Promoting Effect of Palladium on ZnAl2O4-Supported Catalysts Based on Cobalt or Copper Oxide on the Activity for the Total Propene Oxidation
Abstract
:1. Introduction
2. Materials and Methods
2.1. Preparation of Support and Catalysts
2.2. Catalyst Characterization
2.3. Catalytic Activity
3. Results and Discussion
3.1. Characterization of Catalytic Materials
3.1.1. Morphological Characteristics of the Catalysts
3.1.2. X-ray Diffraction (XRD)
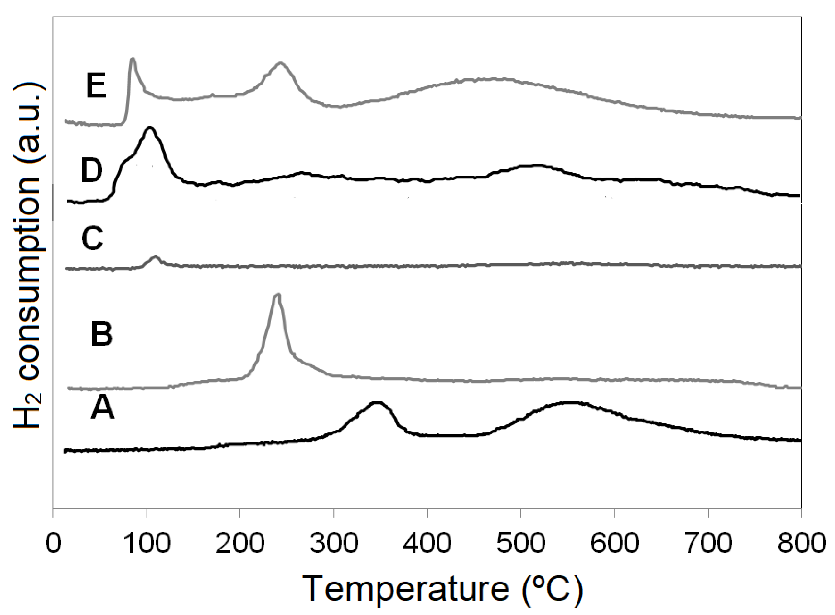
3.1.3. Temperature Programmed Reduction (TPR)
3.1.4. Scanning Electron Microscopy (SEM) and Energy Dispersive Spectroscopy (EDS)
3.1.5. X-ray Photoelectron Spectroscopy (XPS)
3.2. Catatytic Activity
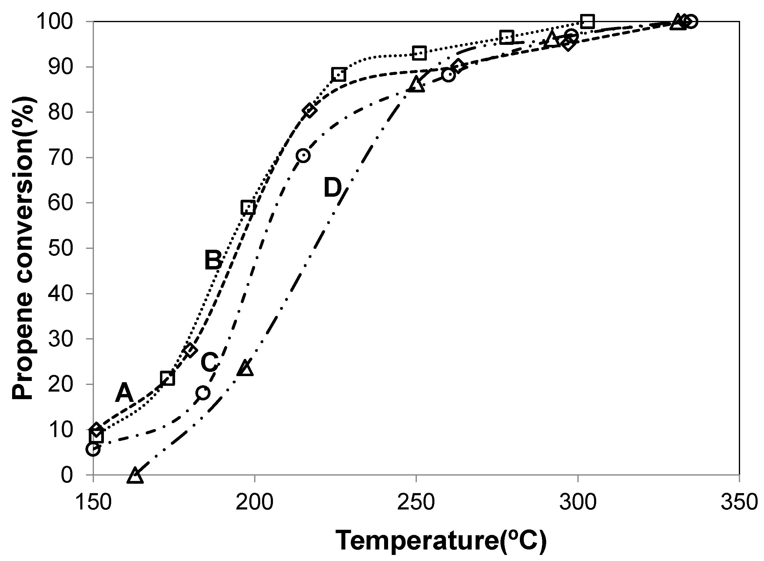
3.2.1. Propene Oxidation
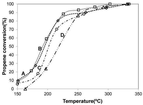
3.2.2. Catalytic Stability for the Propene Oxidation
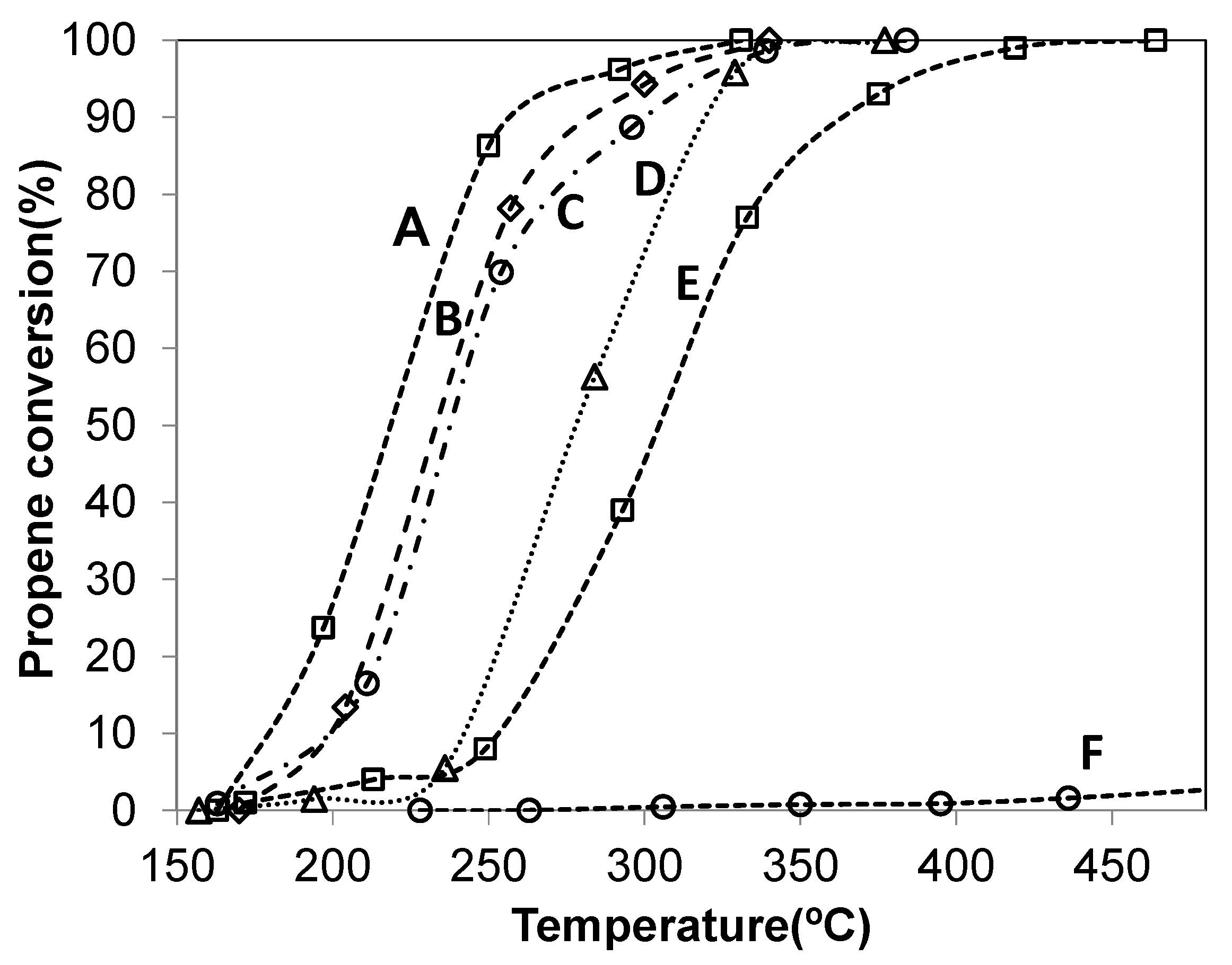
3.2.3. Catalytic Propane Oxidation
4. Conclusions
Supplementary Materials
Author Contributions
Funding
Institutional Review Board Statement
Informed Consent Statement
Data Availability Statement
Acknowledgments
Conflicts of Interest
References
- World Health Organization. Air Pollution. 2019. Available online: https://www.who.int/airpollution/en/ (accessed on 27 July 2021).
- Dey, S.; Mehta, N.S. Automobile pollution control using catalysis. Resour. Environ. Sustain. 2020, 2, 100006. [Google Scholar] [CrossRef]
- Technical Overview of Volatile Organic Compounds. Available online: https://www.epa.gov/indoor-air-quality-iaq/technical-overview-volatile-organic-compounds (accessed on 23 July 2021).
- Li, W.B.; Wang, J.X.; Gong, H. Catalytic combustion of VOCs on non-noble metal catalysts. Catal. Today 2009, 148, 81–87. [Google Scholar] [CrossRef]
- Derwent, R.G.; Jenkin, M.E.; Saunders, S.M.; Pilling, M.J. Photochemical ozone creation potentials for organic compounds in northwest Europe calculated with a master chemical mechanism. Atmos. Environ. 1998, 32, 2429–2441. [Google Scholar] [CrossRef]
- Gil, S.; Garcia-Vargas, J.M.; Liotta, L.F.; Pantaleo, G.; Ousmane, M.; Retailleau, L.; Giroir-Fendler, A. Catalytic Oxidation of Propene over Pd Catalysts Supported on CeO2, TiO2, Al2O3 and M/Al2O3 Oxides (M = Ce, Ti, Fe, Mn). Catalysts 2015, 5, 671–689. [Google Scholar] [CrossRef]
- Liu, G.; Tian, Y.; Zhang, B.; Wang, L.; Zhang, X. Catalytic combustion of VOC on sandwich-structured Pt@ZSM-5 nanosheets prepared by controllable intercalation. J. Hazard. Mater. 2019, 367, 568–576. [Google Scholar] [CrossRef] [PubMed]
- Li, C.; Liu, S.; Yang, F.; Zhang, Y.; Gao, Z.; Yuan, X.; Zheng, X. Synthesis of γ-Al2O3–supported Pt nanoparticles using Al-based metal-organic framework as medium and their catalytic performance for total propene oxidation and selective nitrobenzene hydrogenation. Mater. Chem. Phys. 2020, 240, 122146. [Google Scholar] [CrossRef]
- Dong, T.; Liu, W.; Ma, M.; Peng, H.; Yang, S.; Tao, J.; He, C.; Wang, L.; Peng, W.; An, T. Hierarchical zeolite enveloping Pd-CeO2 nanowires: An efficient adsorption/catalysis bifunctional catalyst for low temperature propane total degradation. Chem. Eng. J. 2020, 393, 124717. [Google Scholar] [CrossRef]
