Next Article in Journal
Numerical Analysis on Erosion and Optimization of a Blast Furnace Main Trough
Previous Article in Journal
Analytical and Numerical Modelling of Creep Deformation of Viscoelastic Thick-Walled Cylinder with Fractional Maxwell Model
 
 
Font Type:
Arial Georgia Verdana
Font Size:
Aa Aa Aa
Line Spacing:
Column Width:
Background:
Article

Comparative Study of the Dynamic Deformation of Pure Molybdenum at High Strain Rates and High Temperatures

1
School of Mechanical Engineering, Nanjing University of Science and Technology, Nanjing 210094, China
2
National R&D Center for Tungsten Technology & Xiamen Tungsten Co., Ltd., Xiamen 361006, China
3
School of Materials Science and Engineering, Xihua University, Chengdu 610039, China
*
Authors to whom correspondence should be addressed.
Materials 2021, 14(17), 4847; https://doi.org/10.3390/ma14174847
Submission received: 24 June 2021 / Revised: 9 August 2021 / Accepted: 23 August 2021 / Published: 26 August 2021
(This article belongs to the Section Metals and Alloys)

Abstract

To study the dynamic plastic properties of high-purity molybdenum materials at high temperature and high strain rate, we designed tests to compare the mechanical behaviour of two high-purity molybdenum materials with different purities and two with different processing deformation conditions under dynamic impact compression in the temperature range of 297–1273 K. We analysed the molybdenum materials’ sensitivities to the strain-hardening effect, strain rate-strengthening effect, and temperature-softening effect as well as the comprehensive response to the combined effect of the strain rate and temperature, the adiabatic impact process, and the microstructure at high temperature and high strain rate. Furthermore, based on a modified Johnson–Cook constitutive model, we quantitatively analysed the flow stresses in these materials. The calculation results strongly agree with the test results. Our findings indicate that the high-purity molybdenum materials show consistent sensitivity to the combined effect of strain rate and temperature regarding the dynamic plastic properties. The materials with higher purity are less sensitive to the combined effect of the strain rate and temperature, and those with less processing deformation experience more pronounced strain-hardening effects. Under high strain rate at room temperature, these materials are highly susceptible to impact embrittlement and decreases in dynamic plastic properties due to intergranular fracture in the internal microstructure. However, increasing the impact environment temperature can significantly improve their plastic properties. The higher the temperature, the better the plastic properties and the higher the impact toughness.

1. Introduction

Shaped charge collapse liners to EFP, JPC, and JET penetrators with ultra-high detonation pressure [1,2,3,4,5,6]. In the weapon industry, the penetrators are applied to pierce armour equipment and destroy solid targets as concrete [7,8,9,10]; the penetrators are also valuable in piercing oil exploration wells for civil application. However, due to the development of new types of armoured vehicles and the enhancement of protective capabilities, the materials and structure of liners must be redesigned to improve the penetration performance of the penetrators.
In recent years, many scholars have carried out extensive research on liner materials [11,12,13]; Li Ding [14] studied the performance of EFP formed by W alloys, Ni, U, and U alloy as high-density liner materials; in contrast, Ni materials liners have the best performance of EFP. Jacek Borkowski [15], Nengquan Duan [16] studied the penetration performance of penetrators formed by sintered copper liners and proved that liners made by powder metallurgy technology were a fully featured substitute for conventional spherical liners. Guo Wenqi [17] and Elshenawy T [18] studied the penetration ability of a shaped charge jet formed by a W-Cu liner, and the relative density of the damage element and target had a significant effect.
With high density, high acoustic velocity, and excellent ductility plasticity, molybdenum is comparable to copper on penetrators’ formation performance in the studies of Al, Ni, Cu, Mo, Ta, U, and W as liner materials [19]. However, molybdenum shows complex phenomena such as high ductile–brittle transition temperature, low-temperature toughness, and high flow stress at high temperature in application [20,21]. Although it has been used in the shaped charge liner [2,5,8,22,23,24,25,26,27,28], the research on the dynamic plastic properties of molybdenum is still not completed [29,30,31].
A large number of studies have been conducted on the plastic behaviour of molybdenum [32,33], and several constitutive models [33,34,35,36,37] and state equations [38,39,40] have been developed. Many JET-forming tests of processed molybdenum liner have found that molybdenum JETs exhibit apparent brittle behaviour [2,22,28]. It is inappropriate to consider the mechanical response of molybdenum materials in shaped charges to be elastoplastic [26] while ignoring the impacts of the strength [24] and malleability [22,28] on the molybdenum JET. Researching the dynamic plastic properties of different microstructures of molybdenum materials under a wide range of temperatures and impact strain rates [22,29,41,42,43] is significant for understanding and improving the performance of molybdenum materials under impact loading and in shaped charges.
In this paper, three kinds of molybdenum with different purity and processing technology were designed. Firstly, dynamic compression tests were carried out at high strain rates under 297–1273 K, and the comprehensive response of microstructures of molybdenum materials under high-strain rate adiabatic impact was studied. Secondly, the sensitivities of molybdenum materials to the strain-hardening effect, temperature-softening effect, strain rate-strengthening effect, and strain rate-temperature combination effect were compared. Thirdly, the MJC dynamic performance evaluation model was established to evaluate molybdenum materials’ dynamic adiabatic impact under high temperature and high strain rates. Finally, conclusions are drawn to summarise our findings.

2. Materials and Experimental Procedures

2.1. Test Material

We study three types of pure molybdenum materials, two of which are high-purity powder metallurgical molybdenum materials, and the other is common pure molybdenum material for commercial use. The pure molybdenum materials were manufactured via power metallurgy (P/M) by isostatically-pressed Mo power and subsequently sintering at high temperature. The purity of high-purity molybdenum reaches 99.99%. By design, Mo-L has little deformation from powdered processing to finished product processing; Mo-H has a large amount of deformation from powder to finished product. The common commercial molybdenum material Mo-C has a purity of 99.95%. The compositions of the three molybdenum materials are listed in Table 1. For comparison purposes, mechanical test samples with dimensions of Φ 8 × 12   mm ( Φ   is   diameter ) were prepared using the Mo-L, Mo-H, and Mo-C (Figure 1a). Mechanical test samples with dimensions of Φ 4 × 3   mm were also prepared for SHPB experiments (Figure 1b).

2.2. Experimental Method

A quasi-static compression testing machine was used to obtain the true stress–strain relationship of the three pure molybdenum materials at a low strain rate. The high-temperature synchronically assembled Hopkinson dynamic compression device [44,45,46,47] was used to collect dynamic mechanical data of the three pure molybdenum materials at high temperature and high strain rate, with temperatures ranging from 297 to 1273 K. In order to ensure the accuracy of the test data, more than three repeated tests were carried out under the same deformation condition, and the stress–strain relationships of Mo-L, Mo-H, and Mo-C under different conditions were investigated.
Figure 2 shows a schematic of a conventional SHPB system. A short specimen is sandwiched between the incident bar and the transmission bar. The striker impacts the incident bar so that a stress pulse travels along the incident bar. When the stress pulse reaches the bar and specimen interface, part of it ( ϵ R ) is reflected, and part of it ( ϵ T ) is transmitted to the transmission bar. According to the basic assumption of the Hopkinson dynamic compression test, the two-wave approach [48] can be used to obtain the expressions of stress, strain, and strain rate, as in Formulas (1)–(3), where A 0 is the cross-sectional area of the specimen, l 0 is the original length of the specimen, ϵ T is the strain of the transmitted wave propagating in the rod, ϵ R is the strain of the reflected wave propagating in the rod, A s and E 0 are the cross-sectional area and elastic modulus of the rod, C 0 is the sound velocity of the rod material, and t is the pulse width of the reflected wave.
σ = A s E 0 A 0 ϵ T
ϵ = 2 C 0 l 0 0 t ϵ R d τ
ϵ ˙ = 2 C 0 l 0 ϵ R

3. Experimental Results and Discussion

Metallographic Examination

The dynamic deformation tests were carried out under temperatures of 297 K, 473 K, 673 K, 873 K, 1073 K, and 1273 K with different impact velocities. The test of one temperature and one impact velocity was repeated more than three times. However, for the comparison of metallographic tests, the microstructures of the Mo-L, Mo-H, and Mo-C along the impact direction at temperatures of 297 K and 1273 K were examined.
The microstructure of Mo-L under a strain rate of 4000 / s at 297 K is shown in Figure 3a. The grains are deformed, and some have even been crushed. There are micro-cracks at the junctures of grain boundaries. The black spots inside the grains are voids that formed during the process of rapid deformation. The microstructure under a strain rate of 6752 / s at 1273 K is shown in Figure 3b. The grains are compressed and elongated in the direction perpendicular to the impact direction. A large number of fibrous grains appear pointing in a certain direction, but no clear defects are found in the impacted structure.
The structure of Mo-H under a strain rate of 11 , 000 / s at 297 K is shown in Figure 4a. There are many cracks along the grain boundaries distributed throughout the field of view. The grains are distorted irregularly, with noticeable small recrystallised grains inside the grains and on their edges. The structure under a strain rate of 6289/s at 1273 K is shown in Figure 4b. There are cracks passing through the grains that are obviously enlarged. The grain outlines are unclear. This finding indicates that under the impact of high temperature, recrystallisation occurs in the microstructure of the molybdenum material.
The structure of Mo-C under a strain rate of 10,180/s at 297 K is shown in Figure 5a. The grains, distributed in micro-layers, show an obvious sheet texture. There are clear fractures on the boundaries of the grains in the micro-layers. The structure under a strain rate of 7905/s at 1273 K is shown in Figure 5b. Obviously, the grains are refined and become fibrous. Although the grains are severely compressed and elongated, they are evenly distributed, with no defects such as micro-cracks or voids.

4. Mechanical Property Evaluation

4.1. Stress–Strain Relationship

The true stress–strain test data of Mo-L, Mo-H, and Mo-C at different temperatures and strain rates are shown in Figure 6. In particular, Figure 6a,d,g show the true stress–strain curves under quasi-static compression; Figure 6b,e,h provide the true stress–strain curves at room temperature and high strain rate; Figure 6c,f,i present the mechanical response under the dynamic impact every 200 K in the temperature range of 473 to 1273 K. According to the flow stresses of Mo-L, Mo-H, and Mo-C in this temperature range, Mo-L shows evident strain hardening at different temperatures; Mo-C has the least strain hardening at different temperatures; and Mo-H shows strain hardening at temperatures of 673 K and 1073 K but has ideal elastoplasticity at other temperatures.

