, M.E. Implantable Hearing Devices. Otolaryngol. Clin. N. Am. 2014, 47, 953–965. [Google Scholar] [CrossRef] [PubMed]
- Kroll, K.; Grant, I.L.; Javel, E. The Envoy Totally Implantable Hearing System, St. Croix Medical. Trends Amplif. 2002, 6, 73–80. [Google Scholar] [CrossRef] [PubMed]
- Rusinek, R. Effect of transducer fixation in the human middle ear on sound transfer. Eur. J. Mech. A/Solids 2021, 85, 104068. [Google Scholar] [CrossRef]
- Lauxmann, M.; Eiber, A.; Haag, F.; Ihrle, S. Nonlinear stiffness characteristics of the annular ligament. J. Acoust. Soc. Am. 2014, 136, 1756–1767. [Google Scholar] [CrossRef] [PubMed]
- Rusinek, R.; Warminski, J.; Szymanski, M.; Kecik, K.; Kozik, K. Dynamics of the middle ear ossicles with an SMA prosthesis. Int. J. Mech. Sci. 2017, 127, 163–175. [Google Scholar] [CrossRef]
- Rusinek, R. Sound Transmission in the First Nonlinear Model of Middle Ear with an Active Implant. Math. Probl. Eng. 2020, 2020, 1–23. [Google Scholar] [CrossRef]
- Huber, A.; Schrepfer, T.; Eiber, A. Clinical evaluation of the NiTiBOND stapes prosthesis, an optimized shape memory alloy design. Otol. Neurotol. 2012, 33, 132–136. [Google Scholar] [CrossRef] [PubMed]
- Rusinek, R.; Kecik, K.; Szymanski, M.; Rekas, J. An influence of temperature on reconstructed middle ear with shape memory prosthesis. Meccanica 2018, 53, 1959–1980. [Google Scholar] [CrossRef]
- Rusinek, R.; Weremczuk, A.; Szymanski, M.; Warminski, J. Middle ear vibration with stiff and flexible shape memory prosthesis. Int. J. Mech. Sci. 2019, 150, 20–28. [Google Scholar] [CrossRef]
- Zhang, G.; Wang, F.; Dai, J.; Huang, Z. Effect of Functionalization of Graphene Nanoplatelets on the Mechanical and Thermal Properties of Silicone Rubber Composites. Materials 2016, 9, 92. [Google Scholar] [CrossRef] [PubMed]
- Darvish, B.; Najarian, S.; Shirzad, E.; Khodambash, R. A Novel Tactile Force Probe for Tissue Stiffness Classification. Am. J. Appl. Sci. 2009, 6, 512–517. [Google Scholar] [CrossRef][Green Version]


















Publisher’s Note: MDPI stays neutral with regard to jurisdictional claims in published maps and institutional affiliations. |
© 2021 by the authors. Licensee MDPI, Basel, Switzerland. This article is an open access article distributed under the terms and conditions of the Creative Commons Attribution (CC BY) license (https://creativecommons.org/licenses/by/4.0/).
Share and Cite
Rusinek, R.; Rekas, J.; Wojtowicz, K.; Zablotni, R. Polyharmonic Vibrations of Human Middle Ear Implanted by Means of Nonlinear Coupler. Materials 2021, 14, 5121. https://doi.org/10.3390/ma14185121
Rusinek R, Rekas J, Wojtowicz K, Zablotni R. Polyharmonic Vibrations of Human Middle Ear Implanted by Means of Nonlinear Coupler. Materials. 2021; 14(18):5121. https://doi.org/10.3390/ma14185121
Chicago/Turabian StyleRusinek, Rafal, Joanna Rekas, Katarzyna Wojtowicz, and Robert Zablotni. 2021. "Polyharmonic Vibrations of Human Middle Ear Implanted by Means of Nonlinear Coupler" Materials 14, no. 18: 5121. https://doi.org/10.3390/ma14185121
APA StyleRusinek, R., Rekas, J., Wojtowicz, K., & Zablotni, R. (2021). Polyharmonic Vibrations of Human Middle Ear Implanted by Means of Nonlinear Coupler. Materials, 14(18), 5121. https://doi.org/10.3390/ma14185121