- Yang, X.; Li, Q.; Lu, E.; Wang, Z.; Gong, X.; Yu, Z.; Guo, Y.; Wang, L.; Guo, Y.; Zhan, W.; et al. Taming the stability of Pd active phases through a compartmentalizing strategy toward nanostructured catalyst supports. Nat. Commun. 2019, 10, 1611. [Google Scholar] [CrossRef] [Green Version]
- Liu, Z.; Cheng, L.; Zeng, J.; Hu, X.; Zhangxue, S.; Yuan, S.; Bo, Q.; Zhang, B.; Jiang, Y. Synthesis, characterization and catalytic performance of nanocrystalline Co3O4 towards propane combustion: Effects of small molecular carboxylic acids. J. Solid State Chem. 2020, 292, 121712. [Google Scholar] [CrossRef]
- Zhu, Z.Z.; Lu, G.Z.; Zhang, Z.G.; Guo, Y.; Guo, Y.L.; Wang, Y.Q. Highly Active and stable Co3O4/ZSM-5 catalyst for propane oxidation: Effect of the preparation method. ACS Catal. 2013, 3, 1154–1164. [Google Scholar] [CrossRef]
- Caia, T.; Deng, W.; Xu, P.; Yuan, J.; Liu, Z.; Zhao, K.; Tong, Q.; He, D. Great activity enhancement of Co3O4/γ-Al2O3 catalyst for propane combustion by structural modulation. Chem. Eng. J. 2020, 395, 125071. [Google Scholar] [CrossRef]
- Zhang, W.; Wu, F.; Li, J.; You, Z. Dispersion–precipitation synthesis of highly active nanosized Co3O4 for catalytic oxidation of carbon monoxide and propane. Appl. Surf. Sci. 2017, 411, 136–143. [Google Scholar] [CrossRef]
- Tian, Z.; Bahlawane, N.; Qi, F.; Kohse-Höinghaus, K. Catalytic oxidation of hydrocarbons over Co3O4 catalyst prepared by CVD. Catal. Commun. 2009, 11, 118–122. [Google Scholar] [CrossRef]
- Kouotou, P.M.; Pan, G.F.; Weng, J.J.; Fan, S.B.; Tian, Z.Y. Stainless steel grid mesh-supported CVD made Co3O4 thin films for catalytic oxidation of VOCs of olefins type at low temperature. J. Ind. Eng. Chem. 2016, 35, 253–261. [Google Scholar] [CrossRef]
- Liu, Y.; Dai, H.; Deng, J.; Xie, S.; Yang, H.; Tan, W.; Han, W.; Jiang, Y.; Guo, G. Mesoporous Co3O4-supported gold nanocatalysts: Highly active for the oxidation of carbon monoxide, benzene, toluene, and o-xylene. J. Catal. 2014, 309, 408–418. [Google Scholar] [CrossRef]
- Xie, S.; Deng, J.; Zang, S.; Yang, H.; Guo, G.; Arandiyan, H.; Dai, H. Au–Pd/3DOM Co3O4: Highly active and stable nanocatalysts for toluene oxidation. J. Catal. 2015, 322, 38–48. [Google Scholar] [CrossRef]
- Tian, Z.Y.; Herrenbrück, H.J.; Kouotou, P.M.; Vieker, H.; Beyer, A.; Gölzhäuser, A.; Kohse-Höinghaus, K. Facile synthesis of catalytically active copper oxide from pulsed-spray evaporation CVD. Surf. Coat. Tech. 2013, 230, 33–38. [Google Scholar] [CrossRef]
- Grzelaka, K.; Sobczaka, I.; Yang, C.M.; Ziolek, M. Gold-copper catalysts supported on SBA-15 with long and short channels—Characterization and the use in propene oxidation. Catal. Today 2020, 356, 155–164. [Google Scholar] [CrossRef]
- Labaki, M.; Lamonier, J.F.; Siffert, S.; Zhilinskaya, E.A.; Aboukaıs, A. Influence of the preparation method on the activity and stability of copper–zirconium catalysts for propene deep oxidation reaction. Colloid Surf. Physicochem. Eng. Asp. 2003, 227, 63–75. [Google Scholar] [CrossRef]