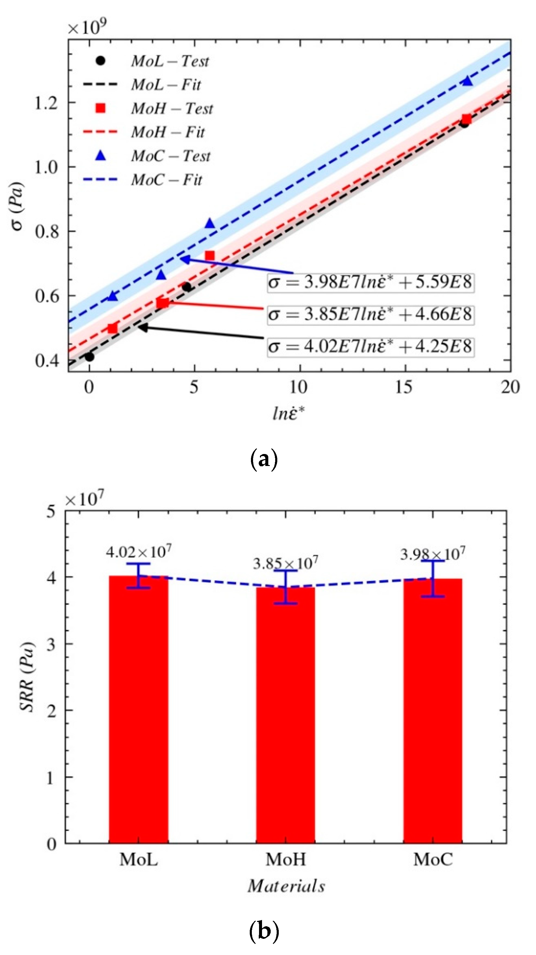
4.2. Sensitivity to the Strain Rate

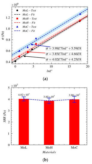
Mo-L, Mo-H, and Mo-C have different responses at different temperatures and strain rates. According to the responses of the three molybdenum materials’ flow stresses to strain, temperature, and strain rate, we study the sensitivity of the three molybdenum materials to strain rate at room temperature (297 K). The yield strengths of the three molybdenum materials at different strain rates are shown in Table 2.
When ϵ 0 ˙ = 0.0001   s 1 , we have the dimensionless strain rate ϵ * ˙ = ϵ ˙ / ϵ 0 ˙ . The relationships between the yield strength σ s t and the dimensionless strain rate l n ϵ * ˙ of Mo-L, Mo-H, and Mo-C at different temperatures and loading rates are shown in Figure 7. In particular, both A d and C d are determined.
σ st = C d l n ϵ * ˙ + A d
The strain rate-strengthening effect sensitivity coefficient (strain rate ratio, SRR) in Figure 7b is obtained by determining the slope of the relationship between the true yield strength with the strain rate. The SRR can be used to evaluate the strain rate-strengthening effect of the material with load. The larger the SRR is, the more obvious the strain rate-strengthening effect during the process of dynamic deformation. As shown in Figure 7b, the sensitivities of the three molybdenum materials to strain rate are ordered as follows: Mo-L > Mo-C > Mo-H.

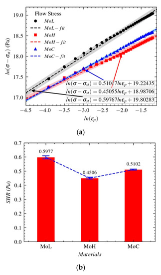
4.3. Sensitivity to Strain

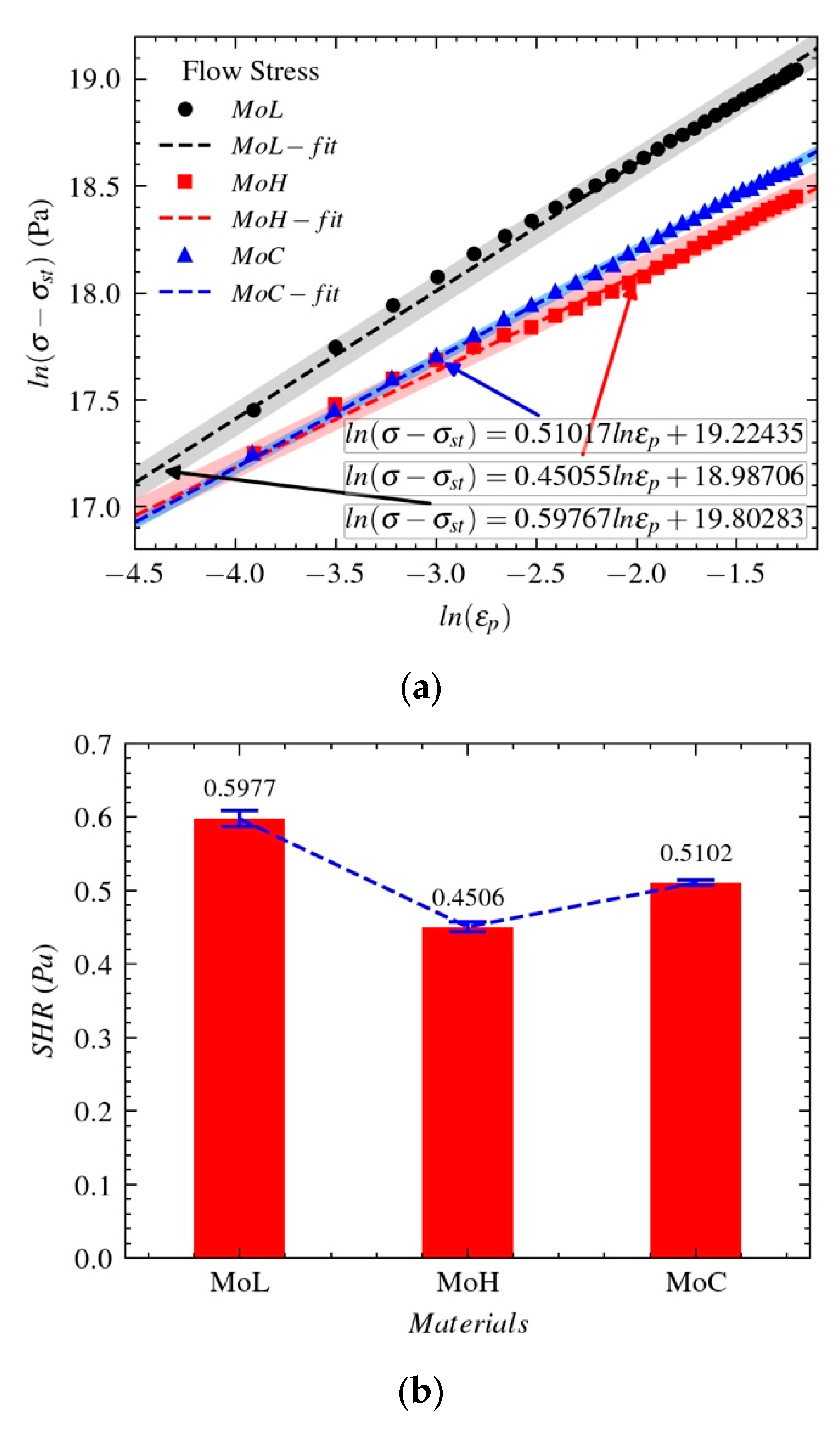
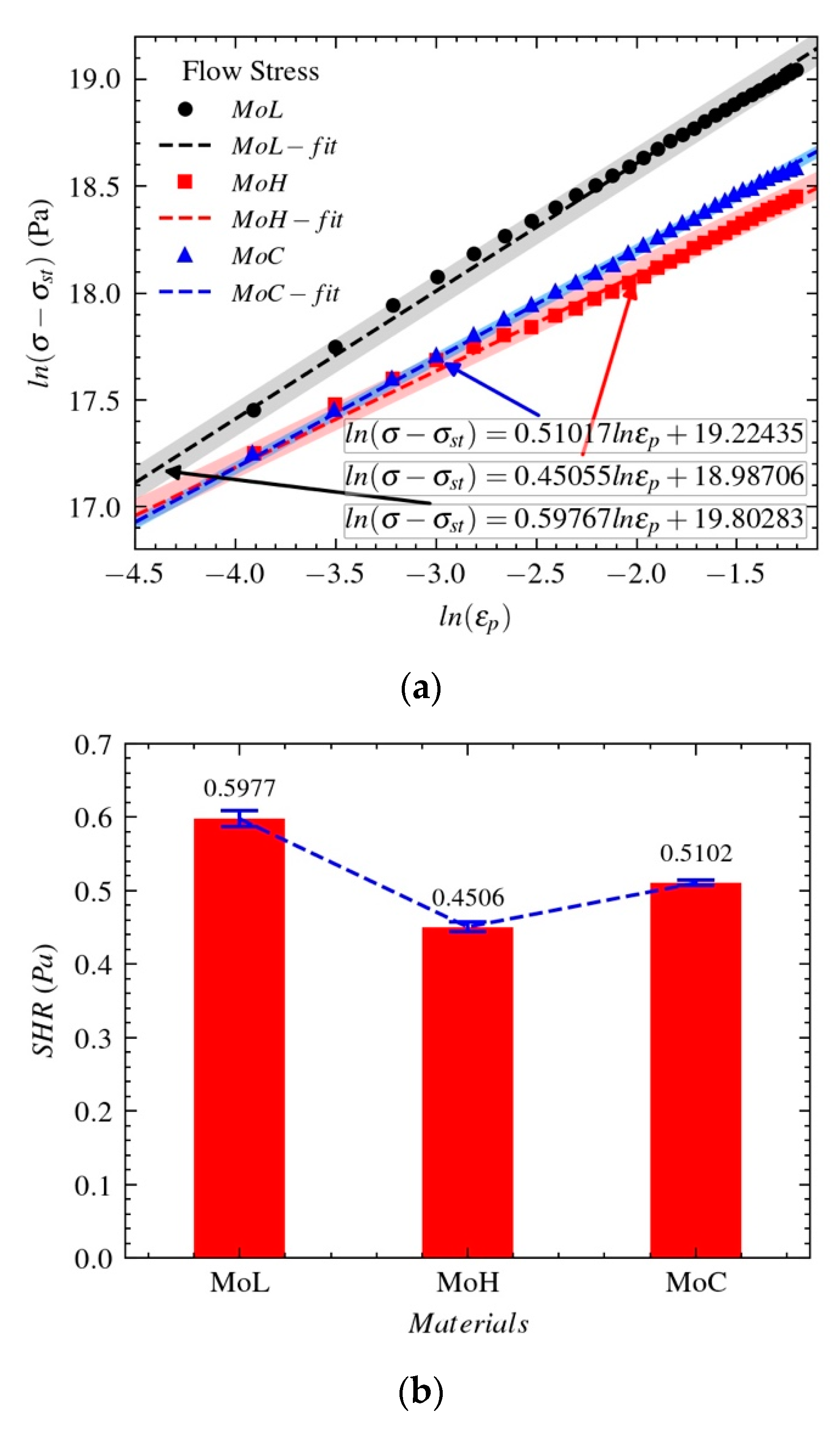
Based on the result of the quasi-static compression test at room temperature (297 K), we study how the flow stress σ of Mo-L, Mo-H, and Mo-C varies with the plastic strain ϵ p . The equivalent flow stress ln ( σ σ s t ) is shown in Formula (5), where σ s t is the yield strength and both B d and n are to be determined.
l n ( σ σ s t ) = l n B d + n l n ϵ p  
The strain-hardening characteristics as the flow stresses of Mo-L, Mo-H, and Mo-C vary with the plastic strain are shown in Figure 8. Figure 9a shows how the equivalent flow stress ln ( σ σ s t ) varies with the plastic strain l n ϵ p .
The strain-hardening ratio (SHR) in Figure 9b is obtained by determining the slope of the relationship between the true stress and plastic strain. The SHR can be used to evaluate the strain-hardening effect of the material with load. The larger the SHR, the more obvious the strain-hardening effect during the process of plastic deformation. According to Figure 8, Mo-L, Mo-H, and Mo-C experience little strain hardening, and their sensitivities to the strain-hardening effect are different. As shown in Figure 9b, the sensitivities of the three molybdenum materials to the strain-hardening effect are ordered as follows: Mo-L > Mo-C > Mo-H.

