Radiation Hardness of Silicon Carbide upon High-Temperature Electron and Proton Irradiation
Abstract
:1. Introduction
2. Mechanism of Radiation-Induced Degradation of SiC
3. Experiments on Determining the Carrier Removal Rate
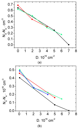
4. Degradation of SiC Performance under the Action of Radiation
- The free carrier concentration decreases and, accordingly, the ohmic resistance of the base region grows. This is due to the formation of compensating radiation defects to which free carriers go.
- The carrier lifetime and their diffusion length become shorter. This is due to the increase in the concentration of recombination centers in the semiconductor.
- The leakage currents under a reverse bias increase. This may be due to the formation of defect clusters shunting the pn junction.
5. Comparison of the Radiation Hardnesses of Si and SiC
6. Irradiation of SiC at Elevated Temperatures
7. Conclusions
- Silicon carbide of n-type is compensated under irradiation due to the transition of carriers to the acceptor-type radiation defects being formed. As a result, the concentration difference Nd–Na (Na–Nd) linearly decreases with increasing irradiation dose.
- It was shown that the dose Φcr corresponding to the total degradation of a device satisfies the condition Φcr ≈ Vd/n0, where Vd is the removal rate of electrons from the blocking layer of the device and n0 the initial electron concentration in the blocking (drift) layer. In the VMOSFET devises under study (1.2 kV class), Φcr ≈ 1014 cm−2, from a physics viewpoint, the condition Φcr ≈ Vd/n0 reflects the situation in which the concentration of a deep levels created by irradiation becomes equal to the initial concentration of electrons in the drift region.
- The radiation hardness of SiC devices exceeds by approximately two orders of magnitude that of silicon-based devices with the same breakdown voltage.
- It was shown for the first time that when operating under conditions of increased radiation and elevated temperature, the service life of carbide devices is longer than that for the same devices working at room temperature. Judging by the carrier removal rate or the increase in the base resistance of Schottky diodes under irradiation, it can be said that the service life is at least doubled.
Author Contributions
Funding
Institutional Review Board Statement
Informed Consent Statement
Data Availability Statement
Conflicts of Interest
References
- Choyke, W.J. A review of radiation damage in SiC. Inst. Phys. Conf. Ser. 1977, 31, 58–67. [Google Scholar]
- Metcalfe, J. Silicon Detectors for the sLHC. Nucl. Phys. B Proc. Suppl. 2011, 215, 151–157. [Google Scholar] [CrossRef]
- Hallen, A.; Henry, A.; Pelligrino, P.; Swensson, B.G.; Aberg, D. Ion Implantation induced defects in epitaxial 4H-SiC. Mater. Sci. Eng. 1999, 61–62, 378–381. [Google Scholar] [CrossRef]
- Swensson, B.G.; Hallen, A.; Linnarson, M.K.; Kuznetsov, A.Y.; Janson, M.S.; Aberg, D.; Osterman, J.; Persson, P.O.A.; Hultman, L.; Storasta, L.; et al. Doping of Silicon Carbide by ion Implantation. Mater. Sci. Forum 2001, 353–356, 349–354. [Google Scholar]
- Casse, G. Overview of the recent activities of the RD50 collaboration on radiation hardening of semiconductor detectors for the sLHC. Nucl. Instrum. Methods Phys. Res. A 2009, 598, 54–60. [Google Scholar] [CrossRef]
