Characterization and Cytotoxicity Comparison of Silver- and Silica-Based Nanostructures
Abstract
:1. Introduction
2. Materials and Methods
2.1. Materials and Reagents
2.2. Synthesis
2.2.1. Synthesis of Silver Nanoparticles (Ag NPs)
2.2.2. Synthesis of Silica Nanoparticles (SiO2 NPs)
2.2.3. Synthesis of SiO2@Ag
2.2.4. Synthesis of Ag@SiO2
2.2.5. Synthesis of Ag@SiO2@Ag
2.3. Methods
3. Results and Discussion
3.1. Synthesis and Characterization of Nanocomposite
3.2. Transmission Electron Microscopy—Morphology Analysis
3.3. UV-Vis Spectroscopy
3.4. FT-IR Spectroscopy Analysis
3.5. Thermogravimetric Analysis
3.6. Contact Angle Measurement
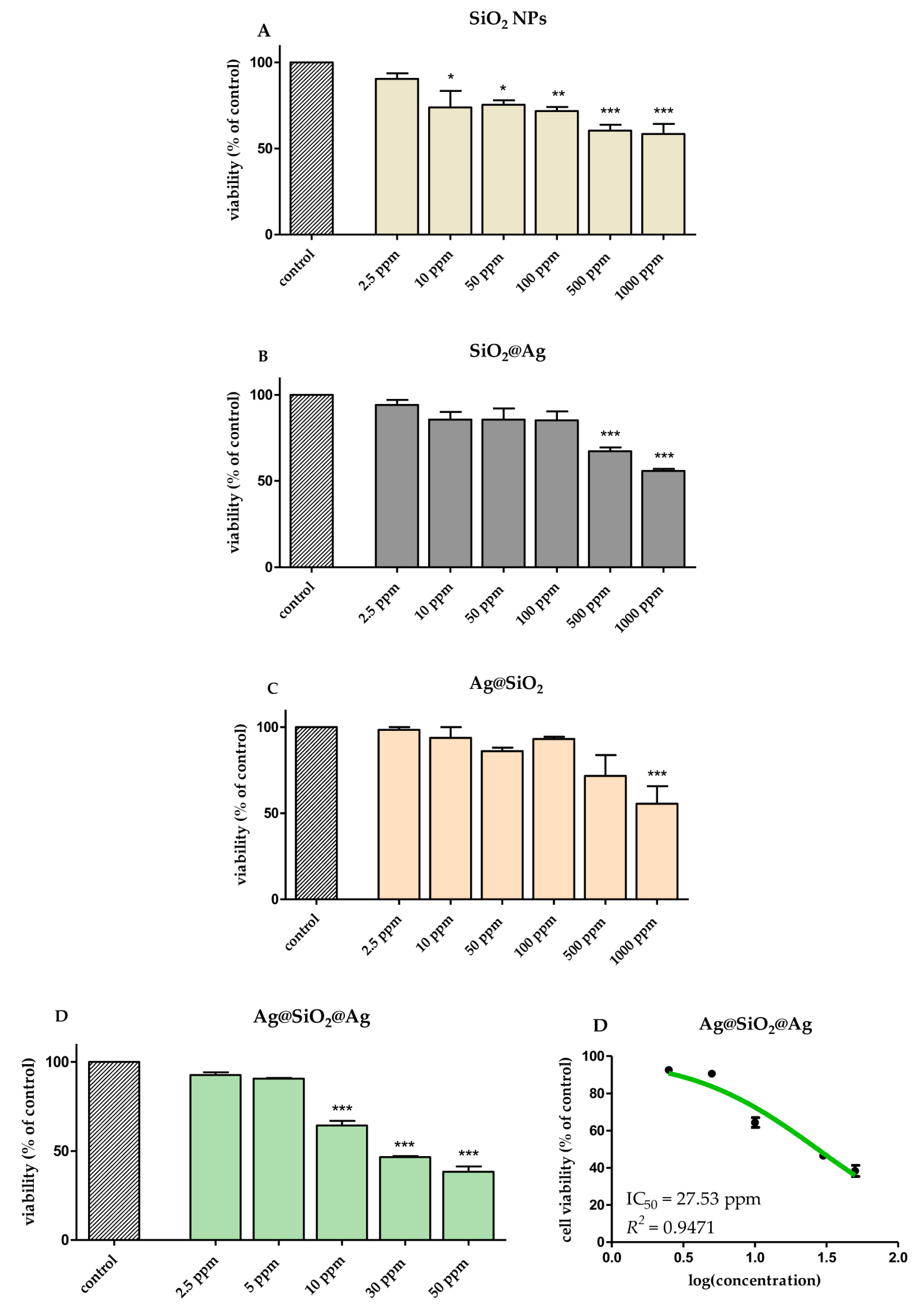
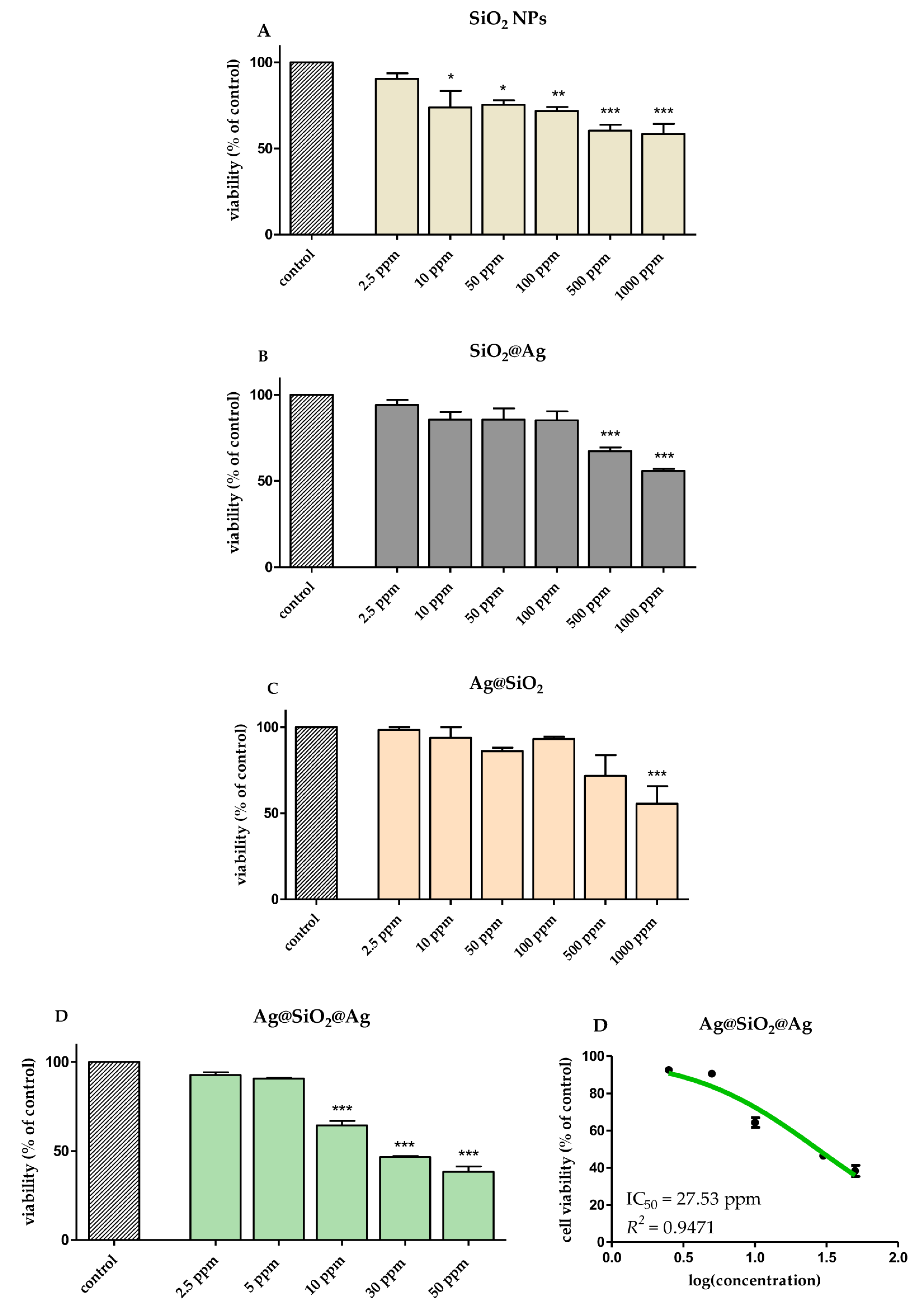
3.7. Cytotoxic Effect of SiO2@Ag, Ag@SiO2, Ag@SiO2@Ag, and SiO2 Nanoparticles
4. Conclusions
Author Contributions
Funding
Institutional Review Board Statement
Informed Consent Statement
Data Availability Statement
Conflicts of Interest
References
- Krishnan, P.D.; Banas, D.; Durai, R.D.; Kabanov, D.; Hosnedlova, B.; Kepinska, M.; Fernandez, C.; Ruttkay-Nedecky, B.; Nguyen, H.V.; Farid, A.; et al. Silver Nanomaterials for Wound Dressing Applications. Pharmaceutics 2020, 12, 821. [Google Scholar] [CrossRef]
- Eghbalifam, N.; Shojaosadati, S.A.; Hashemi-Najafabadi, S.; Khorasani, A.C. Synthesis and Characterization of Antimicrobial Wound Dressing Material Based on Silver Nanoparticles Loaded Gum Arabic Nanofibers. Int. J. Biol. Macromol. 2020, 155, 119–130. [Google Scholar] [CrossRef]
- Gupta, A.; Briffa, S.M.; Swingler, S.; Gibson, H.; Kannappan, V.; Adamus, G.; Kowalczuk, M.; Martin, C.; Radecka, I. Synthesis of Silver Nanoparticles Using Curcumin-Cyclodextrins Loaded into Bacterial Cellulose-Based Hydrogels for Wound Dressing Applications. Biomacromolecules 2020, 21, 1802–1811. [Google Scholar] [CrossRef] [PubMed]
- Deshmukh, S.P.; Patil, S.M.; Mullani, S.B.; Delekar, S.D. Silver Nanoparticles as an Effective Disinfectant: A Review. Mater. Sci. Eng. C Mater. Biol. Appl. 2019, 97, 954–965. [Google Scholar] [CrossRef] [PubMed]
- Fytianos, G.; Rahdar, A.; Kyzas, G.Z. Nanomaterials in Cosmetics: Recent Updates. Nanomaterials 2020, 10, 979. [Google Scholar] [CrossRef]