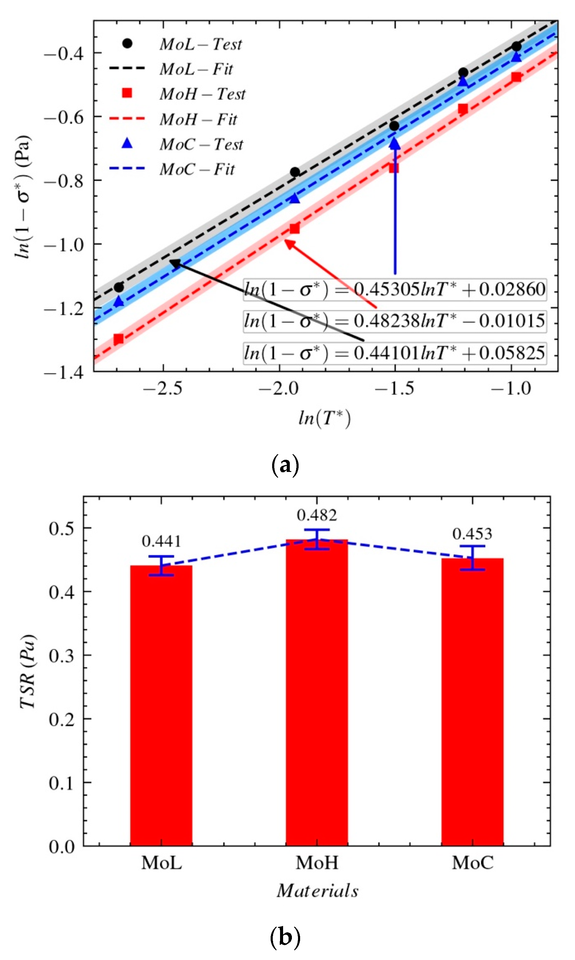
4.4. Sensitivity to Temperature

To study how the dynamic yield strength varies with temperature, we use the dimensionless dynamic yield strength σ * and dimensionless temperature T * , as shown in Formulas (6) and (7), where T r is the room temperature, T m is the melting point of the molybdenum material (2895 K), and T is the test temperature; ϵ * ˙ , C d , and A d are defined the same as in Formula (4).
σ * = σ C d ln ϵ * ˙ + A d
T * = T T r T m T r
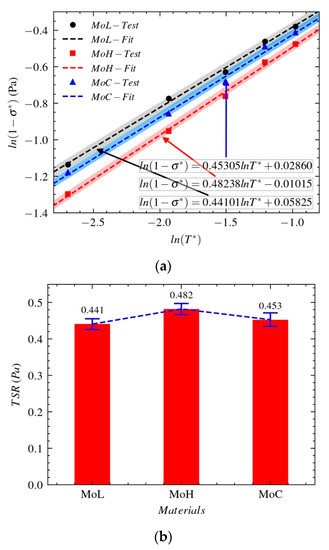
We study the relationship between the dynamic yield stress σ * and the dimensionless temperature T * using Formula (8).
ln ( 1 σ * ) = m ln T * + ln E d
The dynamic yield strength at different temperatures is regarded as the object of study. For the test results, see Table 3.
With the model built using Formula (8), we study the relationships between the yield strength σ * and the dimensionless temperature T * of Mo-L, Mo-H, and Mo-C at different temperatures and strain rates. For the test results and model fitting result, see Figure 10a.
The temperature-softening ratio (TSR) in Figure 10b is obtained by determining the slope of the relationship between the true yield strength and temperature. The TSR can be used to evaluate the temperature-softening effect of the material with load. The larger the TSR, the more obvious the temperature-softening effect during the process of dynamic deformation. As shown in Figure 10b, the sensitivities of the three molybdenum materials to the temperature-softening effect are ordered as follows: Mo-H > Mo-C > Mo-L.