- Murata, K.; Mitomo, S.; Matsuda, T.; Yokoseki, T.; Makino, T.; Onoda, S.; Takeyama, A.; Ohshima, T.; Okubo, S.; Tanaka, Y.; et al. Impacts of gate bias and its variation on gamma-ray irradiation resistance of SiC MOSFETs. Phys. Status Solidi A 2017, 214, 1600446. [Google Scholar] [CrossRef]
- Ashrafi, S.; Eslami, B. Investigation of sensitivity and threshold voltage shift of commercial MOSFETs in gamma irradiation. Nucl. Sci. Tech. 2016, 27, 144–146. [Google Scholar] [CrossRef]
- Akturk, A.; McGarrity, J.M.; Potbhare, S.; Goldsman, N. Radiation effects in commercial 1200 V 24 A silicon carbide power MOSFETs. IEEE Trans. Nucl. Sci. 2012, 59, 3258–3264. [Google Scholar] [CrossRef]
- Tadjer, M.J.; Stahlbush, R.E.; Hobart, K.D.; McMarr, P.J.; Hughes, H.L.; Imhoff, E.A.; Kub, F.J.; Haney, S.K.; Agarwal, A. Spatial localization of carrier traps in 4H-SiC MOSFET devices using thermally stimulated current. J. Electron. Mater. 2010, 39, 517–525. [Google Scholar] [CrossRef] [Green Version]
- Ahyi, A.C.; Wang, S.R.; Williams, J. Gamma irradiation effects on 4H-SiC MOS capacitors and MOSFETs. Mater. Sci. Forum 2006, 527–529 Pt 2, 1063–1066. [Google Scholar] [CrossRef]
- Matsuda, T.; Yokoseki, T.; Mitomo, S.; Murata, K.; Makino, T.; Abe, H.; Takeyama, A.; Onoda, S.; Tanaka, Y.; Kandori, M.; et al. Change in characteristics of SiC MOSFETs by gamma-ray irradiation at high temperature. Mater. Sci. Forum 2016, 858, 860–863. [Google Scholar] [CrossRef]
- Castaldini, A.; Cavallini, A.; Rigutti, L.; Nava, F. Low temperature annealing of electron irradiation induced defects in 4H–SiC. Appl. Phys. Lett. 2004, 85, 3780–3782. [Google Scholar] [CrossRef]
- Danno, K.; Kimoto, T. Investigation of deep levels in n -type 4H-SiC epilayers irradiated with low-energy electrons. J. Appl. Phys. 2006, 100, 113728. [Google Scholar] [CrossRef]
- Kozlovskii, V.V.; Bogdanova, E.V.; Emtsev, V.V.; Emtsev, K.V.; Lebedev, A.A.; Lomasov, V.N. Direct experimental comparisson of the effects of Electron Irradiation on the Charge Carrier Removal rate in n-type Silicon and Silicon carbide. Mater. Sci. Forum 2004, 483–485, 385–388. [Google Scholar]
- Kozlovski, V.; Lebedev, A.; Lomasov, V.; Bogdanova, E.; Seredova, N. Conductivity compensation in n-4H-SiC (CVD) under irradiation with 0.9-MeV electrons. Semiconductors 2014, 48, 1006–1009. [Google Scholar] [CrossRef]
- Strel’chuk, A.M.; Kozlovskii, V.V.; Lebedev, A.A.; Smirnova, N.Y. Influence of Irradiation on Exess Currents in SiC pn structures. Mater. Sci. Forum 2004, 483–485, 1001–1004. [Google Scholar]
- Omotoso, E.; Meyer, W.E.; Auret, F.D.; Paradzah, A.T.; Diale, M.; Coelho, S.M.M.; Janse van Rensburg, P.J. The influence of high energy electron irradiation on the Schottky barrier height and the Richardson constant of Ni/4H-SiC Schottky diodes. Mater. Sci. Semicond. Process. 2015, 39, 112–118. [Google Scholar] [CrossRef] [Green Version]
- Kozlovski, V.V.; Lebedev, A.; Levinshtein, M.E.; Rumyantsev, S.L.; Palmour, J.W. Impact of high energy electron irradiation on high voltage Ni/4H-SiC Schottky diodes. Appl. Phys. Lett. 2017, 110, 083503. [Google Scholar] [CrossRef]
- Mikelsen, M.; Grossner, U.; Bleka, J.H.; Monakhov, E.V.; Swensson, B.G.; Yakimova, R.; Henry, A.; Jansen, E.; Lebedev, A.A. Carrier Removal rate in electron Irradiated 4H and 6H SiC. Mater. Sci. Forum 2009, 600–603, 425–428. [Google Scholar]