- Hosseini, S.A.; Niaei, A.; Salari, D.; Alvarez-Galvan, M.C.; Fierro, J.L.G. Study of correlation between activity and structural properties of Cu-(Cr, Mn and Co)2nano mixed oxides in VOC combustión. Ceram. Int. 2014, 40, 6157–6163. [Google Scholar] [CrossRef]
- He, C.; Cheng, J.; Zhang, X.; Douthwaite, M.; Pattisson, S.; Hao, Z. Recent Advances in the catalytic oxidation of volatile organic Compounds: A Review Based on Pollutant Sorts and Sources. Chem. Rev. 2019, 119, 4471–4568. [Google Scholar] [CrossRef]
- Liotta, L.F. Catalytic oxidation of volatile organic compounds on supported noble metals. Appl. Catal. B Environ. 2010, 100, 403–412. [Google Scholar] [CrossRef]
- Lee, J.E.; Ok, Y.S.; Tsang, D.C.W.; Song, J.H.; Jung, S.C.; Park, Y.K. Recent advances in volatile organic compounds abatement by catalysis and catalytic hybrid processes: A critical review. Sci. Total Environ. 2020, 719, 137405. [Google Scholar] [CrossRef]
- Liotta, L.F.; Ousmane, M.; Di Carlo, G.; Pantaleo, G.; Deganello, G.; Marcì, G.; Retailleau, L.; Giroir-Fendler, A. Total oxidation of propene at low temperature over Co3O4–CeO2 mixed oxides: Role of surface oxygen vacancies and bulk oxygen mobility in the catalytic activity. Appl. Catal. A Gen. 2008, 34, 781–788. [Google Scholar] [CrossRef] [Green Version]
- Zhang, W.; Valverde, J.L.; Giroir-Fendler, A. Cu-Co mixed oxide catalysts for the total oxidation of toluene and propane. Catal. Today 2021, inpress. [Google Scholar] [CrossRef]
- Kamiuchi, N.; Haneda, M.; Ozawa, M. Propene oxidation over palladium catalysts supported on zirconium rich ceria–zirconia. Catal. Today 2015, 241, 100–106. [Google Scholar] [CrossRef]
- Leguizamón Aparicio, M.S.; Ocsachoque, M.A.; Rodríguez-Castellón, E.; Gazzoli, D.; Casella, M.L.; Lick, I.D. Promoting effect of rhodium on Co/ZnAl2O4 catalysts for the catalytic combustion of hydrocarbons. Catal. Today 2021, 372, 2–10. [Google Scholar] [CrossRef]
- Zhao, P.P.; Chen, J.; Yu, H.B.; Cen, B.H.; Wang, W.Y.; Luo, M.F.; Lu, J.Q. Insights into propane combustion over MoO3 promoted Pt/ZrO2 catalysts: The generation of Pt-MoO3 interface and its promotional role on catalytic activity. J. Catal. 2020, 391, 80–90. [Google Scholar] [CrossRef]
- Leguizamón Aparicio, M.S.; Ruiz, M.L.; Ocsachoque, M.A.; Ponzi, M.I.; Rodríguez-Castellón, E.; Lick, I.D. Propane and naphthalene oxidation over gold-Promoted cobalt catalysts supported on zirconia. Catalysts 2020, 10, 387. [Google Scholar] [CrossRef] [Green Version]
- Lakshmanan, P.; Delannoy, L.; Richard, V.; Me’thivier, C.; Potvin, C.; Louis, C. Total oxidation of propene over Au/xCeO2-Al2O3 catalysts: Influence of the CeO2 loading and the activation treatment. Appl. Catal. B Environ. 2010, 96, 117–125. [Google Scholar] [CrossRef]
- Guo, Y.; Wen, M.; Li, G.; An, T. Recent advances in VOC elimination by catalytic oxidation technology onto various nanoparticles catalysts: A critical review. Appl. Catal. B Environ. 2021, 281, 119447. [Google Scholar] [CrossRef]
- Solsona, B.; Garcia, T.; Agouram, S.; Hutchings, G.J.; Taylor, S.H. The Effect of gold addition on the catalytic performance of copper manganese oxide catalysts for the total oxidation of propane. Appl. Catal. B Environ. 2011, 101, 388–396. [Google Scholar] [CrossRef]