4.5. Modified Johnson–Cook Constitutive Model

Under different loading conditions, the strain-hardening effect, strain rate-strengthening effect, and temperature-softening effect of molybdenum materials during the process of deformation can be quantified through constitutive models. There are many constitutive models that describe the response of materials under different loading conditions. The Johnson–Cook (JC) [49,50] constitutive model is widely applied to assess the dynamic response of materials. This model can present the mechanical characteristics of a materials’ dynamic response instead of the microscopic properties. It uses multiplication to build a constitutive model. However, the JC constitutive model was first constructed for face-centred cubic (FCC) metals, which show evident hardening effects during the process of deformation. Therefore, the JC stress–strain curve described by the constitutive model shows that the stress changes divergently with strain [49,50]. Unlike FCC metals such as Cu, the strain-hardening effect of body-centred cubic (BCC) metals such as molybdenum is not significantly affected by temperature or strain rate [35,37]. This paper builds a modified JC (MJC) constitutive model, as shown in Formula (9), where A , B , C , D , E , n , and m are to be determined, and the meanings of the other parameters are the same as above.
σ = ( A + B ϵ p n ) ( C + D ln ϵ * ˙ ) [ 1 E ( T T r T m T r ) m ]
When ϵ p = 0 and T = T r , Formula (9) can be transformed as follows:
σ = A C + A D l n ϵ * ˙ .
When ϵ * = 1 and T = T r , Formula (9) can be transformed as follows:
ln ( σ A C ) = n ln ϵ p + ln ( B C ) .
When ϵ p = 0 and ϵ * = 1 , Formula (9) can be transformed as follows:
l n ( 1 σ A C ) = m ln ( T T r T m T r ) + ln E .
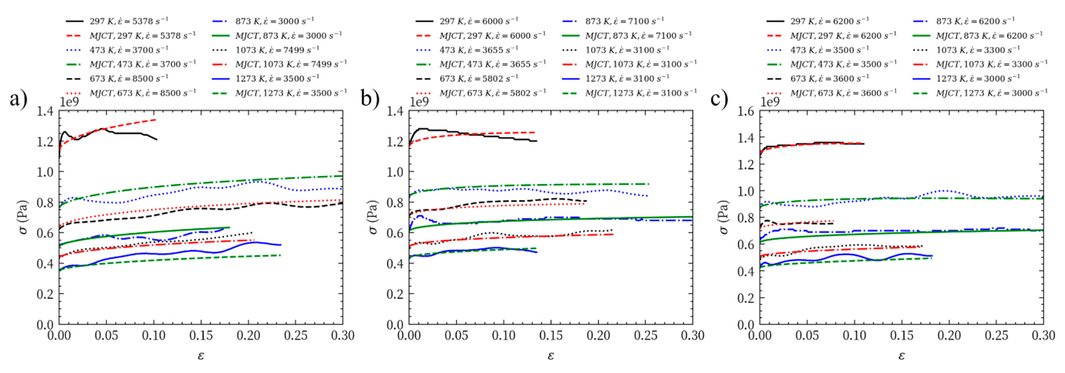
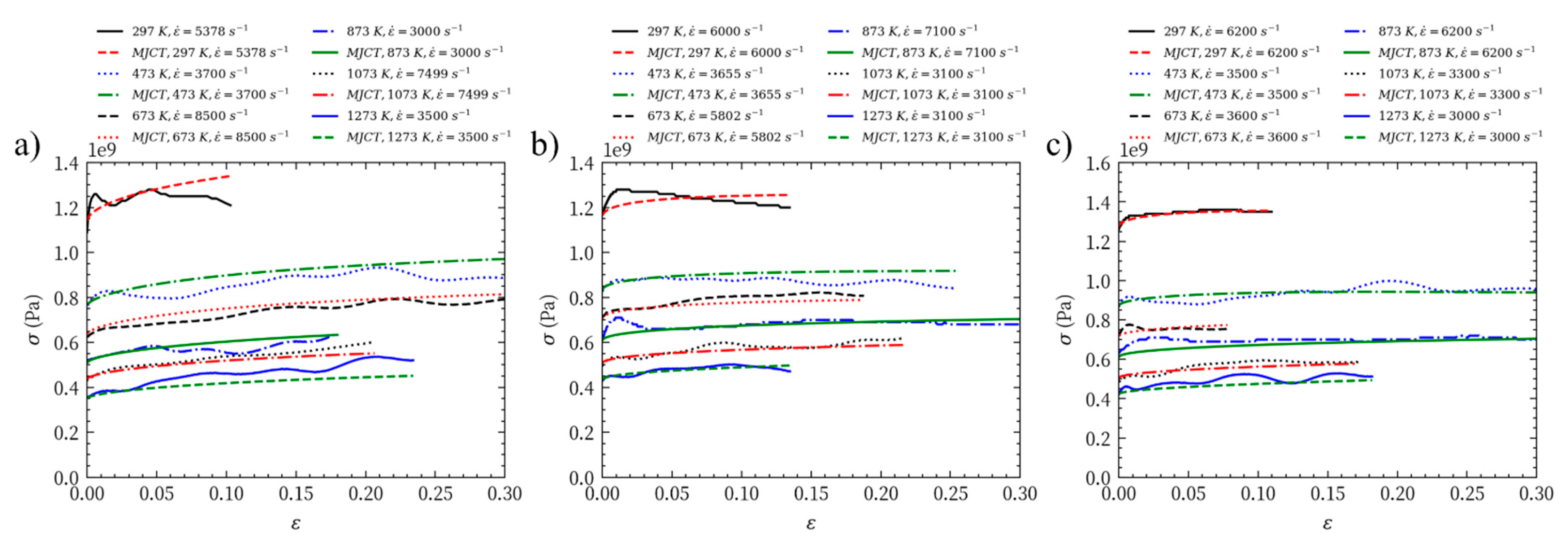
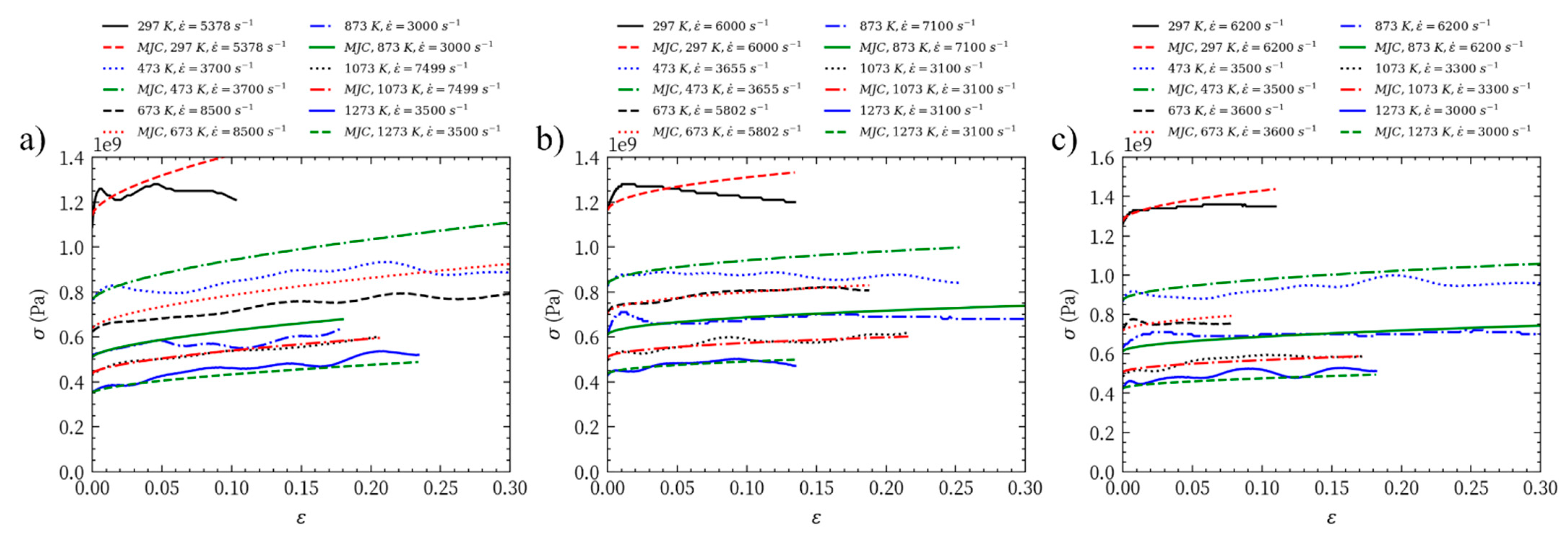
By comparing Formulas (4), (5), (8), and (10)–(12), we know that A D = C d , A C = A d , B C = B d , and E = E d ; i.e., we have five unknowns and four equations. With any other additional equation, we can determine parameters in the constitutive model of Formula (9). If C is a constant, based on the fitting results in Figure 7a, Figure 9a and Figure 10a, the MJC constitutive parameters of the three molybdenum materials can be determined, as shown in Table 4. For a comparison between the true stress–strain curve fitted by the MJC constitutive model at different temperatures and strain rates and the test results, see Figure 11.
Figure 11 shows that at temperatures of 873 K and above, the fitting curves of the MJC constitutive model for Mo-L, Mo-H, and Mo-C are almost identical to the test results. At temperatures ranging from 297 to 673 K, the fitted flow stress of MJC is higher than the true flow stress in the test. Particularly at 297 K and 473 K, the true flow stresses of Mo-L and Mo-H are significantly lower than the fitting result of the MJC constitutive model. This means that the mechanical response of molybdenum materials has a more complicated relationship with the temperature and strain rate under dynamic impact.

4.6. Rate-Temperature Equivalence

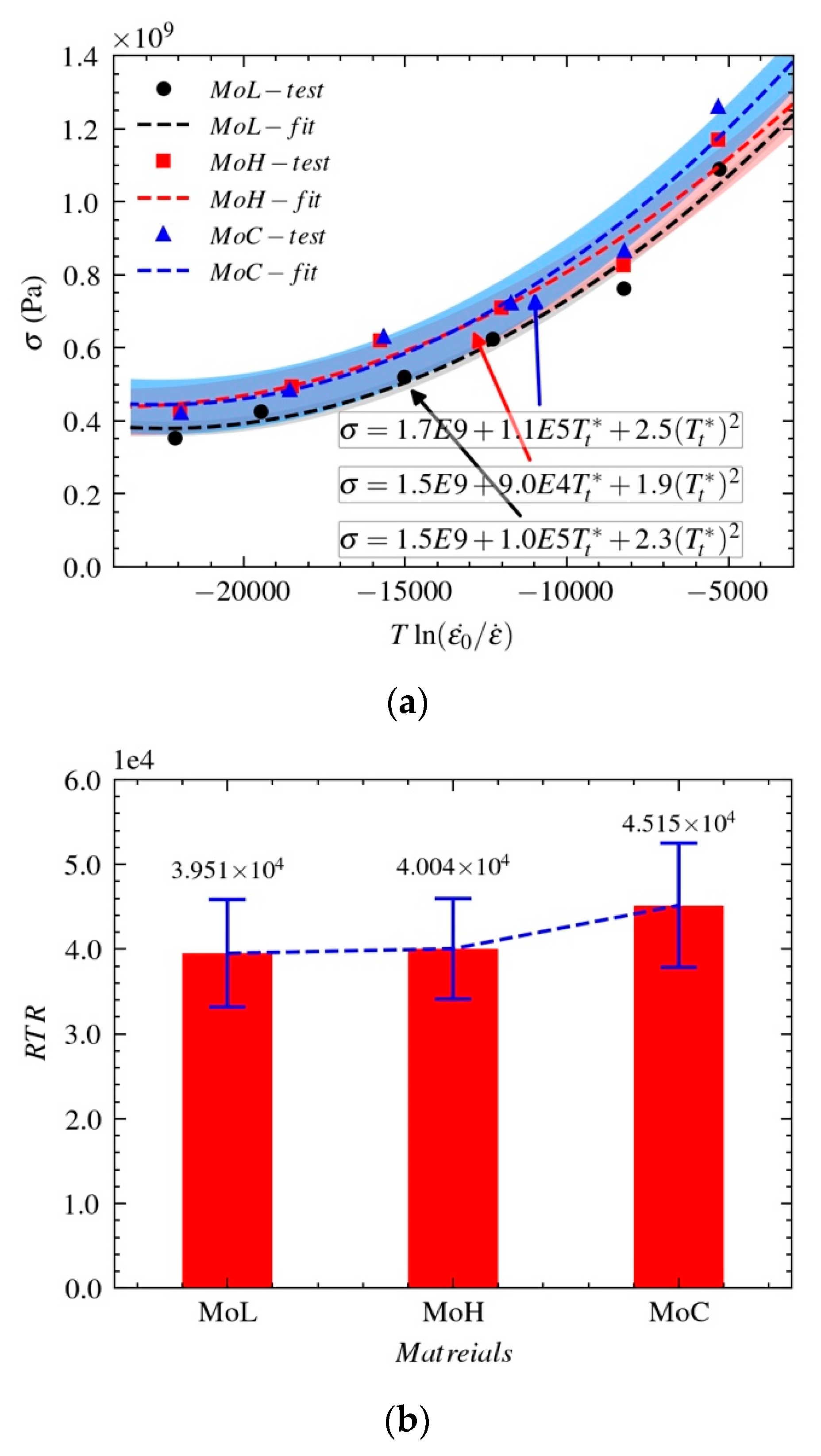
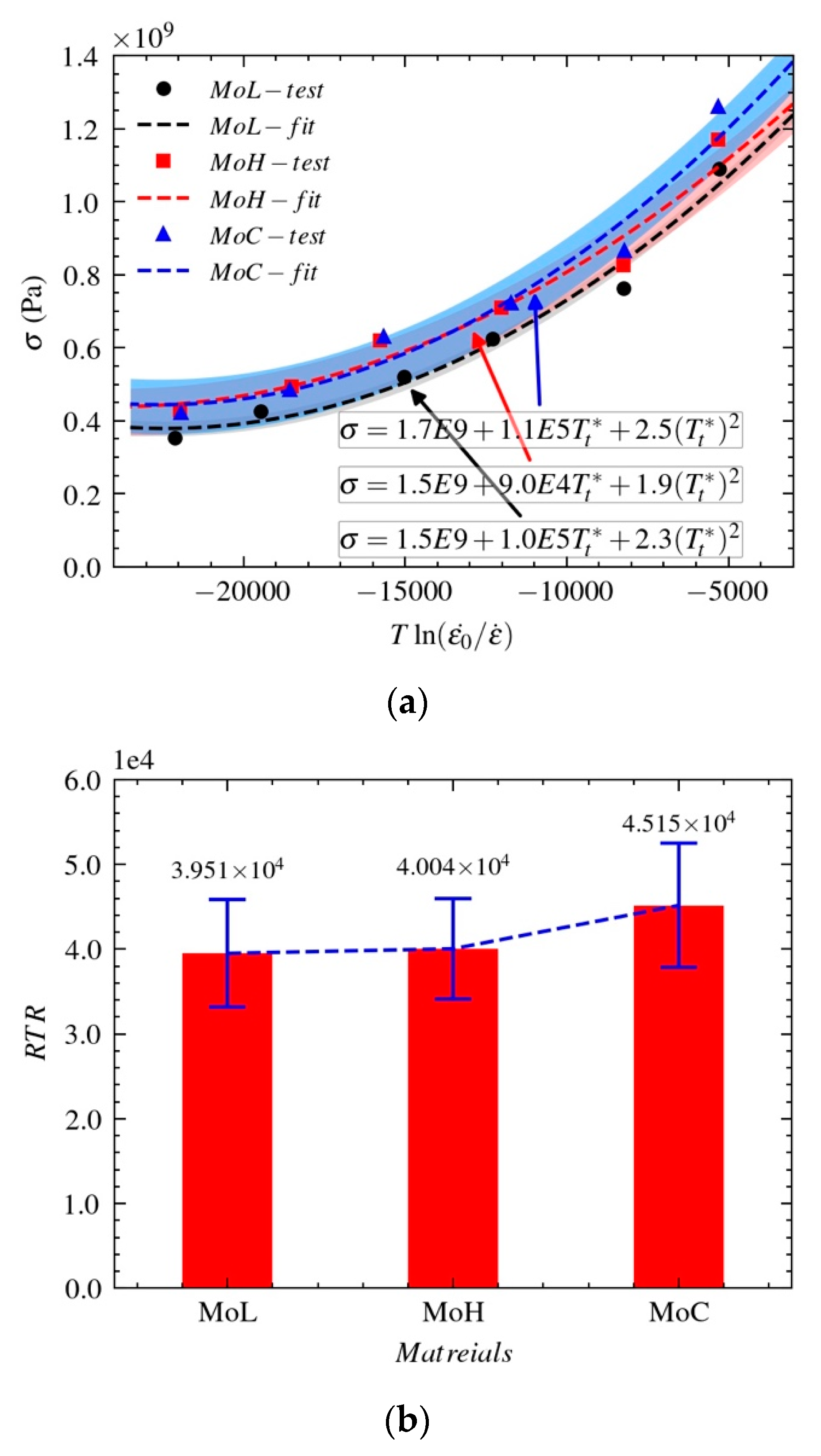
The strain rate effect and temperature effect of metal materials under dynamic impact are closely related to their mechanical properties. Generally, when the strain rate increases or the temperature decreases, the material hardens or embrittles [51,52,53]. In addition, through the quantitative analysis on the strain rate, temperature, and plastic strain of molybdenum materials under impact, as shown in Figure 11, we can see that the combined effect of the strain rate and temperature plays a key role in the mechanical response of molybdenum under impact load. We comparatively study the sensitivities of Mo-L, Mo-H, and Mo-C to the combined effect of strain rate and temperature under impact load and use the combined parameter T t * of the equivalent strain rate ϵ * and temperature T , as shown in Formula (13). For the assessment model of the relationship between flow stress σ and combined parameter T t * , see Formula (14).
T t * = T l n ϵ 0 ˙ ϵ ˙
σ = A t + B t T t * + C t ( T t * ) 2  
Formula (14) fits the relationships between the flow stresses of the three molybdenum materials and the combined parameter T t * . A comparison between the test data and the fitted curves when ϵ p = 0 is shown in Figure 12a. For the relationship between the flow stress and the combined parameter T t * when ϵ p = 0 is fitted with a linear relationship and the assessment of sensitivity to the combined effect of strain rate and temperature (RTR) through the slope of linear fitting, see Figure 12b.
As shown in Figure 12a, the curve fitted by the assessment model for the relationship between the flow stress σ and combined parameter T t * is very consistent with the test data. This model can assess how the flow stress of molybdenum materials varies with the combined effect of strain rate and temperature under impact. The RTR in Figure 12b shows that Mo-L and Mo-H have almost the same sensitivity to the combined effect of strain rate and temperature, which is lower than that of Mo-C.

