Surface Modification of Nanoporous Anodic Alumina during Self-Catalytic Atomic Layer Deposition of Silicon Dioxide from (3-Aminopropyl)Triethoxysilane
Abstract
:1. Introduction
2. Materials and Methods
2.1. Materials
2.2. SEM Characterization
2.3. Chemical Surface Characterization
2.4. Electrochemical Impedance Spectroscopy Measurements
2.5. Optical Characterizations
3. Results and Discussion
3.1. SEM Characterization
3.2. Chemical Surface Characterization
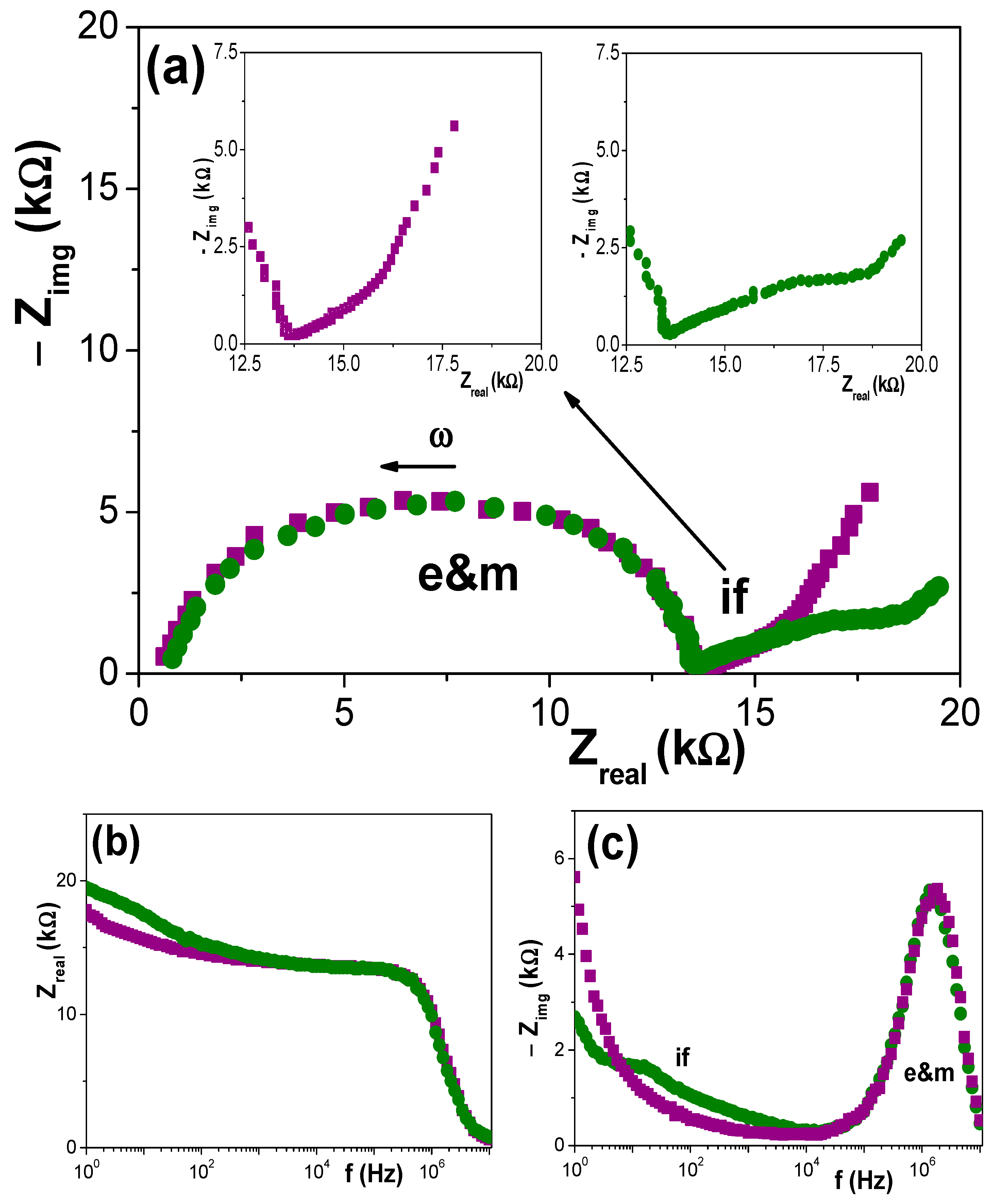
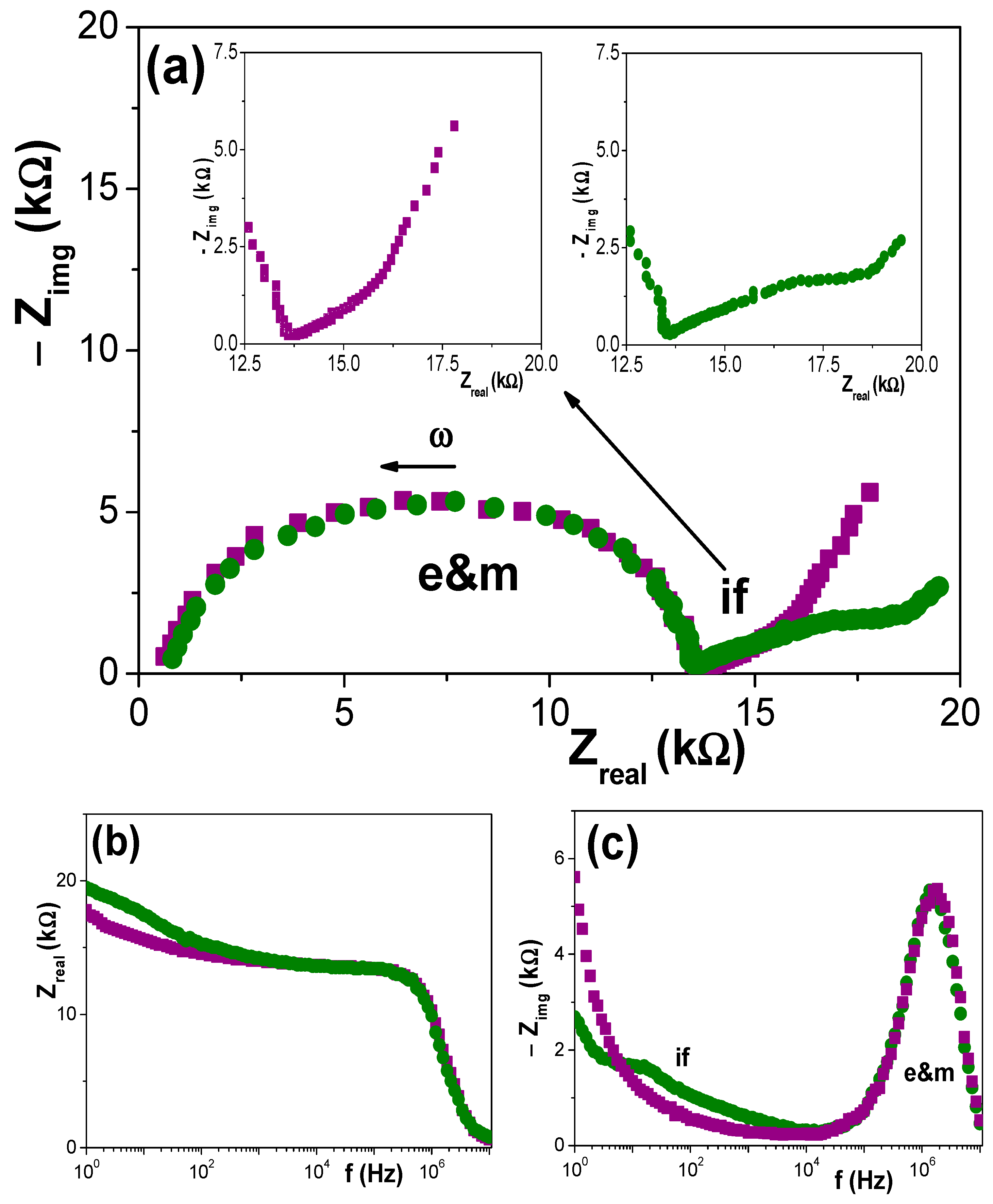
3.3. Electrochemical Impedance Spectroscopy Measurements
3.4. Optical Characterization
4. Conclusions
Supplementary Materials
Author Contributions
Funding
Institutional Review Board Statement
Informed Consent Statement
Data Availability Statement
Acknowledgments
Conflicts of Interest
References
- Suntola, T.; Antson, J. Method for Producing Compound Thin Films. Patent 4058430, 15 November 1977. [Google Scholar]
- Hyvärinen, J.; Sonninen, M.; Törnqvist, R. Mass spectrometry study of ZnS atomic layer epitaxy process. J. Cryst. Growth 1988, 86, 695–699. [Google Scholar] [CrossRef]
- Hunter, A.; Kitai, A.H. A novel atmospheric pressure technique for the deposition of ZnS by atomic layer epitaxy using dimethylzinc. J. Cryst. Growth 1988, 91, 111–118. [Google Scholar] [CrossRef]
- Knez, M.; Nielsch, K.; Niinistö, L. Synthesis and Surface Engineering of Complex Nanostructures by Atomic Layer Deposition. Adv. Mater. 2007, 19, 3425–3438. [Google Scholar] [CrossRef]
- George, S.M. Atomic Layer Deposition: An Overview. Chem. Rev. 2010, 110, 111–131. [Google Scholar] [CrossRef] [PubMed]
- Spende, A.; Sobel, N.; Lukas, M.; Zierold, R.; Riedl, J.C.; Gura, L.; Schubert, I.; Montero Moreno, J.M.; Nielsch, K.; Stühn, B.; et al. TiO2, SiO2, and Al2O3 coated nanopores and nanotubes produced by ALD in etched ion-track membranes for transport measurements. Nanotechnology 2015, 26, 335301. [Google Scholar] [CrossRef] [Green Version]
- Vega, V.; Gelde, L.; González, A.S.; Prida, V.M.; Hernando, B.; Benavente, J. Diffusive transport through surface functionalized nanoporous alumina membranes by atomic layer deposition of metal oxides. J. Ind. Eng. Chem. 2017, 52, 66–72. [Google Scholar] [CrossRef]
- Cuevas, A.L.; Martínez de Yuso, M.V.; Gelde, L.; Gonzalez, A.S.; Vega, V.; Prida, V.M.; Benavente, J. Chemical, optical and transport characterization of ALD modified nanoporous alumina based structures. J. Ind. Eng. Chem. 2020, 91, 139–148. [Google Scholar] [CrossRef]