- Liotta, L.F.; Di Carlo, G.; Pantaleo, G.; Venezia, A.M.; Deganello, G.; Merlone Borla, E.; Pidria, M.P. Pd/Co3O4 catalyst for CH4 emissions abatement: Study of SO2 poisoning effect. Top. Catal. 2007, 42, 425–428. [Google Scholar] [CrossRef]
- Aznárez, A.; Korili, S.A.; Gil, A. The promoting effect of cerium on the characteristics and catalytic performance of palladium supported on alumina pillared clays for the combustion of propene. Appl. Catal. A Gen. 2014, 474, 95–99. [Google Scholar] [CrossRef]
- Liotta, L.F.; Di Carlo, G.; Longo, A.; Pantaleo, G.; Venezia, A.M. Support effect on the catalytic performance of Au/Co3O4–CeO2 catalysts for CO and CH4 oxidation. Catal. Today 2008, 139, 174–179. [Google Scholar] [CrossRef]
- Solsona, B.; Garcia, T.; Hutchings, G.J.; Taylor, S.H.; Makkee, M. TAP reactor study of the deep oxidation of propane using cobalt oxide and gold-containing cobalt oxide catalysts. Appl. Catal. A Gen. 2009, 365, 222–230. [Google Scholar] [CrossRef]
- Walerczyk, W.; Zawadzki, M.; Okal, J. Characterization of the metallic phase in nanocrystalline ZnAl2O4-supported Pt catalysts. Appl. Surf. Sci. 2011, 257, 2394–2400. [Google Scholar] [CrossRef]
- Mohanty, P.; Mohapatro, S.; Mahapatra, R.; Mishra, D.K. Low cost synthesis route of spinel ZnAl2O4. Mater. Today Proc. 2021, 35, 130–132. [Google Scholar] [CrossRef]
- Walerczyk, W.; Zawadzki, M. Structural and catalytic properties of Pt/ZnAl2O4 as catalyst for VOC total oxidation. Catal. Today 2011, 176, 159–162. [Google Scholar] [CrossRef]
- Leguizamón Aparicio, M.S.; Lick, I.D. Total oxidation of propane and naphthalene from emission sources with supported cobalt catalysts. React. Kinet. Mech. Cat. 2016, 119, 469–479. [Google Scholar] [CrossRef]
- Wagner, C.D.; Davis, L.E.; Zeller, M.V.; Taylor, J.A.; Raymond, R.H.; Gale, L.H. Empirical atomic sensitivity factors for quantitative analysis by electron spectroscopy for chemical analysis. Surf. Interface Anal. 1981, 3, 211–225. [Google Scholar] [CrossRef]
- Montaña, M.; Leguizamón Aparicio, M.S.; Ocsachoque, M.A.; Navas, M.B.; Barros, I.; Rodríguez-Castellón, E.; Casella, M.L.; Lick, I.D. Zirconia-supported silver nanoparticles for the catalytic combustion of pollutants originating from mobile sources. Catalysts 2019, 9, 297. [Google Scholar] [CrossRef] [Green Version]
- Thommes, M.; Kaneko, K.; Neimark, A.V.; Olivier, J.P.; Rodriguez-Reinoso, F.; Rouquerol, J.; Sing, K.S.W. Physisorption of gases, with special reference to the evaluation of surface area and pore size distribution (IUPAC Technical Report). Pure Appl. Chem. 2015, 87, 1051–1069. [Google Scholar] [CrossRef] [Green Version]
- Takeguchi, T.; Okanishi, T.; Aoyama, S.; Ueda, J.; Kikuchi, R.; Eguchi, K. Strong chemical interaction between PdO and SnO2and the influence on catalytic combustion of methane. Appl. Catal. A Gen. 2003, 252, 205–214. [Google Scholar] [CrossRef]
- Martínez, A.; López, C.; Márquez, F.; Díaz, I. Fischer–Tropsch synthesis of hydrocarbons over mesoporous Co/SBA-15 catalysts: The influence of metal loading, cobalt precursor, and promoters. J. Catal. 2003, 220, 486–499. [Google Scholar] [CrossRef]