4.7. Temperature Modified Flow Stress

Molybdenum materials produce a large amount of deformation work that cannot be released during the process of high-speed deformation. Under impact at a high strain rate, the entire dynamic response becomes an adiabatic process, leading to adiabatic temperature increase. Formula (15) shows how the adiabatic temperature increase varies with stress–strain during the process of dynamic deformation.
T = T 0 + k η ρ C p 0 ϵ p σ d ϵ p
In Formula (15), k is the conversion coefficient of work and heat and is generally 0.95 [54] (<1) and η is the proportionality coefficient of the actual temperature increase and adiabatic temperature increase and ranges from 0 to 1 depending on the temperature and strain rate during the process of deformation [55]. At high strain rate, η = 1 , and C p is the nonlinear specific heat capacity. Formula (16) [56] shows how C p ( J · mol 1 · K 1 ) of molybdenum metal varies with temperature (K) within the range of 500–2890 K.
C p = 25.0575 0.0013 T + 3.491 × 10 6 T 2
By substituting Formula (16) into Formula (15) for mathematical transformation, we can obtain the adiabatic temperature increase equation under dynamic impact, Formula (17), where A 1 = 25.0575 , B 1 = 0.0013 , and C 1 = 3.491 × 10 6 .
T = T 0 + k η 0 ϵ p σ d ϵ p ρ ( A 1 + B 1 T + C 1 T 2 )
After simplifying Formula (17), we can obtain the general form of the cubic temperature increase equation during the adiabatic process under impact. As shown in Formula (18), the real solution is the theoretical temperature of the material at any initial temperature T 0 when the plastic deformation of different flow stress σ reaches the plastic strain ϵ p .
ρ C 1 T 3 + ( ρ B 1 ρ C 1 T 0 ) T 2 + ( ρ A 1 ρ B 1 T 0 ) T ρ A 1 T 0 k η 0 ϵ p σ d ϵ p = 0
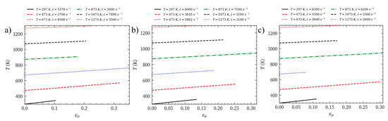
According to Formula (18), we know the relationship between the internal temperature of Mo-L, Mo-H, and Mo-C and the plastic strain under different temperatures and strain rates. The calculation results are shown in Figure 13. The results shows that the lower the initial temperature, the greater the adiabatic temperature increase during the process of plastic deformation, and that the greater the plastic deformation is, the higher the adiabatic temperature increase of the material; however, during the process of dynamic impact, the initial ambient temperature has a greater impact on the temperature inside the material.
The flow stress σ and combined parameter T t * are used to study the effect of the adiabatic temperature increases of the three molybdenum materials on the flow stress at different strain rates. According to the equation of the combined effect of the strain rate and temperature Formula (14), we know that the stress softening caused by adiabatic temperature increase is due to plastic deformation, as shown in Formula (19). The fitting result of the MJC constitutive model is modified based on the adiabatic softening model of Formula (19). For a comparison between the modified true stress–strain relationships of Mo-L, Mo-H, and Mo-C under dynamic compression and the MJC fitting result, see Figure 14.
Δ σ = B t Δ T t * + C t ( Δ T t * ) 2
The stress softening Δ σ caused by the adiabatic process is introduced to modify the MJC fitting result. By comparing how the flow stresses of Mo-L, Mo-H, and Mo-C vary with plastic strain, we know that at high temperature, the MJC results are consistent with the test data. At room temperature, the fitting curve of MJC is consistent with the test results of Mo-C, while the flow stresses of Mo-L and Mo-H are higher than the test values. The difference between MJC and test results is the lower deformation resistance caused by the response of microstructure when Mo-L and Mo-H resist dynamic impact. Further research into the response of the microstructures of Mo-L and Mo-H under high-speed impact may help us better understand the abnormal difference in the flow stresses of molybdenum materials under dynamic impact at room temperature. In summary, the MJC description of the plastic flow behaviour of molybdenum materials at high temperature and high strain rate is almost the same as the test result, while its description of the flow stress of BCC metals such as molybdenum is better than the JC constitutive model.
According to the comparative study of Mo-L, Mo-H, and Mo-C, there are no significant differences between highly pure Mo-L and Mo-H and common commercial Mo-C in terms of the sensitivity to the temperature-softening effect or strain rate-strengthening effect during the process of impact. Different processing deformations of high-purity molybdenum have different effects on the strain rate or temperature effect of the material during the process of impact. A large amount of processing deformation increases the sensitivity of materials to temperature, while a small amount of processing deformation increases the sensitivity of materials to strain rate. However, the analysis of the combined effect of strain rate and temperature indicates that high-purity molybdenum materials respond almost the same. The sensitivities of Mo-L and Mo-H to the combined effect of strain rate and temperature are significantly lower than that of Mo-C and irrelevant to the processing deformation of high-purity molybdenum. Therefore, improving the purity of molybdenum materials can reduce their sensitivity to the combined effect of strain rate and temperature under high-speed impact. Different processing deformations have different effects on the temperature-softening effect or strain rate-strengthening effect during the process of impact.
The strain-strengthening effect during the process of deformation is not closely related to the purity of the material but is strongly related to the amount of deformation during the processing of the material. The smaller amount of processing deformation, the more obvious the strain strengthening effect during the deformation of the material.