- Lebedev, A.; Veinger, A.; Davydov, D.; Kozlovski, V.; Savkina, N.; Strel’chuk, A.M. Doping of n-type 6H–SiC and 4H–SiC with defects created with a proton beam. J. Appl. Phys. 2000, 88, 6265–6271. [Google Scholar] [CrossRef]
- Lebedev, A.A.; Ber, B.Y.; Seredova, N.V.; Kazantsev, D.Y.; Kozlovski, V.V. Radiation-stimulated photoluminescence in electron irradiated 4H-SiC. J. Phys. D Appl. Phys. 2015, 48, 485106. [Google Scholar] [CrossRef]
- Henry, L.; Barthe, M.-F.; Corbel, C.; Desgardin, P.; Blondiaux, G. Silicon vacancy-type defects in as-received and 12-MeV proton-irradiated 6H-SiC studied by positron annihilation spectroscopy. Phys. Rev. B 2003, 67, 115210. [Google Scholar] [CrossRef]
- Castaldini, A.; Cavallini, A.; Rigutti, L. Assessment of the intrinsic nature of deep level Z1/Z2 by compensation effects in proton-irradiated 4H-SiC. Semicond. Sci. Technol. 2006, 21, 724–728. [Google Scholar] [CrossRef]
- Emtsev, V.; Ivanov, A.; Kozlovski, V.; Lebedev, A.; Oganesyan, G.; Strokan, N.; Wagner, G. Similarities and distinctions of defect production by fast electron and proton irradiation: Moderately doped silicon and silicon carbide of n-type. Semiconductors 2012, 46, 456–465. [Google Scholar] [CrossRef]
- Vobecky, J.; Hazdra, P.; Záhlava, V.; Mihaila, A.; Berthou, M. ON-state characteristics of proton irradiated 4H–SiCSchottky diode: The calibration of model parameters for device simulation. Solid-State Electron. 2014, 94, 32–38. [Google Scholar] [CrossRef]
- Hazdra, P.; Popelka, S.; Záhlava, V.; Vobecký, J. Radiation Damage in 4H-SiC and Its Effect on Power Device Characteristics. Solid State Phenom 2016, 242, 421–426. [Google Scholar] [CrossRef]
- Hazdra, P.; Popelka, S. Displacement damage and total ionization dose effects on 4H-SiC power devices. IET Power Electron. 2019, 12, 3910–3918. [Google Scholar] [CrossRef]
- Kozlovski, V.; Korolkov, O.; Lebedev, A.; Toompuu, J.; Sleptsuk, N. Comparative Results of Low Temperature Annealing of Lightly Doped n-Layers of Silicon Carbide Irradiated by Protons and Electrons. Mater. Sci. Forum. 2020, 1004, 231–236. [Google Scholar] [CrossRef]
- Kozlovski, V.V.; Lebedev, A.A.; Bogdanova, E.V. Model for conductivity compensation of moderately doped n- and p- 4H-SiC by high-energy electron bombardment. J. Appl. Phys. 2015, 117, 155702. [Google Scholar] [CrossRef]
- Hazdra, P.; Vobecký, J. Radiation Defects Created in n-Type 4H-SiC by electron Irradiation in the Energy Range of 1–10 MeV. Phys. Stat. Solidi A 2019, 216, 1900312. [Google Scholar] [CrossRef]
- Lebedev, A.A.; Davydovskaya, K.S.; Strel’chuk, A.M.; Kozlovski, V.V. Radiation Resistance of 4H-SiC Schottky Diode under Irradiation with 0.9 –MeV Electrons. J. Surf. Investig. X-Ray Synchrotron Neutron Tech. 2017, 11, 924–926. [Google Scholar] [CrossRef]
- Lebedev, A.A.; Davydovskaya, K.S.; Strel’chuk, A.M.; Yakimenko, A.N.; Kozlovski, V.V. A study of the effect of electron and proton irradiation on 4H-SiC device structures. Tech. Phys. Lett. 2017, 43, 1027–1029. [Google Scholar] [CrossRef]
- Kozlovski, V.V.; Emtsev, V.V.; Emtsev, K.V.; Strokan, N.B.; Ivanov, A.M.; Lomasov, V.N.; Oganesyan, G.A.; Lebedev, A.A. Effect of electron irradiation on carrier removal rate in silicon and silicon carbide withy 4H modification. Semiconductors 2008, 42, 242–247. [Google Scholar] [CrossRef]