- Masuda, H.; Fukuda, K. Ordered Metal Nanohole Arrays Made by a Two-Step Replication of Honeycomb Structures of Anodic Alumina. Science 1995, 268, 1466–1468. [Google Scholar] [CrossRef] [PubMed]
- Lee, W.; Park, S.J. Porous Anodic Aluminum Oxide: Anodization and Templated Synthesis of Functional Nanostructures. Chem. Rev. 2014, 114, 7487–7556. [Google Scholar] [CrossRef] [PubMed]
- Gelde, L.; Cuevas, A.L.; Martínez de Yuso, M.D.V.; Benavente, J.; Vega, V.; González, A.S.; Prida, V.M.; Hernando, B. Influence of TiO2-Coating Layer on Nanoporous Alumina Membranes by ALD Technique. Coatings 2018, 8, 60. [Google Scholar] [CrossRef] [Green Version]
- Cuevas, A.L.; Martínez de Yuso, M.V.; Vega, V.; González, A.S.; Prida, V.M.; Benavente, J. Influence of ALD coating layers on the optical properties of nanoporous alumina-based structures. Coatings 2019, 9, 43. [Google Scholar] [CrossRef] [Green Version]
- Kumeria, T.; Santos, A.; Losic, D. Nanoporous Anodic Alumina Platforms: Engineered Surface Chemistry and Structure for for Optical Sensing Applications. Sensors 2014, 14, 11878–11918. [Google Scholar] [CrossRef] [Green Version]
- Rajeev, G.; Xifre-Perez, E.; Prieto Simon, B.; Cowin, A.J.; Marsal, L.F.; Voelcker, N.H. A label-free optical biosensor based on nanoporous anodic alumina for tumour necrosis factor-alpha detection in chronic wounds. Sens. Actuators B Chem. 2018, 257, 116–123. [Google Scholar] [CrossRef]
- Kageyama, N.; Takagaki, A.; Sugawara, T.; Kikuchi, R.; Oyama, S.T. Synthesis and characterization of a silica-alumina composite membrane and its application in a membrane reactor. Sep. Purif. Technol. 2018, 195, 437–445. [Google Scholar] [CrossRef]
- Ferguson, J.D.; Smith, E.R.; Weimer, A.W.; George, S.M. ALD of SiO2 at Room Temperature Using TEOS and H2O with NH3 as the Catalyst. Electrochem. Soc. 2004, 151, G528. [Google Scholar] [CrossRef]
- Hirose, F.; Kinoshita, Y.; Shibuya, S.; Miya, H.; Hirahara, K.; Kimura, Y.; Niwano, M. Atomic-Layer-Deposition of SiO2 with Tris(Dimethylamino)Silane (TDMAS) and Ozone Investigated by Infrared Absorption Spectroscopy. ECS Trans. 2008, 13, 171. [Google Scholar] [CrossRef]