4.8. Impact Embrittlement and Toughening

During the process of the dynamic impact of molybdenum materials, adiabatic softening is one of the factors causing plastic flow stress unloading. In addition, defects such as cracks inside the material may have an impact on plastic flow stress unloading. Figure 14 shows that while the fitting results of the MJC constitutive model are consistent with the test results at high temperature and high strain rate, the relationship between the flow stress and the plastic strain of molybdenum materials under impact load at room temperature fitted by the MJC constitutive model is different from the test data. By observing microstructures of molybdenum materials after impact at room temperature and high temperature, as shown in Figure 3, Figure 4 and Figure 5, we find that molybdenum materials are prone to producing a large number of structural defects such as cracks at room temperature and high strain rate, although this phenomenon is not evident at high temperature. Researching the difference in the micro-failure mechanisms of molybdenum materials under the impact load of high temperature and room temperature is significant for understanding the mechanical response of molybdenum materials at room temperature.
By taking Mo-H as an example, we study the mechanism of producing cracks in molybdenum materials under impact. The metallographic microstructure at temperature 297 K and strain rate 11 , 000   s 1 is shown in Figure 4a. There are a large number of irregular cracks generated inside Mo-H. The information about the fracture surface of Mo-H obtained through scanning electron microscopy (SEM) is shown in Figure 15a. At high strain rate and room temperature, most of the cracks generated during the dynamic response of molybdenum materials are grain-boundary fractures. The metallographic microstructure under impact load at 1273 K and under a strain rate of 6289   s 1 is shown in Figure 4b. There are fewer cracks inside the materials. The information about the crack section of Mo-H obtained through SEM is shown in Figure 15b. The cracks are mainly generated as a result of cleavage fracture inside the crystal. According to analysis of the fracture mechanism at room temperature and high temperature, molybdenum materials are easy to embrittle at room temperature and high strain rate, causing a large number of internal microstructures inside the material to be damaged and affecting the plastic performance of the material. However, once the temperature of the impact environment increases, the internal damage of the material changes from intergranular fracture to cleavage fracture, the number of microdefects remarkably decreases, and the molybdenum materials show significant improvement in plastic properties. The higher the temperature, the better the plastic properties and impact toughness of molybdenum materials are.
By comparing the microstructures of Mo-L, Mo-H, and Mo-C before and after the impact, we know that at room temperature (297 K), Mo-H, with more processing deformation, shows many microdefects, while Mo-L, with less processing deformation, has fewer microdefects. Compared to the commercial Mo-C, the high-purity molybdenum with less processing deformation has better plastic properties during the process of impact. At high temperature (1273 K), the plastic properties of the three molybdenum materials all improve. In particular, those of Mo-L are better than those of Mo-H and Mo-C.

5. Conclusions

We studied the plastic behaviour and failure behaviour of three molybdenum materials at different temperatures and high strain rates. The conclusions are given below:
The strain rate sensitivity (SRR), strain sensitivity (SHR), and temperature sensitivity (TSR) of molybdenum materials were constructed to quantitatively analyse the response behaviour of molybdenum materials under high-temperature and high-strain-rate impacts. The sensitivities of the high-purity materials to the combined effect of strain rate and temperature are consistent, and the materials with higher purity are less sensitive to the combined effect of strain rate and temperature. The strain-strengthening effect is mainly related to the amount of processing deformation; the smaller the amount of processing deformation, the more pronounced the strain-strengthening effect during the deformation process.
Pure molybdenum materials are prone to embrittlement at room temperature and high strain rate, which affects the plastic performance of the material. However, when the temperature of the impact environment increases, the internal damage of the material changes from intergranular fracture to cleavage fracture, the number of microdefects remarkably decreases, and the dynamic plastic properties of the molybdenum materials improve.
A Modified Johnson–Cook constitutive model is established. Based on the model for the combined effect of strain rate and temperature and the modified model for temperature and flow stress during the adiabatic process under impact, we assess the complicated mechanical response of molybdenum materials with different purities and processing deformation conditions under dynamic impact. The calculation results are consistent with the test results. The research results are helpful for better understanding the complicated dynamic plastic behaviour of molybdenum materials and making full use of the plastic properties of molybdenum materials as needed.

Author Contributions

Conceptualization, S.C., W.-B.L., X.-M.W. and J.-P.S.; methodology, S.C., W.-J.Y., X.-C.J. and B.-Y.Y.; software, S.C.; validation, S.C., J.-P.S. and X.-C.J.; formal analysis, S.C.; investigation, S.C. and X.-C.J.; resources, W.-J.Y., J.-P.S. and B.-Y.Y.; data curation, S.C. and W.-B.L.; writing—original draft preparation, S.C.; writing—review and editing, S.C.; visualization, S.C.; supervision, W.-B.L.; project administration, W.-B.L.; funding acquisition, W.-B.L. All authors have read and agreed to the published version of the manuscript.

Funding

This research received no external funding.

Institutional Review Board Statement

Not applicable.

Informed Consent Statement

Not applicable.

Data Availability Statement

The data presented in this study are available on request from the corresponding author.

Conflicts of Interest

The authors declare no conflict of interest.

