In Vitro Investigation on Degradable Mg-Based Biomaterial under the Impact of the Serum Glycoprotein Fetuin
Abstract
:1. Introduction
2. Materials and Methods
2.1. Materials and Chemicals
2.2. Immersion Test
2.3. Surface Analysis
2.4. Supernatant Analysis
2.5. In Vitro Cell Culture Experiments
2.6. Statistics
3. Results
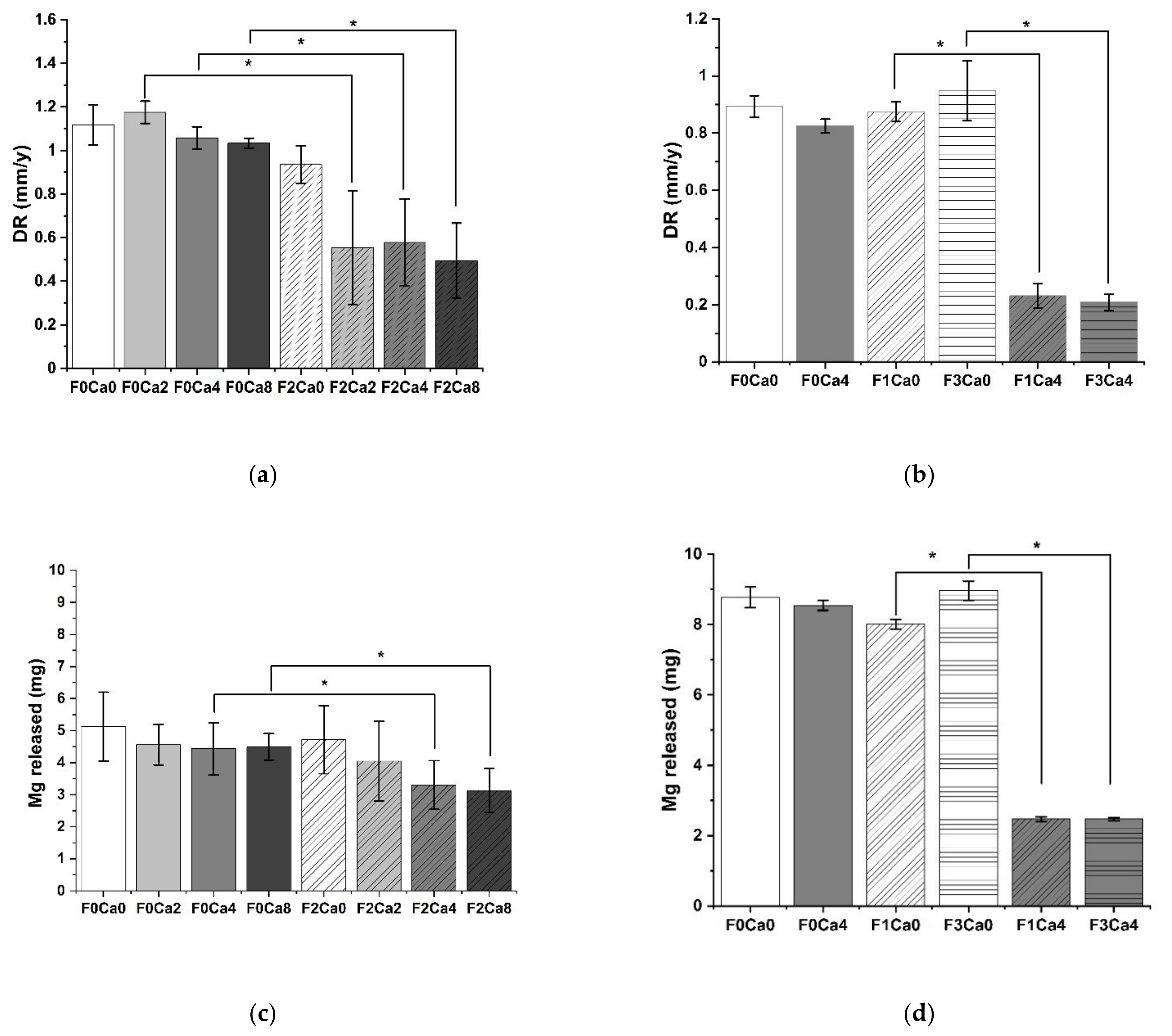
3.1. Impact on Degradation
3.2. Distribution of Ca
3.3. Distribution of Fetuin
3.4. Interaction with Primary Osteoblasts
4. Discussion
5. Conclusions
Author Contributions
Funding
Institutional Review Board Statement
Informed Consent Statement
Data Availability Statement
Acknowledgments
Conflicts of Interest
References
- Sun, Y.; Helmholz, H.; Willumeit-Römer, R. Preclinical in vivo research of magnesium-based implants for fracture treatment: A systematic review of animal model selection and study design. J. Magnes. Alloys 2020, 93, 51–361. [Google Scholar] [CrossRef]
- Wang, J.L.; Xu, J.K.; Hopkins, C.; Chow, D.H.; Qin, L. Biodegradable Magnesium-Based Implants in Orthopedics-A General Review and Perspectives. Adv. Sci. 2020, 7, 1902443. [Google Scholar] [CrossRef]
- Kamrani, S.; Fleck, C. Biodegradable magnesium alloys as temporary orthopaedic implants: A review. Biometals 2019, 32, 185–193. [Google Scholar] [CrossRef] [PubMed]
- Staiger, M.P.; Pietak, A.M.; Huadmai, J.; Dias, G. Magnesium and its alloys as orthopedic biomaterials: A review. Biomaterials 2006, 27, 1728–1734. [Google Scholar] [CrossRef] [PubMed]
- Waizy, H.; Seitz, J.-M.; Reifenrath, J.; Weizbauer, A.; Bach, F.-W.; Meyer-Lindenberg, A.; Denkena, B.; Windhagen, H. Biodegradable magnesium implants for orthopedic applications. J. Mater. Sci. 2013, 48, 39–50. [Google Scholar] [CrossRef]
- Yang, Y.; He, C.; Dianyu, E.; Yang, W.; Qi, F.; Xie, D.; Shen, L.; Peng, S.; Shuai, C. Mg bone implant: Features, developments and perspectives. Mater. Des. 2020, 185, 108259. [Google Scholar] [CrossRef]
- Witte, F.; Hort, N.; Vogt, C.; Cohen, S.; Kainer, K.U.; Willumeit, R.; Feyerabend, F. Degradable biomaterials based on magnesium corrosion. Curr. Opin. Solid State Mater. Sci. 2008, 12, 63–72. [Google Scholar] [CrossRef] [Green Version]
- Walker, J.; Shadanbaz, S.; Woodfield, T.B.; Staiger, M.P.; Dias, G.J. The in vitro and in vivo evaluation of the biocompatibility of Mg alloys. Biomed. Mater. 2014, 9, 11. [Google Scholar] [CrossRef]
- Atrens, A.; Johnston, S.; Shi, Z.; Dargusch, M.S. Viewpoint—Understanding Mg corrosion in the body for biodegradable medical implants. Scr. Mater. 2018, 154, 92–100. [Google Scholar] [CrossRef]