- Kozlovski, V.V.; Strokan, N.B.; Ivanov, A.M.; Lebedev, A.A.; Emtsev, V.V.; Oganesyan, G.A.; Poloskin, D.S. Charge carrier removal rates in n-type silicon and silicon carbide subjected to electron and proton irradiation. Phys. B 2009, 404, 4752–4754. [Google Scholar] [CrossRef]
- Kalinina, E.V.; Lebedev, A.A.; Bogdanova, E.V.; Lebedev, A.A.; Berenquier, B.; Ottaviani, L.; Violina, G.N.; Skuratov, V.A. Irradiation of 4H-SiC UV detectors with heavy ions. Semiconductors 2015, 4, 540–546. [Google Scholar] [CrossRef]
- Kozlovski, V.V.; Lebedev, A.A.; Levinshtein, M.E.; Rumyantsev, S.L.; Palmour, J.W. Electrical and noise properties of proton irradiated 4H-SiC Schottky diodes. J. Appl. Phys. 2018, 123, 024502. [Google Scholar] [CrossRef]
- Lebedev, A.A.; Kozlovski, V.V.; Levinshtein, M.E.; Ivanov, A.E.; Strel’chuk, A.M.; Zubov, A.V. Fursin Leonid, Impact of 0.9 MeV electron irradiation on main properties of high voltage vertical power 4H-SiC MOSFETs. Radiat. Phys. Chem. 2020, 177, 109200. [Google Scholar] [CrossRef]
- Lebedev, A.A.; Kozlovski, V.V. Comparison of the radiation hardness of silicon and silicon carbide. Semiconductors 2014, 10, 1293–1295. [Google Scholar] [CrossRef]
- Zolnai, Z.; Son, N.T.; Hallin, C.; Janzen, E. Annealing behavior of the carbon vacancy in electron—Irradiated 4H-SiC. J. Appl. Phys. 2004, 96, 2406–2408. [Google Scholar] [CrossRef]
- Luo, J.M.; Zhong, Z.Q.; Gong, M.; Fung, S.; Ling, C.C. Isochronal annealing study of low energy electron irradiated Al-doped p-type 6H silicon carbide with deep levels transient spectroscopy. J. Appl. Phys. 2009, 105, 063711. [Google Scholar] [CrossRef]
- Alferi, G.; Monakhov, E.V.; Svensson, B.G.; Hallen, A. Defect energy levels in hydrogen-implanted and electron-irradiated N-type 4H-SiC silicon carbide. J. Appl. Phys. 2005, 98, 113524. [Google Scholar] [CrossRef]
- Weider, M.; Frank, T.; Pensl, G.; Kawasuso, A.; Itoh, H.; Krause-Rehberg, R. Formation and annihilation of intrinsic-related defects centers in high energy electron irradiated of ion-implanted 4H- and 6H- silicon carbide. Phys. B 2001, 308–310, 633–636. [Google Scholar] [CrossRef]
- Alfieri, G.; Monakhov, E.V.; Svensson, B.G.; Linnarsson, M.K. Annealing behavior between room temperature and 2000 °C of deep level defects in electron-irradiated N-type 4H silicon Carbide. J. Appl. Phys. 2005, 98, 043518. [Google Scholar] [CrossRef]
- Lebedev, A.A.; Bogdanova, E.V.; Grigor’eva, M.V.; Lebedev, S.P.; Kozlovski, V.V. Annealing of radiation-compensated silicon carbide. Tech. Phys. Lett. 2012, 38, 910–912. [Google Scholar] [CrossRef]
- Zarharenkov, L.F.; Kozlovski, V.V.; Pil’kevich, Y.Y. Role of irradiation temperature in the conductivity compensation of n-GaAs by radiation defects. Phys. Stat. Solidi A 1989, 111, K215–K218. [Google Scholar] [CrossRef]
- Kozlovski, V.V.; Kolchenko, T.I.; Lomako, V.M.; Zakharenkov, L.F. The influence of irradiation temperature upon the radiation defect formation and conductivity compensation of n-GaAs. J. Radiat. Eff. Defects Solids 1996, 138, 63–73. [Google Scholar] [CrossRef]
- Lebedev, A.A.; Kozlovski, V.V.; Levinshtein, M.E.; Ivanov, A.E.; Davydovskaya, K.S.; Yuferev, V.S.; Zubov, A.V. Impact of high temperature irradiation on characteristics of power SiC Schottky diode. Radiat. Phys. Chem. 2021, 185, 109514. [Google Scholar] [CrossRef]