References

  1. Burghardt, J.; Leavy, B.; Guilkey, J.; Xue, Z.; Brannon, R. Application of Uintah-MPM to shaped charge jet penetration of aluminum. IOP Conf. Ser. Mater. Sci. Eng. 2010, 10, 012223. [Google Scholar] [CrossRef]
  2. Cowan, K.; Bourne, B. Analytical code and hydrocode modelling and experimental characterisation of shaped charges containing conical molybdenum liners. In Proceedings of the 19th International Ballistic Symposium, Interlaken, Switzerland, 7–11 May 2001. [Google Scholar]
  3. Sable, P.; Helminiak, N.S.; Gullerud, A.; Harstad, E.; Hollenshead, J.; Hertel, E.S. Characterizing In-Flight Temperature of Shaped Charge Penetrators in CTH. In HVIS, Proceedings of the 14th Hypervelocity Impact Symposium, Canterbury, UK, 24–28 April 2017; Elsevier Ltd.: Amsterdam, The Netherlands, 2017; Volume 204, pp. 375–382. [Google Scholar]
  4. Stewart, B.; Ian, L. Integration of an Over-Fly Top Attack Shaped Charge Jet within a Kinetic Energy Penetrator for Enhanced Multiple-Effects. In Proceedings of the 30th International Symposium on Ballistics, Long Beach, CA, USA, 11–15 September 2017. [Google Scholar]
  5. Voumard, C.; Roduner, H.-P.; Santschi, W.; Wister, H. Performances and behaviour of wcu-pseudo-alloy shaped charges with a simple model for calculating the stand-off curve. In Proceedings of the 19th International Symposium on Ballistics, Interlaken, Switzerland, 7–11 May 2001. [Google Scholar]
  6. Daniels, A.S.; Baker, E.L.; Vuong, T.H.; Chin, C.L.; Fuchs, B.F.; DeFisher, S.E. Selectable initiation shaped charges. In Proceedings of the 20th International Symposium on Ballistics, Orlando, FL, USA, 23–27 September 2002; DEStech Publications Inc.: Lancaster, PA, USA, 2002; pp. 589–596. [Google Scholar]
  7. Yuan, N.; Jianwei, J.; Shuyou, W.; Han, L. Experimental Research on the Influence of ERA on Penetration Efficiency of EFP. Acta Armamentarii 2018, 39, 1576–1581. [Google Scholar]
  8. Hancock, S.; Ouye, N.; Boeka, D. Effects of Jet Particulation and Velocity on the Energy/Volume Ratio in RHA. In Proceedings of the 21th International Symposium on Ballistics, Adelaide, SA, Australia, 19–23 April 2004. [Google Scholar]
  9. Mickovi, D.; Jaramaz, S.; Elek, P.; Miloradović, N.; Jaramaz, D. A Model for Explosive Reactive Armor Interaction with Shaped Charge Jet. Propellants Explos. Pyrotech. 2016, 41, 53–61. [Google Scholar] [CrossRef]
  10. Shuai, C.; Wei-Bing, L.; Xiao-Ming, W.; Wen-jin, Y. Penetration research of dual-mode penetrator formed by shaped charge with wave shaper. Procedia Eng. 2017, 173, 57–64. [Google Scholar] [CrossRef]
  11. Zygmunt, B.; Wilk, Z. Formation of jets by shaped charges with metal powder liners. Propellants Explos. Pyrotech. Int. J. Deal. Sci. Technol. Asp. Energ. Mater. 2008, 33, 482–487. [Google Scholar] [CrossRef]
  12. Wang, F.; Jiang, J.; Men, J.; Bai, Y.; Wang, S.; Li, M. Investigation on shaped charge jet density gradient for metal matrix composites: Experimental design and execution. Int. J. Impact Eng. 2017, 109, 311–320. [Google Scholar] [CrossRef]
  13. Zhanlei, W.; Huiping, W.; Zhonghua, H.; Hongyu, X.; Yifan, L. Dynamic consolidation of W-Cu nano-alloy and its performance as liner materials. Rare Met. Mater. Eng. 2014, 43, 1051–1055. [Google Scholar] [CrossRef]
  14. Ding, L.; Jiang, J.; Men, J.; Wang, S.; Li, M. Research on feasibility of several high density materials for EFP liner and material selection criteria. Propellants Explos. Pyrotech. 2017, 42, 360–369. [Google Scholar] [CrossRef]
  15. Borkowski, J.; Wilk, Z.; Koslik, P.; Szymanczyk, L.; Zygmunt, B. Application of sintered liners for explosively formed projectile charges. Int. J. Impact Eng. 2018, 118, 91–97. [Google Scholar] [CrossRef]
  16. Duan, N.; Gao, Y.; Wang, J.; Du, W.; Wang, F. The properties of the sintered copper powder liner. J. Wuhan Univ. Technol. Mater. Sci. Ed. 2014, 29, 269–272. [Google Scholar] [CrossRef]
  17. Guo, W.; Liu, J.; Xiao, Y.; Li, S.; Zhao, Z.; Cao, J. Comparison of penetration performance and penetration mechanism of w-cu shaped charge liner against three kinds of target: Pure copper, carbon steel and Ti-6Al-4V alloy. Int. J. Refract. Met. Hard Mater. 2016, 60, 147–153. [Google Scholar] [CrossRef]
  18. Elshenawy, T. Density effect of the compacted copper-tungsten shaped charge powder liners on its penetration performance. J. Powder Metall. Min. 2017, 6, 1–6. [Google Scholar]
  19. Held, M. Liners for shaped charges. J. Battlef. Technol. 2001, 4, 1–7. [Google Scholar]
  20. Microstructure and Properties of Hot-Rolled 2.0 wt.% MoSi2/Rare Earth Oxide Doped Molybdenum Alloys—ScienceDirect. Available online: https://www.sciencedirect.com/science/article/pii/S0263436811001892 (accessed on 7 June 2021).
  21. Cockeram, B.V. Measuring the fracture toughness of molybdenum-0.5 pct titanium-0.1 pct zirconium and oxide dispersion-strengthened molybdenum alloys using standard and subsized bend specimens. Metall. Mater. Trans. A 2002, 33, 3685–3707. [Google Scholar] [CrossRef]
  22. Arnold, W.; Hartmann, T.; Rottenkolber, E. Effect of HE Grain Size on Shaped Charge Jets. In Proceedings of the 31st International Symposium on Ballistics, Hyderabad, India, 4–8 November 2019. [Google Scholar]
  23. Daniels, A.S.; Baker, E.L.; Ng, K.W. High Performance Trumpet Lined Shaped Charge Technology; US Army Armament Research Development and Engineering Center: Picatinny, NJ, USA, 2004. [Google Scholar]
  24. Ouye, N.; Boeka, D.; Hancock, S. Material Strength Effects on Shaped Charge Tip Velocities. In Proceedings of the 23th International Symposium on Ballistics, Tarragona, Spain, 16–20 April 2007; pp. 215–222. [Google Scholar]
  25. Hirsch, E.; Mayseless, M. The Maximum Mach Number of Coherent Copper Jet. In Proceedings of the 23th International Symposium on Ballistics, Tarragona, Spain, 16–20 April 2007; pp. 119–126. [Google Scholar]
  26. Xu, W.; Wang, C.; Yuan, J.; Deng, T. Bore-center annular shaped charges with different liner materials penetrating into steel targets. Def. Technol. 2019, 15, 796–801. [Google Scholar] [CrossRef]
  27. He, H.; Wang, L.; Shao, J.; Gao, H.; Li, F. Numerical Simulation and Experimental Study for Formation of Rod-type Jet by Molybdenum Shaped Charge Liner. Explos. Shock. Waves 2013, 33, 28–33. [Google Scholar]
  28. Baker, E.L.; Daniels, A.; Pham, J. Jet Break-Up Characterization of Molybdenum Shaped Charge Liners; US Army, Armament Research, Development and Engineering Center: Picatinny, NJ, USA, 2003. [Google Scholar]
  29. Song, P.; Li, W.-B.; Zheng, Y.; Song, J.P.; Jiang, X.C.; Yan, B.Y. Study on Plastic Deformation Behavior of Mo-10Ta under Ultra-High Strain Rate. Met. Multidiscip. Digit. Publ. Inst. 2020, 10, 1153. [Google Scholar] [CrossRef]
  30. Kumar, P.; Davinci, M.A.; Aashranth, B.; Vaibhaw, K.; Samantaray, D.; Borah, U.; Ratnakar, C.; Srivastava, D.; Bhaduri, A.K. Investigation on Low-Temperature Deformation Behaviour of Molybdenum Under Compressive Loading. Trans. Indian Inst. Met. 2019, 72, 1489–1492. [Google Scholar] [CrossRef]
  31. Tseplyaev, V.; Serenko, N.; Starikov, S. The Investigation of Dislocation Behaviour in Molybdenum Using Molecular Dynamics. In Defect and Diffusion Forum; Trans Tech Publ: Zürich, Switzerland, 2017; Volume 375, pp. 175–181. [Google Scholar]
  32. Walde, T. Plastic anisotropy of thin molybdenum sheets. Int. J. Refract. Met. Hard Mater. 2008, 26, 396–403. [Google Scholar] [CrossRef]
  33. Nemat-Nasser, S.; Guo, W.; Liu, M. Experimentally-based micromechanical modeling of dynamic response of molybdenum. Scr. Mater. 1999, 40, 859–872. [Google Scholar] [CrossRef]
  34. Cheng, J.; Nemat-Nasser, S.; Guo, W. A unified constitutive model for strain-rate and temperature dependent behavior of molybdenum. Mech. Mater. 2001, 33, 603–616. [Google Scholar] [CrossRef]
  35. Chen, S.R.; Maudlin, P.J.; Gray, G.T.I. Mechanical Properties and Constitutive Relations for Molybdenum under High-Rate Deformation; Office of Scientific and Technical Information; Technical Report; Los Alamos National Lab.: Los Alamos, NM, USA, 1998; LA-UR-98-1870. [Google Scholar]
  36. Meng, B.; Wan, M.; Wu, X.; Zhou, Y.; Chang, C. Constitutive modeling for high-temperature tensile deformation behavior of pure molybdenum considering strain effects. Int. J. Refract. Met. Hard Mater. 2014, 45, 41–47. [Google Scholar] [CrossRef]
  37. Škoro, G.P.; Bennett, J.R.J.; Edgecock, T.R.; Booth, C.N. Yield strength of molybdenum, tantalum and tungsten at high strain rates and very high temperatures. J. Nucl. Mater. 2012, 426, 45–51. [Google Scholar] [CrossRef]
  38. Miller, G.H.; Ahrens, T.J.; Stolper, E.M. The equation of state of molybdenum at 1400 C. J. Appl. Phys. 1988, 63, 4469–4475. [Google Scholar] [CrossRef][Green Version]
  39. Duffy, T.S.; Ahrens, T.J. Dynamic response of molybdenum shock compressed at 1400 C. J. Appl. Phys. 1994, 76, 835–842. [Google Scholar] [CrossRef]
  40. Litasov, K.D.; Dorogokupets, P.I.; Ohtani, E.; Fei, Y.; Shatskiy, A.; Sharygin, I.S.; Gavryushkin, P.N.; Rashchenko, S.V.; Seryotkin, Y.V.; Higo, Y.; et al. Thermal equation of state and thermodynamic properties of molybdenum at high pressures. J. Appl. Phys. 2013, 113, 093507. [Google Scholar] [CrossRef]
  41. Winter, J.M.; Bruchey William, J.; Wells, J.M.; Rupert, N.L. Review of Available Models for 3-D Impact Damage and the Potential for Incorporation of Xct Results. In Proceedings of the 21th International Symposium on Ballistics, Adelaide, SA, Australia, 19–23 April 2004. [Google Scholar]
  42. Braun, J.; Kaserer, L.; Stajkovic, J.; Leitz, K.-H.; Tabernig, B.; Singer, P.; Leibenguth, P.; Gspan, C.; Kestler, H.; Leichtfried, G. Molybdenum and tungsten manufactured by selective laser melting: Analysis of defect structure and solidification mechanisms. Int. J. Refract. Met. Hard Mater. 2019, 84, 104999. [Google Scholar] [CrossRef]
  43. Baker, E.; Daniels, A.; Voorhis, G.; Vuong, T.; Pearson, J. Development of molybdenum shaped charge liners. In Proceedings of the 127 th Annual Meeting and Exhibition of The Minerals, Metals & Materials Society, San Antonio, TX, USA, 16–19 February 1998; pp. 173–182. [Google Scholar]
  44. Li, Y.; Guo, Y.; Hu, H.; Wei, Q. A critical assessment of high-temperature dynamic mechanical testing of metals. Int. J. Impact Eng. 2009, 36, 177–184. [Google Scholar] [CrossRef]
  45. Chen, W.W.; Song, B. Split Hopkinson (Kolsky) Bar: Design, Testing and Applications; Springer Science & Business Media: Berlin/Heidelberg, Germany, 2010. [Google Scholar]
  46. Kajberg, J.; Sundin, K.-G. Material characterisation using high-temperature Split Hopkinson pressure bar. J. Mater. Process. Technol. 2013, 213, 522–531. [Google Scholar] [CrossRef]
  47. Zhang, C.; Suo, T.; Tan, W.; Zhang, X.; Liu, J.; Wang, C.; Li, Y. An experimental method for determination of dynamic mechanical behavior of materials at high temperatures. Int. J. Impact Eng. 2017, 102, 27–35. [Google Scholar] [CrossRef]
  48. Lindholm, U. Some experiments with the split hopkinson pressure bar. J. Mech. Phys. Solids 1964, 12, 317–335. [Google Scholar] [CrossRef]
  49. Johnson, G.R. A constitutive model and data for materials subjected to large strains, high strain rates, and high temperatures. In Proceedings of the 7th International Symposium on Ballistics, The Hague, The Netherlands, 19–21 April 1983; pp. 541–547. [Google Scholar]
  50. Johnson, G.R.; Cook, W.H. Fracture characteristics of three metals subjected to various strains, strain rates, temperatures and pressures. Eng. Fract. Mech. 1985, 21, 31–48. [Google Scholar] [CrossRef]
  51. Vohringer, O. Deformation Behavior of Metallic Materials; Chiem, C.Y., Ed.; Nantes ENSM: Nantes, France, 1989; p. 7. [Google Scholar]
  52. Lindholm, U.S. Some experiments in dynamic plasticity under combined stress. In Mechanical Behavior of Materials Under Dynamic Loads; Springer: Berlin/Heidelberg, Germany, 1968; pp. 77–95. [Google Scholar]
  53. Campbell, J.; Ferguson, W. The temperature and strain-rate dependence of the shear strength of mild steel. Philos. Mag. Taylor Fr. 1970, 21, 63–82. [Google Scholar] [CrossRef]
  54. Ma, Y.; Zhao, F.; He, J.; Wang, J. Correction of Flow Stress for Hot Compression of INCO718 Alloy. In Proceedings of the 2015 6th International Conference on Manufacturing Science and Engineering, Guangzhou, China, 28–29 November 2015; Atlantis Press: Guangzhou, China, 2015. [Google Scholar]
  55. Goetz, R.; Semiatin, S. The adiabatic correction factor for deformation heating during the uniaxial compression test. J. Mater. Eng. Perform. 2001, 10, 710–717. [Google Scholar] [CrossRef]
  56. Choudhury, A.; Brooks, C. Contributions to the heat capacity of solid molybdenum in the range 300–2890 K. Int. J. Thermophys. 1984, 5, 403–429. [Google Scholar] [CrossRef]
Figure 1. The structure diagram of test samples: (a) quasi-static compression sample (b) dynamic compression sample.
Figure 1. The structure diagram of test samples: (a) quasi-static compression sample (b) dynamic compression sample.
Materials 14 04847 g001
Figure 2. Schematic of Hopkinson dynamic compression test system with only the key components displayed.
Figure 2. Schematic of Hopkinson dynamic compression test system with only the key components displayed.
Materials 14 04847 g002
Figure 3. Structure of Mo-L after the impact in Hopkinson bar at (a) 297 K, ϵ ˙ = 4000 / s and (b) 1273 K, ϵ ˙ = 6752 / s .
Figure 3. Structure of Mo-L after the impact in Hopkinson bar at (a) 297 K, ϵ ˙ = 4000 / s and (b) 1273 K, ϵ ˙ = 6752 / s .
Materials 14 04847 g003
Figure 4. Structure of Mo-H after the impact in Hopkinson bar at (a) 297 K, ϵ ˙ = 11 , 000 / s and (b) 1273 K, ϵ ˙ = 6289 / s .
Figure 4. Structure of Mo-H after the impact in Hopkinson bar at (a) 297 K, ϵ ˙ = 11 , 000 / s and (b) 1273 K, ϵ ˙ = 6289 / s .
Materials 14 04847 g004
Figure 5. Structure of Mo-C after the impact in Hopkinson bar at (a) 297 K, ϵ ˙ = 10 , 180 / s and (b) 1273 K, ϵ ˙ = 7905 / s .
Figure 5. Structure of Mo-C after the impact in Hopkinson bar at (a) 297 K, ϵ ˙ = 10 , 180 / s and (b) 1273 K, ϵ ˙ = 7905 / s .
Materials 14 04847 g005
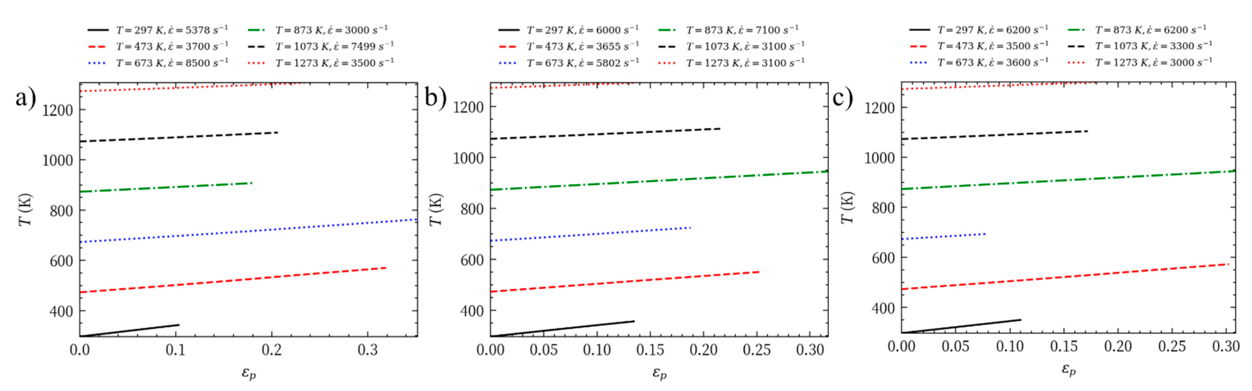
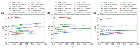
Figure 6. Mechanical properties of (a) Mo-L, quasi-static compression (b) Mo-L, room temperature dynamic impact (c) Mo-L, high temperature dynamic impact (d) Mo-H, quasi-static compression (e) Mo-H, room temperature dynamic impact (f) Mo-H, high temperature dynamic impact (g) Mo-C, quasi-static compression (h) Mo-C, room temperature dynamic impact (i) Mo-C, high temperature dynamic impact.
Figure 6. Mechanical properties of (a) Mo-L, quasi-static compression (b) Mo-L, room temperature dynamic impact (c) Mo-L, high temperature dynamic impact (d) Mo-H, quasi-static compression (e) Mo-H, room temperature dynamic impact (f) Mo-H, high temperature dynamic impact (g) Mo-C, quasi-static compression (h) Mo-C, room temperature dynamic impact (i) Mo-C, high temperature dynamic impact.
Materials 14 04847 g006
Figure 7. Stress–strain rate relationships of the three molybdenum materials: (a) stress–strain rate relationships (b) strain rate ratio.
Figure 7. Stress–strain rate relationships of the three molybdenum materials: (a) stress–strain rate relationships (b) strain rate ratio.
Materials 14 04847 g007
Figure 8. Flow stresses of the three molybdenum materials.
Figure 8. Flow stresses of the three molybdenum materials.
Materials 14 04847 g008
Figure 9. Sensitivities of the three molybdenum materials to the flow stress: (a) stress–strain relationships (b) strain-hardening ratio.
Figure 9. Sensitivities of the three molybdenum materials to the flow stress: (a) stress–strain relationships (b) strain-hardening ratio.
Materials 14 04847 g009
Figure 10. Sensitivities of the three molybdenum materials to temperature: (a) stress–temperature relationships (b) temperature-softening ratio.
Figure 10. Sensitivities of the three molybdenum materials to temperature: (a) stress–temperature relationships (b) temperature-softening ratio.
Materials 14 04847 g010
Figure 11. Comparison of true stress–strain curves evaluated from tests and fitted by MJC: (a) Mo-L; (b) Mo-H; (c) Mo-C.
Figure 11. Comparison of true stress–strain curves evaluated from tests and fitted by MJC: (a) Mo-L; (b) Mo-H; (c) Mo-C.
Materials 14 04847 g011
Figure 12. Relationship between the flow stress and the combined effect of the strain rate and temperature: (a) combined effect relationships (b) sensitivity ratio of combined effect.
Figure 12. Relationship between the flow stress and the combined effect of the strain rate and temperature: (a) combined effect relationships (b) sensitivity ratio of combined effect.
Materials 14 04847 g012
Figure 13. Adiabatic temperature increases of the three molybdenum materials: (a) Mo-L; (b) Mo-H; (c) Mo-C.
Figure 13. Adiabatic temperature increases of the three molybdenum materials: (a) Mo-L; (b) Mo-H; (c) Mo-C.
Materials 14 04847 g013
Figure 14. True stress–strain relationships from tests and MJC fitting curves: (a) Mo-L; (b) Mo-H; (c) Mo-C.
Figure 14. True stress–strain relationships from tests and MJC fitting curves: (a) Mo-L; (b) Mo-H; (c) Mo-C.
Materials 14 04847 g014
Figure 15. Fractures of Mo-H under SEM: (a) test temperature 297 K, ϵ ˙ = 11 , 000   s 1 ; (b) test temperature 1273 K, ϵ ˙ = 6289   s 1 .
Figure 15. Fractures of Mo-H under SEM: (a) test temperature 297 K, ϵ ˙ = 11 , 000   s 1 ; (b) test temperature 1273 K, ϵ ˙ = 6289   s 1 .
Materials 14 04847 g015
Table 1. Compositions of the three molybdenum materials.
Table 1. Compositions of the three molybdenum materials.
AbbreviationMo%Contents of Impurity Elements
AlSiCO
Mo-L 99.99 2102022
Mo-H 99.99 2102022
Mo-C 99.95 3142528
Table 2. Yield strengths at different strain rates.
Table 2. Yield strengths at different strain rates.
MaterialMo-LMo-HMo-C
TestTemperatureStrain RateYield StrengthStrain RateYield StrengthStrain RateYield Strength
Test 1297 K0.0001411 MPa0.0003498 MPa0.0003599 MPa
Test 2297 K\\0.003577 MPa0.003665 MPa
Test 3297 K0.01629 MPa0.03725 MPa0.03825 MPa
Test 4297 K53781135 MPa60001149 MPa62001267 MPa
Table 3. Yield strengths at different temperatures and strain rates.
Table 3. Yield strengths at different temperatures and strain rates.
MaterialMo-LMo-HMo-C
TestTemperatureStrain RateYield StrengthStrain RateYield StrengthStrain RateYield Strength
Test 1273 K1151942 MPa60001170 MPa62001260 MPa
Test 2473 K3700764 MPa3655826 MPa3500866 MPa
Test 3673 K8500624 MPa5802709 MPa3600721 MPa
Test 4873 K3000521 MPa7100620 MPa6200630 MPa
Test 51073 K7499427 MPa3100494 MPa3300484 MPa
Test 61273 K3500354 MPa3100428 MPa3000422 MPa
Table 4. MJC constitutive parameters.
Table 4. MJC constitutive parameters.
A B n C D E m
Mo-L4.25E83.98E80.6010.09461.0600.441
Mo-H4.66E81.76E80.4510.08260.9900.482
Mo-C5.59E82.23E80.5110.07121.0290.453
Publisher’s Note: MDPI stays neutral with regard to jurisdictional claims in published maps and institutional affiliations.