- Heiss, A.; Eckert, T.; Aretz, A.; Richtering, W.; van Dorp, W.; Schäfer, C.; Jahnen-Dechent, W. Hierarchical Role of Fetuin-A and Acidic Serum Proteins in the Formation and Stabilization of Calcium Phosphate Particles. J. Biol. Chem. 2008, 283, 14815–14825. [Google Scholar] [CrossRef] [PubMed] [Green Version]
- Herrmann, M.; Kinkeldey, A.; Jahnen-Dechent, W. Fetuin-A Function in Systemic Mineral Metabolism. Trends Cardiovasc. Med. 2012, 22, 197–201. [Google Scholar] [CrossRef]
- Holt, S.G.; Smith, E.R. Fetuin-A-containing calciprotein particles in mineral trafficking and vascular disease. Nephrol. Dial. Transplant. 2016, 31, 1583–1587. [Google Scholar] [CrossRef] [PubMed] [Green Version]
- Gower, L.B. 6—Biomimetic mineralization of collagen. In Biomineralization and Biomaterials; Aparicio, C., Ginebra, M.-P., Eds.; Woodhead Publishing: Boston, MA, USA, 2016; pp. 187–232. [Google Scholar]
- Suzuki, M.; Shimokawa, H.; Takagi, Y.; Sasaki, S. Calcium-binding properties of fetuin in fetal bovine serum. J. Exp. Zool. 1994, 270, 501–507. [Google Scholar] [CrossRef]
- Seto, J.; Busse, B.; Gupta, H.S.; Schaefer, C.; Krauss, S.; Dunlop, J.W.C.; Masic, A.; Kerschnitzki, M.; Zaslansky, P.; Boesecke, P.; et al. Accelerated growth plate mineralization and foreshortened proximal limb bones in fetuin-A knockout mice. PLoS ONE 2012, 7, e47338. [Google Scholar] [CrossRef]
- Schäfer, C.; Heiss, A.; Schwarz, A.; Westenfeld, R.; Ketteler, M.; Floege, J.; Müller-Esterl, W.; Schinke, T.; Jahnen-Dechent, W. The serum protein α2–Heremans-Schmid glycoprotein/fetuin-A is a systemically acting inhibitor of ectopic calcification. J. Clin. Investig. 2003, 112, 357–366. [Google Scholar] [CrossRef] [PubMed]
- Babler, A.; Schmitz, C.; Buescher, A.; Herrmann, M.; Gremse, F.; Gorgels, T.; Floege, J.; Jahnen-Dechent, W. Microvasculopathy and soft tissue calcification in mice are governed by fetuin-A, magnesium and pyrophosphate. PLoS ONE 2020, 15, e0228938. [Google Scholar] [CrossRef] [PubMed] [Green Version]
- Chen, H.Y.; Chiu, Y.L.; Hsu, S.P.; Pai, M.F.; Yang, J.Y.; Peng, Y.S. Relationship between Fetuin A, Vascular Calcification and Fracture Risk in Dialysis Patients. PLoS ONE 2016, 11, e0158789. [Google Scholar] [CrossRef]
- Heiss, A.; DuChesne, A.; Denecke, B.; Grötzinger, J.; Yamamoto, K.; Renné, T.; Jahnen-Dechent, W. Structural Basis of Calcification Inhibition by α2-HS Glycoprotein/Fetuin-A: Formation of Colloidal Calciprotein Particles. J. Biol. Chem. 2003, 278, 13333–13341. [Google Scholar] [CrossRef] [PubMed] [Green Version]
- Agha, N.A.; Feyerabend, F.; Mihailova, B.; Heidrich, S.; Bismayer, U.; Willumeit-Römer, R. Magnesium degradation influenced by buffering salts in concentrations typical of in vitro and in vivo models. Mater. Sci. Eng. C 2016, 58, 817–825. [Google Scholar] [CrossRef] [PubMed]