- Burton, B.B.; Kang, S.W.; Rhee, S.W.; George, S.M. SiO2 Atomic Layer Deposition Using Tris(dimethylamino)silane and Hydrogen Peroxide Studied by in Situ Transmission FTIR Spectroscopy. J. Phys. Chem. C 2009, 113, 8249–8257. [Google Scholar] [CrossRef]
- Kim, J.K.; Jin, K.; Jung, J.; Rha, S.K.; Lee, W.J. Atomic layer deposition of SiO2 thin films using tetrakis(ethylamino)silane and ozone. J. Nanosci. Nanotechnol. 2012, 12, 3589–3592. [Google Scholar] [CrossRef] [PubMed]
- Pfeiffer, K.; Shestaeva, S.; Bingel, A.; Munzert, P.; Ghazaryan, L.; van Helvoirt, C.; Kessels, W.M.M.; Sanli, U.T.; Grévent, C.; Schütz, G.; et al. Comparative study of ALD SiO2 thin films for optical applications. Opt. Mater. Express 2016, 663, 255642. [Google Scholar]
- Nam, T.; Lee, H.; Choi, T.; Seo, S.; Yoon, C.M.; Choi, Y.; Jeong, H.; Lingam, H.K.; Chitturi, V.R.; Korolev, A.; et al. Low-temperature, high-growth-rate ALD of SiO2 using aminodisilane precursor. Appl. Surf. Sci. 2019, 485, 381–390. [Google Scholar] [CrossRef]
- Hiller, D.; Zierold, R.; Bachmann, J.; Alexe, M.; Yang, Y.; Gerlach, J.W.; Stesmans, A.; Ji-Vanescu, M.; Müller, U.; Vogt, J.; et al. Low temperature silicon dioxide by thermal atomic layer deposition: Investigation of material properties. J. Appl. Phys. 2010, 107, 064314. [Google Scholar] [CrossRef] [Green Version]
- Bachmann, J.; Zierold, R.; Chong, Y.T.; Hauert, R.; Sturm, C.; Schmidt-Grund, R.; Rheinländer, B.; Grundmann, M.; Gösele, U.; Nielsch, K. A Practical, Self-Catalytic, Atomic Layer Deposition od Silicon Dioxide. Angew. Chem. Int. Ed. 2008, 47, 6177–6179. [Google Scholar] [CrossRef] [PubMed]
- Romero, V.; Vega, V.; Garcia, J.; Zierold, R.; Nielsch, K.; Prida, V.M.; Hernando, B.; Benavente, J. Changes in Morphology and Ionic transport Induced by ALD SiO2 Coating of Nanoporous Alumina Membanes. ACS Appl. Mater. Interfaces 2013, 5, 3556–3564. [Google Scholar] [CrossRef] [PubMed]
- Hsiao, V.K.S.; Waldeisen, J.R.; Zheng, Y.; Lloyd, P.F.; Bunning, T.J.; Huang, T.J. Aminopropyltriethoxysilane (APTES)-functionalized nanoporous polymeric gratings: Fabrication and application in biosensing. J. Mater. Chem. 2007, 17, 4896–4901. [Google Scholar] [CrossRef]
- Nayak, N.; Huertas, R.; Crespo, J.G.; Portugal, C.A.M. Surface modification of alumina monolithic columns with 3-aminopropyltetraethoxysilane (APTES) for protein attachment. Sep. Purif. Technol. 2019, 229, 115674. [Google Scholar] [CrossRef]