Share and Cite

MDPI and ACS Style

Chen, S.; Li, W.-B.; Wang, X.-M.; Yao, W.-J.; Song, J.-P.; Jiang, X.-C.; Yan, B.-Y. Comparative Study of the Dynamic Deformation of Pure Molybdenum at High Strain Rates and High Temperatures. Materials 2021, 14, 4847. https://doi.org/10.3390/ma14174847

AMA Style

Chen S, Li W-B, Wang X-M, Yao W-J, Song J-P, Jiang X-C, Yan B-Y. Comparative Study of the Dynamic Deformation of Pure Molybdenum at High Strain Rates and High Temperatures. Materials. 2021; 14(17):4847. https://doi.org/10.3390/ma14174847

Chicago/Turabian Style

Chen, Shuai, Wen-Bin Li, Xiao-Ming Wang, Wen-Jin Yao, Jiu-Peng Song, Xiang-Cao Jiang, and Bin-You Yan. 2021. "Comparative Study of the Dynamic Deformation of Pure Molybdenum at High Strain Rates and High Temperatures" Materials 14, no. 17: 4847. https://doi.org/10.3390/ma14174847

APA Style

Chen, S., Li, W.-B., Wang, X.-M., Yao, W.-J., Song, J.-P., Jiang, X.-C., & Yan, B.-Y. (2021). Comparative Study of the Dynamic Deformation of Pure Molybdenum at High Strain Rates and High Temperatures. Materials, 14(17), 4847. https://doi.org/10.3390/ma14174847

Note that from the first issue of 2016, this journal uses article numbers instead of page numbers. See further details here.

Article Metrics

Back to TopTop