- Nidadavolu, E.P.S.; Feyerabend, F.; Ebel, T.; Willumeit-Römer, R.; Dahms, M. On the Determination of Magnesium Degradation Rates under Physiological Conditions. Materials 2016, 9, 627. [Google Scholar] [CrossRef] [Green Version]
- Fischer, J.; Pröfrock, D.; Hort, N.; Willumeit, R.; Feyerabend, F. Improved cytotoxicity testing of magnesium materials. Mater. Sci. Eng. B Solid-State Mater. Adv. Technol. 2011, 176, 830–834. [Google Scholar] [CrossRef] [Green Version]
- Omidi, M.; Ahmad Agha, N.; Müller, A.; Feyerabend, F.; Helmholz, H.; Willumeit-Römer, R.; Schlüter, H.; Luthringer-Feyerabend, B.J.C. Investigation of the impact of magnesium versus titanium implants on protein composition in osteoblast by label free quantification. Metallomics 2020, 12, 916–934. [Google Scholar] [CrossRef]
- Van der Valk, J.; Bieback, K.; Buta, C.; Cochrane, B.; Dirks, W.G.; Fu, J.; Hickman, J.J.; Hohensee, C.; Kolar, R.; Liebsch, M.; et al. Fetal Bovine Serum (FBS): Past–Present–Future. Altex 2018, 35, 99–118. [Google Scholar] [CrossRef] [PubMed] [Green Version]
- Tie, D.; Feyerabend, F.; Hort, N.; Willumeit, R.; Hoeche, D. XPS Studies of Magnesium Surfaces after Exposure to Dulbecco’s Modified Eagle Medium, Hank’s Buffered Salt Solution, and Simulated Body Fluid. Adv. Eng. Mater. 2010, 12, B699–B704. [Google Scholar] [CrossRef]
- Waizy, H.; Weizbauer, A.; Modrejewski, C.; Witte, F.; Windhagen, H.; Lucas, A.; Kieke, M.; Denkena, B.; Behrens, P.; Meyer-Lindenberg, A.; et al. In vitro corrosion of ZEK100 plates in Hank’s Balanced Salt Solution. BioMedical Eng. OnLine 2012, 11, 12. [Google Scholar] [CrossRef] [Green Version]
- Minisola, S.; Pepe, J.; Piemonte, S.; Cipriani, C. The diagnosis and management of hypercalcaemia. BMJ Br. Med. J. 2015, 350, h2723. [Google Scholar] [CrossRef] [Green Version]
- Esmaily, M.; Svensson, J.E.; Fajardo, S.; Birbilis, N.; Frankel, G.S.; Virtanen, S.; Arrabal, R.; Thomas, S.; Johansson, L.G. Fundamentals and advances in magnesium alloy corrosion. Prog. Mater. Sci. 2017, 89, 92–193. [Google Scholar] [CrossRef]
- Willumeit-Römer, R. The Interface between Degradable Mg and Tissue. JOM 2019, 71, 1447–1455. [Google Scholar] [CrossRef] [Green Version]
- Kirkland, N.; Waterman, J.; Birbilis, N.; Dias, G.; Woodfield, T.; Hartshorn, R.; Staiger, M. Buffer-regulated biocorrosion of pure magnesium. J. Mater. Sci. Mater. Med. 2011, 23, 283–291. [Google Scholar] [CrossRef] [PubMed]
- Höhn, S.; Virtanen, S.; Boccaccini, A.R. Protein adsorption on magnesium and its alloys: A review. Appl. Surf. Sci. 2019, 464, 212–219. [Google Scholar] [CrossRef]
- Hou, R.; Scharnagl, N.; Willumeit, R.; Feyerabend, F. Different effects of single protein vs. protein mixtures on magnesium degradation under cell culture conditions. Acta Biomater. 2019, 98, 256–268. [Google Scholar] [CrossRef]