- Szczepańska, E.; Bielicka-Giełdoń, A.; Niska, K.; Strankowska, J.; Żebrowska, J.; Inkielewicz-Stępniak, I.; Łubkowska, B.; Swebocki, T.; Skowron, P.; Grobelna, B. Synthesis of Silver Nanoparticles in Context of Their Cytotoxicity, Antibacterial Activities, Skin Penetration and Application in Skincare Products. Supramol. Chem. 2020, 32, 207–221. [Google Scholar] [CrossRef]
- Kumar, R.; Mondal, K.; Panda, P.K.; Kaushik, A.; Abolhassani, R.; Ahuja, R.; Rubahn, H.-G.; Mishra, Y.K. Core–Shell Nanostructures: Perspectives towards Drug Delivery Applications. J. Mater. Chem. B 2020, 8, 8992–9027. [Google Scholar] [CrossRef]
- Synak, A.; Szczepańska, E.; Grobelna, B.; Gondek, J.; Mońka, M.; Gryczynski, I.; Bojarski, P. Photophysical Properties and Detection of Valrubicin on Plasmonic Platforms. Dyes Pigment. 2019, 163, 623–627. [Google Scholar] [CrossRef]
- Tak, Y.K.; Pal, S.; Naoghare, P.K.; Rangasamy, S.; Song, J.M. Shape-Dependent Skin Penetration of Silver Nanoparticles: Does It Really Matter? Sci. Rep. 2015, 5, 16908. [Google Scholar] [CrossRef] [Green Version]
- Iravani, S.; Korbekandi, H.; Mirmohammadi, S.V.; Zolfaghari, B. Synthesis of Silver Nanoparticles: Chemical, Physical and Biological Methods. Res. Pharm. Sci. 2014, 9, 385–406. [Google Scholar] [PubMed]
- Malekzadeh, M.; Yeung, K.L.; Halali, M.; Chang, Q. Synthesis of Nanostructured Ag@SiO2-Penicillin from High Purity Ag NPs Prepared by Electromagnetic Levitation Melting Process. Mater. Sci. Eng. C 2019, 102, 616–622. [Google Scholar] [CrossRef] [PubMed]
- Lewandowska-Łańcucka, J.; Gilarska, A.; Buła, A.; Horak, W.; Łatkiewicz, A.; Nowakowska, M. Genipin Crosslinked Bioactive Collagen/Chitosan/Hyaluronic Acid Injectable Hydrogels Structurally Amended via Covalent Attachment of Surface-Modified Silica Particles. Int. J. Biol. Macromol. 2019, 136, 1196–1208. [Google Scholar] [CrossRef] [PubMed]
- Keshavarz, M.; Tan, B.; Venkatakrishnan, K. Cell Selective Apoptosis Induced by Polymorphic Alteration of Self-Assembled Silica Nanowebs. ACS Appl. Mater. Interfaces 2017, 9, 6292–6305. [Google Scholar] [CrossRef] [PubMed]
- Kim, I.-Y.; Joachim, E.; Choi, H.; Kim, K. Toxicity of Silica Nanoparticles Depends on Size, Dose, and Cell Type. Nanomed. Nanotechnol. Biol. Med. 2015, 11, 1407–1416. [Google Scholar] [CrossRef]
- Kumar, V.B.; Kumar, R.; Gedanken, A.; Shefi, O. Fluorescent Metal-Doped Carbon Dots for Neuronal Manipulations. Ultrason. Sonochem. 2019, 52, 205–213. [Google Scholar] [CrossRef]