- Sato, S.; Iijima, M.; Nakayama, T.; Sodesawa, T.; Nozaki, F. Vapor-Phase Dehydrocoupling of Methanol to Methyl Formate over CuAl2O4. J. Catal. 1997, 169, 447–454. [Google Scholar] [CrossRef]
- Baeza, P.; Aguila, G.; Vargas, G.; Ojeda, J.; Araya, P. Adsorption of thiophene and dibenzothiophene on highly dispersed Cu/ZrO2 adsorbents. Appl. Catal. B Environ. 2012, 111–112, 133–140. [Google Scholar] [CrossRef]
- Vargas, D.; Rubio, J.M.; Santamaría, J.; Moreno, R.; Mérida, J.M.; Perez, M.A.; Jimenez, A.; Hernandez, R.; Maireles, P. Furfuryl alcohol from furfural hydrogenation over copper supported on SBA-15 silica catalysts. J. Mol. Catal. A Chem. 2014, 383–384, 106–113. [Google Scholar] [CrossRef]
- Strohmeier, B.R. Zinc Aluminate (ZnAl2O4) by XPS. Surf. Sci. Spectra 1994, 3, 128–134. [Google Scholar] [CrossRef]
- Brun, M.; Berthet, A.; Bertolini, J.C. XPS, AES and Auger parameter of Pd and PdO. J. Elect. Spec. Rel. Phen. 1999, 104, 55–60. [Google Scholar] [CrossRef]
- Briggs, D.; Seah, M.P. Practical Surface Analysis, 2nd ed.; Auger and X- Spectroscopy; John Wiley and Sons: Chischester, UK, 1990; Volume 1. [Google Scholar]
- Haack, L.P.; Otto, K. X-ray photoelectron spectroscopy of Pd/γ-alumina and Pd foil after catalytic methane oxidation. Catal. Lett. 1995, 34, 31–40. [Google Scholar] [CrossRef]
- Ren, Z.; Wu, Z.; Song, W.; Xiao, W.; Guo, Y.; Ding, J.; Suib, S.L.; Gao, P. Low temperature propane oxidation over Co3O4 based nano-array catalysts: Ni dopant effect, reaction mechanism and structural stability. Appl. Catal. B Environ. 2016, 180, 150–160. [Google Scholar] [CrossRef] [Green Version]
- Garcia, T.; Agouram, S.; Sánchez-Royo, J.F.; Murillo, R.; Mastral, A.M.; Aranda, A.; Vázquez, I.; Dejoz, A.; Solsona, B. Deep oxidation of volatile organic compounds using ordered cobalt oxides prepared by a nanocasting route. Appl. Catal. A Gen. 2010, 386, 16–27. [Google Scholar] [CrossRef]
- Vaz, C.A.F.; Prabhakaran, D.; Altman, E.I.; Henrich, V.E. Experimental study of the interfacial cobalt oxide in Co3O4/α–Al2O3(0001) epitaxial films. Phys. Rev. B 2009, 80, 155457. [Google Scholar] [CrossRef] [Green Version]
- Petitto, S.C.; Marsh, E.M.; Carson, G.A.; Langell, M.A. Cobalt oxide surface chemistry: The interaction of CoO(1 0 0), Co3O4(1 1 0) and Co3O4(1 1 1) with oxygen and water. J. Mol. Catal. A Chem. 2008, 281, 49–58. [Google Scholar] [CrossRef] [Green Version]
- Infantes-Molina, A.; Mérida-Robles, J.; Rodríguez-Castellón, E.; Pawelec, B.; Fierro, J.L.G.; Jiménez-López, A. Catalysts basedon Co/zirconium doped mesoporous silica MSU for the hydrogenation and hydrogenolysis/hydrocracking of tetralin. Appl. Catal. A Gen. 2005, 286, 239–248. [Google Scholar] [CrossRef]
- Biesinger, M.C.; Lau, L.W.M.; Gerson, A.R.; Smart, R.S.C. Resolving surface chemical states in XPS analysis of first row transition metals, oxides and hydroxides: Sc, Ti, V, Cu and Zn. Appl. Surf. Sci. 2010, 257, 887–898. [Google Scholar] [CrossRef]
- Poulston, S.; Parlett, P.M.; Stone, P.; Bowker, M. Surface oxidation and reduction of CuO and Cu2O studied using XPS and XAES. Surf. Interface Anal. 1996, 24, 811–820. [Google Scholar] [CrossRef]