- Wagener, V.; Faltz, A.-S.; Killian, M.S.; Schmuki, P.; Virtanen, S. Protein interactions with corroding metal surfaces: Comparison of Mg and Fe. Faraday Discuss. 2015, 180, 347–360. [Google Scholar] [CrossRef] [Green Version]
- Cartellieri, S.; Hamer, O.; Helmholz, H.; Niemeyer, B. One-step affinity purification of fetuin from fetal bovine serum. Biotechnol. Appl. Biochem. 2002, 35, 83–89. [Google Scholar] [CrossRef]
- Ketteler, M.; Bongartz, P.; Westenfeld, R.; Wildberger, J.E.; Mahnken, A.H.; Böhm, R.; Metzger, T.; Wanner, C.; Jahnen-Dechent, W.; Floege, J. Association of low fetuin-A (AHSG) concentrations in serum with cardiovascular mortality in patients on dialysis: A cross-sectional study. Lancet 2003, 361, 827–833. [Google Scholar] [CrossRef]
- Heiss, A.; Jahnen-Dechent, W.; Endo, H.; Schwahn, D. Structural dynamics of a colloidal protein-mineral complex bestowing on calcium phosphate a high solubility in biological fluids. Biointerphases 2007, 2, 16–20. [Google Scholar] [CrossRef] [PubMed] [Green Version]
- Unbehau, R.; Luthringer-Feyerabend, B.J.C.; Willumeit-Römer, R. The impact of brain cell metabolism and extracellular matrix on magnesium degradation. Acta Biomater. 2020, 116, 426–437. [Google Scholar] [CrossRef]
- Duewelhenke, N.; Eysel, P. Serum-free cultivation of osteoprogenitor cells and osteoblasts to test biomaterials. Orthopade 2007, 36, 220–226. [Google Scholar] [CrossRef]
- Korhonen, M. Culture of human mesenchymal stem cells in serum-free conditions: No breakthroughs yet. Eur. J. Haematol. 2007, 78, 167. [Google Scholar] [CrossRef] [PubMed]
- Kundranda, M.N.; Ray, S.; Saria, M.; Friedman, D.; Matrisian, L.M.; Lukyanov, P.; Ochieng, J. Annexins expressed on the cell surface serve as receptors for adhesion to immobilized fetuin-A. Biochim. Biophys. Acta (BBA) Mol. Cell Res. 2004, 1693, 111–123. [Google Scholar] [CrossRef] [Green Version]
- Mattinzoli, D.; Ikehata, M.; Tsugawa, K.; Alfieri, C.M.; Barilani, M.; Lazzari, L.; Andreetta, P.; Elli, F.M.; Mantovani, G.; Messa, P. FGF23 and Fetuin-A Interaction and Mesenchymal Osteogenic Transformation. Int. J. Mol. Sci. 2019, 20, 915. [Google Scholar] [CrossRef] [Green Version]
- Mattinzoli, D.; Rastaldi, M.P.; Ikehata, M.; Armelloni, S.; Pignatari, C.; Giardino, L.A.; Li, M.; Alfieri, C.M.; Regalia, A.; Riccardi, D.; et al. FGF23-regulated production of Fetuin-A (AHSG) in osteocytes. Bone 2016, 83, 35–47. [Google Scholar] [CrossRef] [PubMed]
- Binkert, C.; Demetriou, M.; Sukhu, B.; Szweras, M.; Tenenbaum, H.C.; Dennis, J.W. Regulation of Osteogenesis by Fetuin. J. Biol. Chem. 1999, 274, 28514–28520. [Google Scholar] [CrossRef] [PubMed] [Green Version]