- Lebedev, A.A.; Kozlovski, V.V.; Levinshtein, M.E.; Ivanov, A.E.; Davydovskaya, K.S. Effect of high temperature irradiation with 15 MeV protons on characteristics of power SiC Schottky diodes. Solid-State Electron. 2021, 181–182, 108009. [Google Scholar] [CrossRef]
- Kaneko, H.; Kimoto, T. Formation of a semi-insulating layer in n-type 4H-SiC by electron irradiation. Appl. Phys. Lett. 2011, 98, 262106. [Google Scholar] [CrossRef] [Green Version]
- Kozlovski, V.; Abrosimova, V. Radiation Defect Engineering. Selected Topics in Electronics and Systems—v.37; World Scientific: Singapore; New York, NY, USA; London, UK; Hong Kong, China, 2005; ISBN 981-256-521-3. [Google Scholar]
- Claeys, C.; Simoen, E. Radiation Effects in Advanced Semiconductor Materials and Devices; Springer: Berlin, Germany, 2002; p. 401. [Google Scholar]
- Lindström, J.; Murin, L.; Hallberg, T.; Markevich, V.; Svensson, B.; Kleverman, M.; Hermansson, J. Defect engineering in Czochralski silicon by electron irradiation at different temperatures. Nucl. Instrum. Methods Phys. Res. Sect. B Beam Interact. Mater. Atoms 2002, 186, 121–125. [Google Scholar] [CrossRef]











| SiC Device Type | SBD 600 V | SBD 1200 V | JBS 1700 V | Si |
|---|---|---|---|---|
| Nd–Na in base, cm−3 | 6.6 × 1015 | 4.5 × 1015 | 3.5 × 1015 | ~1015 |
| Vd for electrons (0.9 MeV), cm−1 | 0.095 [32] | 0.073 [32] | 0.12 [33] | 0.232 [34] |
| Vd for protons (15 MeV) cm−1 | 63 [33] | 50 [33] | 54 [33] | 110 [35] |
| Refs. | SiC | Kind of Irradiation | Onset Temperature of the Defect Rearrangement, °C | Temperature at Which the RDs are Finally Annealed-Out, °C |
|---|---|---|---|---|
| [40] | 4H-p | e-2.5 MeV | 200–400 | 950–1400 |
| [41] | 6H-n | e-0.3–0.4 MeV | 400–900 | 1600 |
| [42] | 4H-n | e-15 MeV; p-1.2 MeV | 200–800 | >1200 |
| [43] | 6H-n 4H-n | e-2.5 MeV; p-1 MeV, He | - | 1200–1700 |
| [44] | 4H-n | e-15 MeV | 400–800 | 1200–2000 |
| [45] | 6H,4H,15R-p | p-8 MeV | - | >1200 |
Publisher’s Note: MDPI stays neutral with regard to jurisdictional claims in published maps and institutional affiliations. |
© 2021 by the authors. Licensee MDPI, Basel, Switzerland. This article is an open access article distributed under the terms and conditions of the Creative Commons Attribution (CC BY) license (https://creativecommons.org/licenses/by/4.0/).
Share and Cite
Lebedev, A.A.; Kozlovski, V.V.; Davydovskaya, K.S.; Levinshtein, M.E. Radiation Hardness of Silicon Carbide upon High-Temperature Electron and Proton Irradiation. Materials 2021, 14, 4976. https://doi.org/10.3390/ma14174976
Lebedev AA, Kozlovski VV, Davydovskaya KS, Levinshtein ME. Radiation Hardness of Silicon Carbide upon High-Temperature Electron and Proton Irradiation. Materials. 2021; 14(17):4976. https://doi.org/10.3390/ma14174976
Chicago/Turabian StyleLebedev, Alexander A., Vitali V. Kozlovski, Klavdia S. Davydovskaya, and Mikhail E. Levinshtein. 2021. "Radiation Hardness of Silicon Carbide upon High-Temperature Electron and Proton Irradiation" Materials 14, no. 17: 4976. https://doi.org/10.3390/ma14174976
APA StyleLebedev, A. A., Kozlovski, V. V., Davydovskaya, K. S., & Levinshtein, M. E. (2021). Radiation Hardness of Silicon Carbide upon High-Temperature Electron and Proton Irradiation. Materials, 14(17), 4976. https://doi.org/10.3390/ma14174976