- Kumeria, T.; Santos, A.; Losic, D. Ultrasensitive nanoporous interferometric sensor for label-free detection of gold (III) ions. ACS Appl. Mater. Interfaces 2013, 5, 11783–11790. [Google Scholar] [CrossRef] [PubMed]
- Santos, A.; Kumeria, T.; Losic, D. Optically optimized photoluminescent and interferometric biosensors based on nanoporous anodic alumina: A comparison. Anal. Chem. 2013, 85, 7904–7911. [Google Scholar] [CrossRef]
- Rai, V.R.; Agarwal, S. Mechanism of Self-catalytic Atomic Layer Deposition of Silicon Dioxide Using 3-Aminopropyl Triethoxysilane, Water, and Ozone. Chem. Mater. 2011, 23, 2312–2316. [Google Scholar] [CrossRef]
- Schneider, C.A.; Rasband, W.S.; Eliceiri, K.W. NIH Image to ImageJ: 25 years of image analysis. Nat. Methods 2012, 9, 671–675. [Google Scholar] [CrossRef] [PubMed]
- Briggs, D.; Seah, M.P. Practical Surface Analysis, Vol1: Auger and X-ray Photoelectron Spectroscopy, 2nd ed.; Jon Wiley & Sons: Chischester, UK, 1995. [Google Scholar]
- Macdonald, J.R.; Johnson, W.B. Fundamentals of Impedance Spectroscopy. In Impedance Spectroscopy: Theory, Experiment, and Applications, 3rd ed.; Barsoukov, E., Ed.; Wiley Online Library: Hoboken, NJ, USA, 2018. [Google Scholar] [CrossRef]
- Benavente, J.; Rodriguez-Castellón, E. Application of Electrochemical Impedance Spectroscopy (EIS) and X-ray Photoelectron Spectroscopy (XPS) to the Characterization of RTILs for Electrochemical Applications. In Ionic Liquids: Applications and Perspectives; Chapter 27; Kokorin, A., Ed.; InTech Publisher: London, UK, 2011; ISBN 978-953-307-248-7. [Google Scholar]
- Benavente, J. Use of Impedance Spectroscopy for characterization of modified membranes. In Membrane. Modification: Technology and Applications; Hilal, N., Kayet, M., Wright, C.J., Eds.; CRC Press: Boca Raton, FL, USA, 2012; ISBN 9781439866368. [Google Scholar]
- Benavente, J.; García, J.M.; Riley, R.; Lozano, A.E.; de Abajo, J. Sulfonated poly(ether ether sulfone). Characterization and study of dielectrical properties by impedance spectroscopy. J. Membr. Sci. 2000, 175, 43–52. [Google Scholar] [CrossRef]
- Moulder, J.F.; Stickl, W.F.; Sobol, P.E.; Bomben, K.D. Handbook of X-ray Photoelectron Spectroscopy; Chastain, J., Ed.; Perkin-Elmer Corporation: Minneapolis, MN, USA, 1992. [Google Scholar]
- Lakshminarayanaiah, N. Transport Phenomena in Membranes; Academic Press Inc.: New York, NY, USA, 1970; ISBN 9780124342507. [Google Scholar]