- Zhao, B.; Dong, Z.; Wang, Q.; Xu, Y.; Zhang, N.; Liu, W.; Lou, F.; Wang, Y. Highly Efficient Mesoporous Core-Shell Structured Ag@SiO2 Nanosphere as an Environmentally Friendly Catalyst for Hydrogenation of Nitrobenzene. Nanomaterials 2020, 10, 883. [Google Scholar] [CrossRef]
- Huang, J.; Han, X.; Zhao, X.; Meng, C. Facile Preparation of Core-Shell Ag@SiO2 Nanoparticles and Their Application in Spectrally Splitting PV/T Systems. Energy 2021, 215, 119111. [Google Scholar] [CrossRef]
- Swinton, D.J.; Zhang, H.; Boroujerdi, A.F.B.; Tyree, K.L.; Burke, R.A.; Turner, M.F.; Salia, I.H.; McClary, T.S. Comparative Analysis of Au and Au@SiO2 Nanoparticle–Protein Interactions for Evaluation as Platforms in Theranostic Applications. ACS Omega 2020, 5, 6348–6357. [Google Scholar] [CrossRef] [PubMed]
- Zhang, S.; Xu, X.; Zhang, G.; Liu, B.; Yang, J. One-Pot One-Step Synthesis of Au@SiO2 Core–Shell Nanoparticles and Their Shell-Thickness-Dependent Fluorescent Properties. RSC Adv. 2019, 9, 17674–17678. [Google Scholar] [CrossRef] [Green Version]
- Nallathamby, P.D.; Hopf, J.; Irimata, L.E.; McGinnity, T.L.; Roeder, R.K. Preparation of Fluorescent Au–SiO2 Core–Shell Nanoparticles and Nanorods with Tunable Silica Shell Thickness and Surface Modification for Immunotargeting. J. Mater. Chem. B 2016, 4, 5418–5428. [Google Scholar] [CrossRef]
- Huang, C.; Wang, F.; Wang, D.; Guo, Z. Wear-Resistant and Robust Superamphiphobic Coatings with Hierarchical TiO2 /SiO2 Composite Particles and Inorganic Adhesives. New J. Chem. 2020, 44, 1194–1203. [Google Scholar] [CrossRef]
- Pakdel, E.; Daoud, W.A.; Seyedin, S.; Wang, J.; Razal, J.M.; Sun, L.; Wang, X. Tunable Photocatalytic Selectivity of TiO2/SiO2 Nanocomposites: Effect of Silica and Isolation Approach. Colloids Surf. A Physicochem. Eng. Asp. 2018, 552, 130–141. [Google Scholar] [CrossRef]
- Selim, M.S.; El-Safty, S.A.; Azzam, A.M.; Shenashen, M.A.; El-Sockary, M.A.; Abo Elenien, O.M. Superhydrophobic Silicone/TiO2–SiO2 Nanorod-like Composites for Marine Fouling Release Coatings. ChemistrySelect 2019, 4, 3395–3407. [Google Scholar] [CrossRef]
- Alimunnisa, J.; Ravichandran, K.; Meena, K.S. Synthesis and Characterization of Ag@SiO2 Core-Shell Nanoparticles for Antibacterial and Environmental Applications. J. Mol. Liq. 2017, 231, 281–287. [Google Scholar] [CrossRef]