- Bennici, S.; Gervasini, A.; Ravasio, N.; Zaccheria, F. Optimization of tailoring of CuOx species of silica alumina supported catalysts for the selective catalytic reduction of NOx. J. Phys. Chem. B 2003, 107, 5168–5176. [Google Scholar] [CrossRef]
- Tang, W.; Xiao, W.; Wang, S.; Ren, Z.; Ding, J.; Gao, P.X. Boosting catalytic propane oxidation over PGM-free Co3O4 nanocrystal aggregates through chemical leaching: A comparative study with Pt and Pd based catalysts. Appl. Catal. B Environ. 2018, 226, 585–595. [Google Scholar] [CrossRef]
- Machida, M.; Minami, S.; Hinokuma, S.; Yoshida, H.; Nagao, Y.; Sato, T.; Nakahara, Y. Unusual redox behavior of Rh/AlPO4 and its impact on three-way catalysis. J. Phys. Chem. C 2015, 119, 373–380. [Google Scholar] [CrossRef]
- Assebban, M.; Tian, Z.Y.; El Kasmi, A.; Bahlawane, N.; Harti, S.; Chafik, T. Catalytic complete oxidation of acetylene and propene over clay versus cordierite honeycomb monoliths without and with chemical vapor deposited cobalt oxide. Chem. Eng. J. 2015, 262, 1252–1259. [Google Scholar] [CrossRef]
- Serhal, C.A.; Mallard, I.; Poupin, C.; Labaki, M.; Siffert, S.; Cousin, R. Ultra quick synthesis of hydrotalcite-like compounds as efficient catalysts for the oxidation of volatile organic compounds. C. R. Chim. 2018, 21, 993–1000. [Google Scholar] [CrossRef]
- Sihaib, Z.; Puleo, F.; Pantaleo, G.; La Parola, V.; Valverde, J.L.; Gil, S.; Liotta, L.F.; Giroir-Fendler, A. The Effect of Citric Acid Concentration on the Properties of LaMnO3 as a Catalyst for Hydrocarbon Oxidation. Catalysts 2019, 9, 226. [Google Scholar] [CrossRef] [Green Version]
- Wan, J.; Ran, R.; Li, M.; Wu, X.D.; Weng, D. Effect of acid and base modification on the catalytic activity of Pt/Al2O3 for propene oxidation. J. Mol. Catal. A Chem. 2014, 383, 194–202. [Google Scholar] [CrossRef]
- Aznarez, A.; Gil, A.; Korili, S.A. Performance of palladium and platinum supported on alumina pillared clays in the catalytic combustion of propene. RSC Adv. 2015, 5, 82296–82309. [Google Scholar] [CrossRef]
- Tian, Z.Y.; Kouotou, P.M.; Kasmi, A.E.; Ngamou, P.H.T.; Kohse-Hoinghaus, K.; Vieker, H.; Beyer, A.; Golzhauser, A. Low-temperature deep oxidation of olefins and DME over cobalt ferrite. Proc. Combust. Inst. 2015, 35, 2207–2214. [Google Scholar] [CrossRef]
- Iwanek, E.M.; Liotta, L.F.; Williams, S.; Hu, L.; Clailung, K.; Pantaleo, G.; Kaskur, Z.; Kirk, D.W.; Gliński, M. Application of potassium ion deposition in determining the impact of support reducibility on catalytic activity of Au/ceria-zirconia catalysts in CO oxidation, NO oxidation, and C3H8 combustion. Catalysts 2020, 10, 688. [Google Scholar] [CrossRef]
- Hosseini, M.; Siffert, S.; Tidahy, H.L.; Cousin, R.; Lamonier, J.F.; Aboukais, A.; Vantomme, A.; Roussel, M.; Su, B.L. Promotional effect of gold added to palladium supported on a new mesoporous TiO2 for total oxidation of volatile organic compounds. Catal. Today 2007, 122, 391–396. [Google Scholar] [CrossRef]