- Sbaï, M.; Fievet, P.; Szymczyk, A.; Aoubiza, B.; Vidonne, A. Streaming potential, electroviscous effect, pore conductivity and membrane potential for the determination of the surface potential of a ceramic ultrafiltration membrane. J. Membr. Sci. 2003, 215, 1–9. [Google Scholar] [CrossRef]
- Cen, J.; Vukas, M.; Barton, G.; Kavanagh, J.; Coster, H.G.L. Real time fouling monitoring with Electrical Impedance Spectroscopy. J. Membr. Sci. 2015, 484, 133–139. [Google Scholar] [CrossRef]
- Cañas, A.; Ariza, M.J.; Benavente, J. Characterization of active and porous sublayers of a composite reverse osmosis membrane by impedance spectroscopy, streaming and membrane potentials, salt diffusion and X-ray photoelectron spectroscopy measurements. J. Membr. Sci. 2001, 183, 135–146. [Google Scholar] [CrossRef]
- Gelde, L.; Cuevas, A.L.; Benavente, J. Influence of pore-size/porosity on ion transport and static BSA-fouling for TiO2-covered nanoporous alumina membranes. Appl. Sci. 2021, 11, 5687. [Google Scholar] [CrossRef]
- Benavente, J.; Ramos-Barrado, J.R.; Cabeza, A. Electrical behaviour of an inorganic film from ac and dc measurements. J. Colloid Interface Sci. 1996, 180, 116–121. [Google Scholar] [CrossRef]
- Cuevas, A.L.; González, A.S.; Vega, V.; Prida, V.M.; Benavente, J. Optical and Electrochemical Characterization of Nanoporous Alumina Structures: Pore Size, Porosity, and Structure Effect. Appl. Sci. 2020, 10, 4864. [Google Scholar] [CrossRef]
- Maciulis, V.; Malinovskis, U.; Erts, D.; Ramanavicius, A.; Ramanaviciene, A.; Balevicius, S.; Juciute, S.; Plikusiene, I. Porous Aluminium Oxide Coating for the Development of Spectroscopic Ellipsometry Based Biosensor: Evaluation of Human Serum Albumin Adsorption. Coatings 2020, 10, 1018. [Google Scholar] [CrossRef]
- Yamamoto, Y.; Baba, N.; Tajima, S. Colored materials and photoluminescence in anodic film on aluminium. Nature 1981, 289, 572–574. [Google Scholar] [CrossRef]
- Du, Y.; Cai, W.L.; Mo, C.M.; Chem, J.; Zhag, L.D.; Zhu, X.G. Preparation and photoluminescence of alumina membranes with ordered pore arrays. Appl. Phys Lett. 1999, 74, 2951–2953. [Google Scholar] [CrossRef]
- Sun, X.; Xu, F.; Li, Z.; Zhang, W. Photoluminescence properties of alumina membranes with ordered nanopore arrays. J. Lumin. 2006, 121, 588–594. [Google Scholar] [CrossRef]