- Otari, S.V.; Yadav, H.M.; Thorat, N.D.; Patil, R.M.; Lee, J.K.; Pawar, S.H. Facile One Pot Synthesis of Core Shell Ag@SiO2 Nanoparticles for Catalytic and Antimicrobial Activity. Mater. Lett. 2016, 167, 179–182. [Google Scholar] [CrossRef]
- Fratoddi, I. Hydrophobic and Hydrophilic Au and Ag Nanoparticles. Breakthroughs and Perspectives. Nanomaterials 2018, 8, 11. [Google Scholar] [CrossRef] [Green Version]
- Szczepańska, E.; Grobelna, B.; Ryl, J.; Kulpa, A.; Ossowski, T.; Niedziałkowski, P. Efficient Method for the Concentration Determination of Fmoc Groups Incorporated in the Core-Shell Materials by Fmoc–Glycine. Molecules 2020, 25, 3983. [Google Scholar] [CrossRef]
- Theodorou, I.; Ryan, M.; Tetley, T.; Porter, A. Inhalation of Silver Nanomaterials—Seeing the Risks. Int. J. Mol. Sci. 2014, 15, 23936–23974. [Google Scholar] [CrossRef] [Green Version]
- De Matteis, V. Exposure to Inorganic Nanoparticles: Routes of Entry, Immune Response, Biodistribution and In Vitro/In Vivo Toxicity Evaluation. Toxics 2017, 5, 29. [Google Scholar] [CrossRef] [Green Version]
- Ferdous, Z.; Nemmar, A. Health Impact of Silver Nanoparticles: A Review of the Biodistribution and Toxicity Following Various Routes of Exposure. Int. J. Mol. Sci. 2020, 21, 2375. [Google Scholar] [CrossRef] [Green Version]
- Quadros, M.E.; Marr, L.C. Silver Nanoparticles and Total Aerosols Emitted by Nanotechnology-Related Consumer Spray Products. Environ. Sci. Technol. 2011, 45, 10713–10719. [Google Scholar] [CrossRef]
- Hadrup, N.; Sharma, A.K.; Loeschner, K.; Jacobsen, N.R. Pulmonary Toxicity of Silver Vapours, Nanoparticles and Fine Dusts: A Review. Regul. Toxicol. Pharmacol. 2020, 115, 104690. [Google Scholar] [CrossRef]
- Yang, Y.-F.; Wang, W.-M.; Chen, C.-Y.; Lu, T.-H.; Liao, C.-M. Assessing Human Exposure Risk and Lung Disease Burden Posed by Airborne Silver Nanoparticles Emitted by Consumer Spray Products. Int. J. Nanomed. 2019, 14, 1687–1703. [Google Scholar] [CrossRef]
- Simbine, E.O.; da Rodrigues, L.C.; Lapa-Guimarães, J.; Kamimura, E.S.; Corassin, C.H.; de Oliveira, C.A.F.; Simbine, E.O.; da Rodrigues, L.C.; Lapa-Guimarães, J.; Kamimura, E.S.; et al. Application of Silver Nanoparticles in Food Packages: A Review. Food Sci. Technol. 2019, 39, 793–802. [Google Scholar] [CrossRef] [Green Version]