- Aguilar-Tapia, A.; Zanella, R.; Calers, C.; Louis, C.; Delannoy, L. Synergetic Effect in bimetallic Ir-Au/TiO2 catalysts in the total oxidation propene: Influence of the activation conditions. Phys. Chem. Chem. Phys. 2015, 17, 28022–28032. [Google Scholar] [CrossRef] [PubMed]
- Ousmane, M.; Liotta, L.F.; Pantaleo, G.; Venezia, A.M.; Di Carlo, G.; Aouine, M.; Retailleau, L.; Giroir-Fendler, A. Supported Au catalysts for propene total oxidation: Study of support morphology and gold particle size effects. Catal. Today 2011, 176, 7–13. [Google Scholar] [CrossRef]
- Lamallem, M.; Cousin, R.; Thomas, R.; Siffert, S.; Aïssi, F.; Aboukaïs, A. Investigation of the effect of support thermal treatment on gold-based catalysts activity towards propene total oxidation. C. R. Chim. 2009, 12, 772–778. [Google Scholar] [CrossRef]
- Aboukaïs, A.; Skaf, M.; Hany, S.; Cousin, R.; Aouad, S.; Labaki, M.; Abi-Aad, E. A Comparative study of Cu, Ag and Au doped CeO2 in the total oxidation of volatile organic compounds (VOCs). Mater. Chem. Phys. 2016, 177, 570–576. [Google Scholar] [CrossRef]
- Yao, Y.F.Y. The oxidation of CO and hydrocarbons over noble metal catalysts. J. Catal. 1984, 87, 152–162. [Google Scholar] [CrossRef]
- Diehl, F.; Barbier, J.; Duprez, D.; Guibard, I.; Mabilon, G. Catalytic oxidation of heavy hydrocarbons over Pt/Al2O3. Influence of the structure of the molecule on its reactivity. Appl. Catal. B Environ. 2010, 95, 217–227. [Google Scholar] [CrossRef]
- Zhou, Z.; Harold, M.P.; Luss, D. Enhanced NO, CO and C3H6 conversion on Pt/Pd catalysts: Impact of oxygen storage material and catalyst architecture. Catal. Today 2021, 360, 375–387. [Google Scholar] [CrossRef]
- Delannoy, L.; Fajerwerg, K.; Lakshmanan, P.; Potvin, C.; Methivier, C.; Louis, C. Supported gold catalysts for the decomposition of VOC: Total oxidation of propene in low concentration as model reaction. Appl. Catal. B Environ. 2010, 94, 117–124. [Google Scholar] [CrossRef]
- Bae, J.; Kim, J.; Jeong, H.; Lee, H. CO oxidation on SnO2 surfaces enhanced by metal doping. Catal. Sci. Technol. 2018, 8, 782–789. [Google Scholar] [CrossRef]
- Solsona, B.; Sanchis, R.; Dejoz, A.M.; García, T.; Ruiz-Rodríguez, L.; López Nieto, J.M.; Cecilia, J.A.; Rodríguez-Castellón, E. Total oxidation of propane using CeO2 and CuO-CeO2 catalysts prepared using templates of different nature. Catalysts 2017, 7, 96. [Google Scholar] [CrossRef] [Green Version]








| Catalyst | Vp (cm3/g) | Sg (m2/g) | do (nm) |
|---|---|---|---|
| ZnAl | 0.280 | 50 | 17 |
| Cu-ZnAl | 0.274 | 50 | 17 |
| Co-ZnAl | 0.308 | 49 | 16 |
| Pd-ZnAl | 0.273 | 52 | 15 |
| PdCu-ZnAl | 0.276 | 50 | 16 |
| PdCo-ZnAl | 0.272 | 42 | 16 |
| Catalyst | EDS | XPS | Nominal | ||||||
|---|---|---|---|---|---|---|---|---|---|
| Co/Al | Cu/Al | Pd/Al | Co/Al | Cu/Al | Pd/Al | Co/Al | Cu/Al | Pd/Al | |
| Co-ZnAl | 0.091 | - | - | 0.22 | - | - | 0.082 | - | - |
| Cu-ZnAl | - | 0.098 | - | - | 0.083 | - | - | 0.076 | - |
| Pd-ZnAl | - | - | 0.008 | - | - | 0.004 | - | - | 0.004 |
| PdCu-ZnAl | - | 0.083 | 0.006 | - | 0.032 | 0.005 | - | 0.076 | 0.004 |
| PdCo-ZnAl | 0.174 | - | 0.009 | 0.17 | - | 0.006 | 0.082 | - | 0.004 |
| Cu-ZnAl | PdCu-ZnAl | Co-ZnAl | PdCo-ZnAl | Pd-ZnAl | |