- Mukhurov, N.I.; Zhvavyi, S.P.; Gasenkova, I.V.; Terekhov, S.N. Photoluminescence of F-centers in films of anodic alumina. J. Appl. Spectrosc. 2008, 75, 214–218. [Google Scholar] [CrossRef]
- Stojadinovic, S.; Nedic, Z.; Belca, I.; Vasilic, R.; Kasaliza, B.; Petkovic, M.; Zekovic, L.J. The effect of annealing on the photoluminescent and optical properties of porous anodic alumina films formed in sulfamic acid. Appl. Surs. Sci. 2009, 256, 763–767. [Google Scholar] [CrossRef]
- Santos, A.; Alba, M.; Rahman, M.M.; Formentín, P.; Ferré-Borrull, J.; Pallarès, J. Structural tuning of photoluminescence in nanoporous anodic alumina by hard anodization in oxalic and malonic acids. Nanoscale Res. Lett. 2012, 7, 228. [Google Scholar] [CrossRef] [PubMed] [Green Version]
- Law, C.S.; Lim, S.Y.; Abell, A.D.; Voelcker, N.H.; Santos, A. Nanoporous Anodic Alumina Photonic Crystals for Optical Chemo- and Biosensing: Fundamentals, Advances, and Perspectives. Nanomaterials 2018, 8, 788. [Google Scholar] [CrossRef] [PubMed] [Green Version]
- Zheng, W.J.; Fei, G.T.; Wang, B.; Zhang, L.D. Modulation of Transmission Spectra of Anodized Alumina Membrane Distributed Bragg Reflector by Controlling Anodization Temperature. Nanoscale Res. Lett. 2009, 4, 665–667. [Google Scholar] [CrossRef] [Green Version]
- Lim, S.Y.; Law, C.S.; Marsal, L.F.; Santos, A. Engineering of Hybrid Nanoporous Anodic Alumina Photonic Crystals by Heterogeneous Pulse Anodization. Sci. Rep. 2018, 8, 9455. [Google Scholar] [CrossRef] [PubMed]
- Strehlow, W.H.; Cook, E.L. Compilation of Energy Band Gaps in Elemental and Binary Compound Semiconductors and Insulators. J. Phys. Chem. Ref. Data 1973, 2, 163–199. [Google Scholar] [CrossRef] [Green Version]
- Algarra, M.; Cuevas, A.L.; Martínez de Yuso, M.V.; Benavente, J. Insights into the formation of an emissive CdTe-quantum-dots/cellulose hybrid film. J. Colloids Interface Sci. 2020, 579, 714–722. [Google Scholar] [CrossRef] [PubMed]
- Ogieglo, W.; Wormeerster, H.; Wessling, M.; Benes, N.E. Spectroscopic ellipsometry analysis of a thin film composite membrane consisting of polysulfone on a porous α-alumina support. ACS Appl. Mater. Interfaces 2012, 4, 935–943. [Google Scholar] [CrossRef]
- Tompkins, H.G.; McGahan, W.A. Spectroscopic Ellipsometry and Reflectometry: A User’s Guide; Wiley: Hoboken, NJ, USA, 1999; ISBN 978-0-471-18172-9. [Google Scholar]