- McClements, D.J.; Xiao, H. Is Nano Safe in Foods? Establishing the Factors Impacting the Gastrointestinal Fate and Toxicity of Organic and Inorganic Food-Grade Nanoparticles. NPJ Sci. Food 2017, 1, 6. [Google Scholar] [CrossRef]
- Cueva, C.; Gil-Sánchez, I.; Tamargo, A.; Miralles, B.; Crespo, J.; Bartolomé, B.; Moreno-Arribas, M.V. Gastrointestinal Digestion of Food-Use Silver Nanoparticles in the Dynamic SIMulator of the GastroIntestinal Tract (Simgi®). Impact on Human Gut Microbiota. Food Chem. Toxicol. 2019, 132, 110657. [Google Scholar] [CrossRef]
- Gaillet, S.; Rouanet, J.-M. Silver Nanoparticles: Their Potential Toxic Effects after Oral Exposure and Underlying Mechanisms–A Review. Food Chem. Toxicol. 2015, 77, 58–63. [Google Scholar] [CrossRef] [PubMed]
- Kalantari, K.; Mostafavi, E.; Afifi, A.M.; Izadiyan, Z.; Jahangirian, H.; Rafiee-Moghaddam, R.; Webster, T.J. Wound Dressings Functionalized with Silver Nanoparticles: Promises and Pitfalls. Nanoscale 2020, 12, 2268–2291. [Google Scholar] [CrossRef] [PubMed]
- Bianco, C.; Visser, M.J.; Pluut, O.A.; Svetličić, V.; Pletikapić, G.; Jakasa, I.; Riethmuller, C.; Adami, G.; Filon, F.L.; Schwegler-Berry, D.; et al. Characterization of Silver Particles in the Stratum Corneum of Healthy Subjects and Atopic Dermatitis Patients Dermally Exposed to a Silver-Containing Garment. Nanotoxicology 2016, 10, 1480–1491. [Google Scholar] [CrossRef] [PubMed] [Green Version]
- Wang, M.; Marepally, S.K.; Vemula, P.K.; Xu, C. Chapter 5-Inorganic Nanoparticles for Transdermal Drug Delivery and Topical Application. In Nanoscience in Dermatology; Hamblin, M.R., Avci, P., Prow, T.W., Eds.; Academic Press: Boston, MA, USA, 2016; pp. 57–72. ISBN 978-0-12-802926-8. [Google Scholar]
- Sakthisabarimoorthi, A.; Dhas, S.A.M.B.; Jose, M. Fabrication and Nonlinear Optical Investigations of SiO2@Ag Core-Shell Nanoparticles. Mater. Sci. Semicond. Process. 2017, 71, 69–75. [Google Scholar] [CrossRef]
- Szczepańska, E.; Synak, A.; Bojarski, P.; Niedziałkowski, P.; Wcisło, A.; Ossowski, T.; Grobelna, B. Dansyl-Labelled Ag@SiO2 Core-Shell Nanostructures—Synthesis, Characterization, and Metal-Enhanced Fluorescence. Materials 2020, 13, 5168. [Google Scholar] [CrossRef] [PubMed]