| Composition (Wt.%) | Ca | Zn | Fe | Cu | Si | Al | Mn |
|---|---|---|---|---|---|---|---|
| Weight percentage | 0.0041 | 0.0018 | 0.0048 | 0.0003 | 0.016 | 0.016 | 0.020 |
| Sample | C Fetuin (mg/mL) | C Ca (mM) | Run |
|---|---|---|---|
| F0Ca0 | - | 0 | A/B |
| F0Ca2 | - | 2 | A |
| F0Ca4 | - | 4 | A/B |
| F0Ca8 | - | 8 | A |
| F2Ca0 | 2 | 0 | A |
| F2Ca2 | 2 | 2 | A |
| F2Ca4 | 2 | 4 | A |
| F2Ca8 | 2 | 8 | A |
| F1Ca0 | 1 | 0 | B |
| F3Ca0 | 1 | 0 | B |
| F1Ca4 | 3 | 4 | B |
| F3Ca4 | 3 | 4 | B |
| Sample | C (%) | O (%) | Mg (%) | P (%) | Ca (%) |
|---|---|---|---|---|---|
| F0Ca0 | 22.35 | 55.10 | 20.26 | 2.37 | n.d. |
| F3Ca0 | 22.81 | 53.52 | 23.30 | n.d. | n.d. |
| F3Ca4 | 29.45 | 45.04 | 6.55 | 7.55 | 7.57 |
| Sample | Cav Fetuin (mg/mL) | SD |
|---|---|---|
| F2Ca0 8 d | 1.22 | 0.14 |
| F2Ca2 8 d | 1.26 | 0.08 |
| F2Ca4 8 d | 1.27 | 0.23 |
| F2Ca8 8 d | 1.41 | 0.16 |
| F0Ca0 15 d | <LOD | |
| F0Ca4 15 d | <LOD | |
| F1Ca0 15 d | 0.39 | 0.10 |
| F1Ca4 15 d | 0.73 * | 0.17 |
| F3Ca0 15 d | 2.03 | 0.19 |
| F3Ca4 15 d | 2.14 | 0.20 |
| Time (days) | With pOB C Mg (mM) | Without pOB C Mg (mM) |
|---|---|---|
| 2 | 21.18 (3.86) * | 32.10 (1.92) |
| 6 | 21.82 (1.90) * | 57.34 (1.09) |
| 8 | 17.11 (0.61) * | 43.32 (11.18) |
| 13 | 23.01 (1.98) * | 50.42 (12.21) |
Publisher’s Note: MDPI stays neutral with regard to jurisdictional claims in published maps and institutional affiliations. |
© 2021 by the authors. Licensee MDPI, Basel, Switzerland. This article is an open access article distributed under the terms and conditions of the Creative Commons Attribution (CC BY) license (https://creativecommons.org/licenses/by/4.0/).
Share and Cite
Helmholz, H.; Adejube, B.; Luthringer-Feyerabend, B.; Willumeit-Römer, R. In Vitro Investigation on Degradable Mg-Based Biomaterial under the Impact of the Serum Glycoprotein Fetuin. Materials 2021, 14, 5005. https://doi.org/10.3390/ma14175005
Helmholz H, Adejube B, Luthringer-Feyerabend B, Willumeit-Römer R. In Vitro Investigation on Degradable Mg-Based Biomaterial under the Impact of the Serum Glycoprotein Fetuin. Materials. 2021; 14(17):5005. https://doi.org/10.3390/ma14175005
Chicago/Turabian StyleHelmholz, Heike, Blessing Adejube, Bérengère Luthringer-Feyerabend, and Regine Willumeit-Römer. 2021. "In Vitro Investigation on Degradable Mg-Based Biomaterial under the Impact of the Serum Glycoprotein Fetuin" Materials 14, no. 17: 5005. https://doi.org/10.3390/ma14175005
APA StyleHelmholz, H., Adejube, B., Luthringer-Feyerabend, B., & Willumeit-Römer, R. (2021). In Vitro Investigation on Degradable Mg-Based Biomaterial under the Impact of the Serum Glycoprotein Fetuin. Materials, 14(17), 5005. https://doi.org/10.3390/ma14175005