- Cuevas, A.L.; Campos, B.B.; Romero, R.; Algarra, M.; Vázquez, M.I.; Benavente, J. Eco-friendly Modification of a Regenerated Cellulose Based Film by Silicon, Carbon and N-doped Carbon Quantum Dots. Carbohydr. Polym. 2019, 206, 238–244. [Google Scholar] [CrossRef]
- Logothetidis, M.; Gioti, C. Gravalidis, Optical and electronic characterization on polymeric membranes. Synth. Met. 2003, 138, 369–374. [Google Scholar] [CrossRef]
- Gioti, M.; Laskarakis, A.; Logothetidis, S. IR-FUV ellipsometry studies on the optical, electronic and vibrational properties of polymeric membranes. Thin Solid Films 2004, 455–456, 283–287. [Google Scholar] [CrossRef]
- Fujiwara, H. Spectroscopic Ellipsometry, Principles and Applications; John Wiley & Sons, Ltd.: Hoboken, NJ, USA, 2007. [Google Scholar]
- Lide, D.R. CRC Handbook of Chemistry and Physics, 88th ed.; 20072008; CRC Press; Taylor & Francis: Boca Raton, FL, USA, 2007. [Google Scholar]
- Refractive Index of SiO2, Fused Silica, Silica, Silicon Dioxide, Thermal Oxide, ThermalOxide. Available online: www.filmetrics.com/refractive-index-database/SiO2 (accessed on 10 July 2021).
- Muneshwar, T.; Cadien, K. Probing initial-stages of ALD growth with dynamic in situ spectroscopic ellipsometry. Appl. Surf. Sci. 2015, 328, 344–348. [Google Scholar] [CrossRef]
- Kilic, U.; Mock, A.; Sekora, D.; Gilbert, S.; Valloppilly, S.; Melendez, G.; Ianno, N.; Langell, M.; Schubert, E.; Schubert, M. Precursor-surface interactions revealed during plasma-enhanced atomic layer deposition of metal oxide thin films by in-situ spectroscopic ellipsometry. Sci. Rep. 2020, 10, 10392. [Google Scholar] [CrossRef]
- Skopin, E.V.; Abdukayumov, K.; Younes, P.A.; Anikin, M.; Roussel, H.; Deschanvres, J.L.; Renevier, H. In situ ellipsometry monitoring of TiO2 atomic layer deposition from tetrakis(dimethylamido)titanium(IV) and H2O precursors on Si and In0.53Ga0.47As substrates. Thin Solid Films 2021, 723, 138591. [Google Scholar] [CrossRef]












| Sample | C (%) | O (%) | N (%) | Si (%) | Al (%) |
|---|---|---|---|---|---|
| Ox+SiO2/APTES | 12.8 | 55.3 | 0.7 | 26.9 | 4.0 |
| Ox+SiO2/APTES/O3 | 8.3 | 59.3 | - | 28.1 | 3.9 |
| (A) | - | - | - | - | |
|---|---|---|---|---|---|
| Sample | CA (%) | CB (%) | CC (%) | CD (%) | |
| B.E. (eV) | 285.0 | 286.6 | 288.9 | 289.4 | |
| - | CC/CH | CO/CN/CSi | C=O | O–C=O | |
| Ox+SiO2/APTES | Area % | 81.3 | 16.43 | 2.2 | - |
| A.C. % | 10.4 | 2.1 | 0.3 | - | |