- Swebocki, T.; Niedziałkowski, P.; Cirocka, A.; Szczepańska, E.; Ossowski, T.; Wcisło, A. In Pursuit of Key Features for Constructing Electrochemical Biosensors–Electrochemical and Acid-Base Characteristic of Self-Assembled Monolayers on Gold. Supramol. Chem. 2020, 32, 256–266. [Google Scholar] [CrossRef]
- Dąbrowa, T.; Wcisło, A.; Majstrzyk, W.; Niedziałkowski, P.; Ossowski, T.; Więckiewicz, W.; Gotszalk, T. Adhesion as a Component of Retention Force of Overdenture Prostheses-Study on Selected Au Based Dental Materials Used for Telescopic Crowns Using Atomic Force Microscopy and Contact Angle Techniques. J. Mech. Behav. Biomed. Mater. 2021, 121, 104648. [Google Scholar] [CrossRef] [PubMed]
- Cirocka, A.; Zarzeczańska, D.; Wcisło, A.; Ryl, J.; Bogdanowicz, R.; Finke, B.; Ossowski, T. Tuning of the Electrochemical Properties of Transparent Fluorine-Doped Tin Oxide Electrodes by Microwave Pulsed-Plasma Polymerized Allylamine. Electrochim. Acta 2019, 313, 432–440. [Google Scholar] [CrossRef]
- Synak, A.; Grobelna, B.; Raut, S.; Bojarski, P.; Gryczyński, I.; Karczewski, J.; Shtoyko, T. Metal Enhanced Fluorescence of Flavin Mononucleotide Using New Plasmonic Platform. Opt. Mater. 2016, 59, 136–140. [Google Scholar] [CrossRef] [Green Version]
- Kulpa, A.; Ryl, J.; Skowierzak, G.; Koterwa, A.; Schroeder, G.; Ossowski, T.; Niedziałkowski, P. Comparison of Cadmium Cd2+ and Lead Pb2+ Binding by Fe2O3@SiO2-EDTA Nanoparticles–Binding Stability and Kinetic Studies. Electroanalysis 2020, 32, 588–597. [Google Scholar] [CrossRef]
- Panwar, K.; Jassal, M.; Agrawal, A.K. In Situ Synthesis of Ag–SiO2 Janus Particles with Epoxy Functionality for Textile Applications. Particuology 2015, 19, 107–112. [Google Scholar] [CrossRef]
- Ruíz-Baltazar, A.; Esparza, R.; Pérez, R.; Rosas, G. Spectroscopy Study of Silver Nanoparticles Produced by Chemical Reduction. Mater. Sci. Forum 2013, 755, 15–20. [Google Scholar] [CrossRef]
- Musić, S.; Filipović-Vinceković, N.; Sekovanić, L. Precipitation of Amorphous SiO2 Particles and Their Properties. Braz. J. Chem. Eng. 2011, 28, 89–94. [Google Scholar] [CrossRef]
- Gui-Long, X.; Changyun, D.; Yun, L.; Pi-Hui, P.; Jian, H.; Zhuoru, Y. Preparation and Characterization of Raspberry-like SiO2 Particles by the Sol-Gel Method. Nanomater. Nanotechnol. 2011, 1, 21. [Google Scholar] [CrossRef]