|---|---|---|---|---|---|
| Pd3d5/2 | - | 336.8 | - | 337.0 | 336.9 |
| Pd3d3/2 | - | 342.3 | - | 342.6 | 342.4 |
| Cu2p3/2 | 933.7 | 933.5 | - | - | - |
| sat 2p3/2 | 943.1 | 943.4 | - | - | - |
| Cu2p1/2 | 953.3 | 953.4 | - | - | - |
| Co 2p3/2 | - | - | 780.9 | 781.5 | |
| Co 2p1/2 | - | - | - | - | |
| sat 2p3/2 * | - | - | 786.6 | 786.9 | |
| sat 2p1/2 * | - | - | 790.1 | 790.4 | |
| CoLMM Co(III) | - | - | 711.7 | 711.5 | |
| CoLMM Co(II) | - | - | 718.3 | 717.9 | |
| Co(II)/Co(III) | - | - | 0.72 | 0.76 |
| Catalyst | T50 (°C) | T100 (°C) |
|---|---|---|
| Pd-ZnAl | 242 | 384 |
| Cu-ZnAl | 305 | 464 |
| Co-ZnAl | 278 | 377 |
| PdCo-ZnAl | 219 | 331 |
| PdCu-ZnAl | 232 | 340 |
| Pd-ZnAlred | 197 | 333 |
| PdCu-ZnAlred | 203 | 335 |
| PdCo-ZnAlred | 191 | 303 |
| Catalyst | T50 (°C) | GHSV (h−1) | Reference |
|---|---|---|---|
| PdCo-ZnAl | 219 | 39,500 | This work |
| Co-ZnAl | 278 | 39,500 | This work |
| Pt(5)Al2O3 | 210 | 60,000 | [68] |
| Pd(2)/Al-PILC | 210 | 20,000 | [69] |
| Pt(2)/Al-PILC | 310 | 20,000 | [69] |
| Co/M-Clay | 302 | 50,000 | [65] |
| Pt(2.8)γ-Al2O3 | 250 | 30,000 | [8] |
| Pd(1)Al | 201 | 60,000 | [67] |
| Co3O4-SSgm | 300 | 45,000 | [16] |
| Co2.1Fe0.9O4 | 348 | 45,000 | [70] |
| Pd (0.5)/CeO2 | 189 | 35,000 | [6] |
| Pd(1.5)TiO2 | 226 | 60,000 | [72] |
| Ir(0.5)Au(1)TiO2 | 285 | 7800 | [73] |
| Au(1)TiO2 | 242 | 35,000 | [74] |
| Au(1)Al2O3 | 286 | 35,000 | [74] |
| Pd(0.5)Au(1)TiO2 | 208 | 60,000 | [72] |
| Au(3.07)Ce0,3Ti0,7O2 | 242 | 60,000 | [75] |
| Au(3.7)CeO2 | 170 | 60,000 | [76] |
Publisher’s Note: MDPI stays neutral with regard to jurisdictional claims in published maps and institutional affiliations. |
© 2021 by the authors. Licensee MDPI, Basel, Switzerland. This article is an open access article distributed under the terms and conditions of the Creative Commons Attribution (CC BY) license (https://creativecommons.org/licenses/by/4.0/).
Share and Cite
Ocsachoque, M.A.; Leguizamón-Aparicio, M.S.; Casella, M.L.; Lick, I.D. Promoting Effect of Palladium on ZnAl2O4-Supported Catalysts Based on Cobalt or Copper Oxide on the Activity for the Total Propene Oxidation. Materials 2021, 14, 4814. https://doi.org/10.3390/ma14174814
Ocsachoque MA, Leguizamón-Aparicio MS, Casella ML, Lick ID. Promoting Effect of Palladium on ZnAl2O4-Supported Catalysts Based on Cobalt or Copper Oxide on the Activity for the Total Propene Oxidation. Materials. 2021; 14(17):4814. https://doi.org/10.3390/ma14174814
Chicago/Turabian StyleOcsachoque, Marco Antonio, María Silvia Leguizamón-Aparicio, Mónica Laura Casella, and Ileana Daniela Lick. 2021. "Promoting Effect of Palladium on ZnAl2O4-Supported Catalysts Based on Cobalt or Copper Oxide on the Activity for the Total Propene Oxidation" Materials 14, no. 17: 4814. https://doi.org/10.3390/ma14174814
APA StyleOcsachoque, M. A., Leguizamón-Aparicio, M. S., Casella, M. L., & Lick, I. D. (2021). Promoting Effect of Palladium on ZnAl2O4-Supported Catalysts Based on Cobalt or Copper Oxide on the Activity for the Total Propene Oxidation. Materials, 14(17), 4814. https://doi.org/10.3390/ma14174814