| Ox+SiO2/APTES/O3 | Area % | 81.7 | 13.1 | 0.7 | 4.5 |
| A.C. % | 6.8 | 1.1 | 0.06 | 0.37 | |
| (B) | - | - | - | - | |
| Sample | OA (%) | OB (%) | OC (%) | ||
| B.E. (eV) | 531.6 | 532.6 | 533.9 | ||
| - | Al–O | Si–O/SiO2/O–C=O* | O*–C=O | ||
| Ox+SiO2/APTES | Area % | 10.3 | 89.7 | - | |
| A.C. % | 5.7 | 49.6 | - | ||
| Ox+SiO2/APTES/O3 | Area % | 10.5 | 84.5 | 5.0 | |
| A.C. % | 6.2 | 50.1 | 3.0 | ||
| Sample | Ox+SiO2/APTES | Ox+SiO2/APTES/O3 |
|---|---|---|
| <n> 250–1700 nm | 1.28 ± 0.04 | 1.43 ± 0.06 |
| <εr> 250–1700 nm | 1.38 ± 0.20 | 1.71 ± 0.20 |
| <n> 250–800 nm | 1.25 ± 0.03 | 1.38 ± 0.04 |
| <εr> 250–800 nm | 1.46 ± 0.07 | 1.72 ± 0.10 |
| <n> 800–1700 nm | 1.31 ± 0.04 | 1.46 ± 0.04 |
| <εr> 800–1700 nm | 1.33 ± 0.23 | 1.71 ± 0.24 |
Publisher’s Note: MDPI stays neutral with regard to jurisdictional claims in published maps and institutional affiliations. |
© 2021 by the authors. Licensee MDPI, Basel, Switzerland. This article is an open access article distributed under the terms and conditions of the Creative Commons Attribution (CC BY) license (https://creativecommons.org/licenses/by/4.0/).
Share and Cite
González, A.S.; Vega, V.; Cuevas, A.L.; Yuso, M.d.V.M.d.; Prida, V.M.; Benavente, J. Surface Modification of Nanoporous Anodic Alumina during Self-Catalytic Atomic Layer Deposition of Silicon Dioxide from (3-Aminopropyl)Triethoxysilane. Materials 2021, 14, 5052. https://doi.org/10.3390/ma14175052
González AS, Vega V, Cuevas AL, Yuso MdVMd, Prida VM, Benavente J. Surface Modification of Nanoporous Anodic Alumina during Self-Catalytic Atomic Layer Deposition of Silicon Dioxide from (3-Aminopropyl)Triethoxysilane. Materials. 2021; 14(17):5052. https://doi.org/10.3390/ma14175052
Chicago/Turabian StyleGonzález, Ana Silvia, Víctor Vega, Ana Laura Cuevas, María del Valle Martínez de Yuso, Víctor M. Prida, and Juana Benavente. 2021. "Surface Modification of Nanoporous Anodic Alumina during Self-Catalytic Atomic Layer Deposition of Silicon Dioxide from (3-Aminopropyl)Triethoxysilane" Materials 14, no. 17: 5052. https://doi.org/10.3390/ma14175052
APA StyleGonzález, A. S., Vega, V., Cuevas, A. L., Yuso, M. d. V. M. d., Prida, V. M., & Benavente, J. (2021). Surface Modification of Nanoporous Anodic Alumina during Self-Catalytic Atomic Layer Deposition of Silicon Dioxide from (3-Aminopropyl)Triethoxysilane. Materials, 14(17), 5052. https://doi.org/10.3390/ma14175052