- Chiu, Y.; Rambabu, U.; Hsu, M.-H.; Shieh, H.-P.; Chen, C.-Y.; Lin, H.-H. Fabrication and Nonlinear Optical Properties of Nanoparticle Silver Oxide Films. J. Appl. Phys. 2003, 94, 1996–2001. [Google Scholar] [CrossRef] [Green Version]
- Assis, M.; Simoes, L.G.P.; Tremiliosi, G.C.; Coelho, D.; Minozzi, D.T.; Santos, R.I.; Vilela, D.C.B.; do Santos, J.R.; Ribeiro, L.K.; Rosa, I.L.V.; et al. SiO2-Ag Composite as a Highly Virucidal Material: A Roadmap That Rapidly Eliminates SARS-CoV-2. Nanomaterials 2021, 11, 638. [Google Scholar] [CrossRef]
- Sakthisabarimoorthi, A.; Martin Britto Dhas, S.A.; Jose, M. Nonlinear Optical Properties of Ag@SiO2 Core-Shell Nanoparticles Investigated by Continuous Wave He-Ne Laser. Mater. Chem. Phys. 2018, 212, 224–229. [Google Scholar] [CrossRef]
- Su, G.; Yang, C.; Zhu, J.-J. Fabrication of Gold Nanorods with Tunable Longitudinal Surface Plasmon Resonance Peaks by Reductive Dopamine. Langmuir 2015, 31, 817–823. [Google Scholar] [CrossRef]
- Blinov, A.V.; Blinova, A.A.; Kravtsov, A.A.; Gvozdenko, A.A.; Kobina, A.V.; Momot, E.V. Synthesis of Multicomponent Systems Based on Silicon Dioxide and Noble Metal Nanoparticles; AIP Conference Proceedings: Erode, India, 2019; p. 040011. [Google Scholar]
- Li, Y.; Zhang, B.-P.; Zhao, C.-H.; Zhao, J.-X. Structure Transition, Formation, and Optical Absorption Property Study of Ag/SiO2 Nanofilm by Sol–Gel Method. J. Mater. Res. 2012, 27, 3141–3146. [Google Scholar] [CrossRef]
- Grobelna, B.; Szabelski, M.; Kledzik, K.; Kłonkowski, A.M. Luminescent Properties of Sm(III) Ions in Ln2(WO4)3 Entrapped in Silica Xerogel. J. Non-Cryst. Solids 2007, 353, 2861–2866. [Google Scholar] [CrossRef]
- Vimbela, G.V.; Ngo, S.M.; Fraze, C.; Yang, L.; Stout, D.A. Antibacterial Properties and Toxicity from Metallic Nanomaterials. Int. J. Nanomed. 2017, 12, 3941–3965. [Google Scholar] [CrossRef] [Green Version]
- Ge, L.; Li, Q.; Wang, M.; Ouyang, J.; Li, X.; Xing, M.M. Nanosilver Particles in Medical Applications: Synthesis, Performance, and Toxicity. Int. J. Nanomed. 2014, 9, 2399–2407. [Google Scholar] [CrossRef] [Green Version]
- Bharadwaj, P.S. Silver or Silver Nanoparticle a Safety or a Risk. J. Environ. Res. Dev. 2012, 7, 452–456. [Google Scholar]
- Akter, M.; Md.Sikder, T.; Md. Rahman, M.; Ullah, A.K.M.A.; Hossain, K.F.B.; Banik, S.; Hosokawa, T.; Saito, T.; Kurasaki, M. A Systematic Review on Silver Nanoparticles-Induced Cytotoxicity: Physicochemical Properties and Perspectives. J. Adv. Res. 2018, 9, 1–16. [Google Scholar] [CrossRef] [PubMed]
- Li, Y.; Bhalli, J.A.; Ding, W.; Yan, J.; Pearce, M.G.; Sadiq, R.; Cunningham, C.K.; Jones, M.Y.; Monroe, W.A.; Howard, P.C.; et al. Cytotoxicity and Genotoxicity Assessment of Silver Nanoparticles in Mouse. Nanotoxicology 2014, 8, 36–45. [Google Scholar] [CrossRef] [PubMed]








| HaCaT | ||||||
|---|---|---|---|---|---|---|
| Ag NPs (20 nm) | Ag NPs (100 nm) | SiO2 NPs | SiO2@Ag | Ag@SiO2 | Ag@SiO2@Ag | |
| IC50 | >15 ppm | 0.75 ppm | >1000 ppm | 573.6 ppm | 589.4 ppm | 12.41 ppm |
| logIC50 | - | −6.135 ± 0.071 | - | 2.759 ± 0.063 | 2.770 ± 0.132 | 1.094 ± 0.097 |
| HDF | ||||||
|---|---|---|---|---|---|---|
| Ag NPs (20 nm) | Ag NPs (100 nm) | SiO2 NPs | SiO2@Ag | Ag@SiO2 | Ag@SiO2@Ag | |
| IC50 | 8.44 ppm | 0.92 ppm | >1000 ppm | >1000 ppm | >1000 ppm | 27.53 ppm |
| logIC50 | −5.074 ± 0.1040 | −6.04 ± 0.052 | - | - | - | 1.044 ± 0.0418 |
Publisher’s Note: MDPI stays neutral with regard to jurisdictional claims in published maps and institutional affiliations. |
© 2021 by the authors. Licensee MDPI, Basel, Switzerland. This article is an open access article distributed under the terms and conditions of the Creative Commons Attribution (CC BY) license (https://creativecommons.org/licenses/by/4.0/).
Share and Cite
Adamska, E.; Niska, K.; Wcisło, A.; Grobelna, B. Characterization and Cytotoxicity Comparison of Silver- and Silica-Based Nanostructures. Materials 2021, 14, 4987. https://doi.org/10.3390/ma14174987
Adamska E, Niska K, Wcisło A, Grobelna B. Characterization and Cytotoxicity Comparison of Silver- and Silica-Based Nanostructures. Materials. 2021; 14(17):4987. https://doi.org/10.3390/ma14174987
Chicago/Turabian StyleAdamska, Elżbieta, Karolina Niska, Anna Wcisło, and Beata Grobelna. 2021. "Characterization and Cytotoxicity Comparison of Silver- and Silica-Based Nanostructures" Materials 14, no. 17: 4987. https://doi.org/10.3390/ma14174987
APA StyleAdamska, E., Niska, K., Wcisło, A., & Grobelna, B. (2021). Characterization and Cytotoxicity Comparison of Silver- and Silica-Based Nanostructures. Materials, 14(17), 4987. https://doi.org/10.3390/ma14174987

