Energy Absorption Mechanism and Its Influencing Factors for Circular Concrete-Filled Steel Tubular Members Subjected to Lateral Impact
Abstract
:1. Introduction
2. Numerical Simulation
2.1. Experiment Overview
2.2. Finite Element Model
2.3. Simulation Validation
3. Energy Absorption Process
3.1. Phase 1: Local Energy Absorption
3.2. Phase 2: Energy Absorption Transition
3.3. Phase 3: Global Energy Absorption
3.4. Phase 4: Partial Energy Recovery
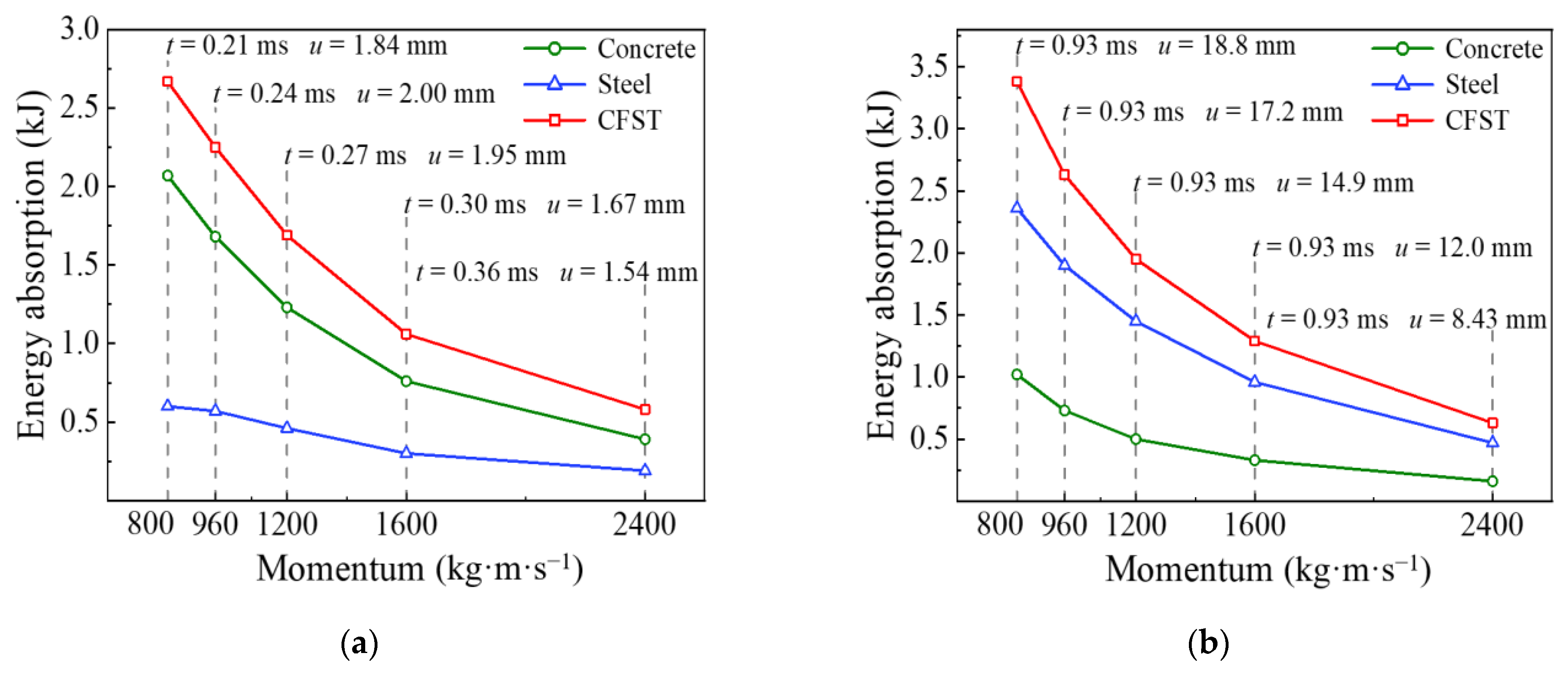
4. Energy Absorption Distribution
5. Influencing Factors of Energy Absorption Mechanism
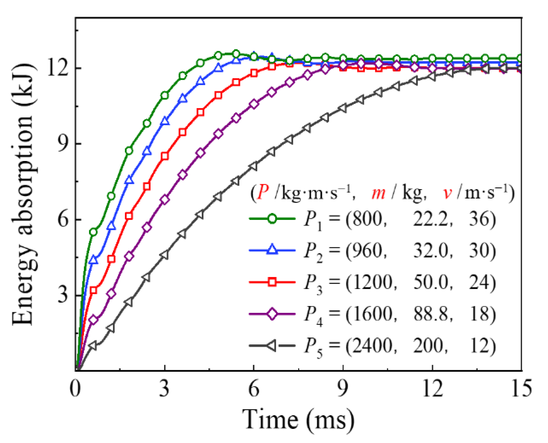
5.1. Influence of Impact Momentum on Energy Absorption Process
5.2. Influence of Impact Location on Energy Absorption Distribution
6. Conclusions
- Based on the comprehensive analysis of dynamic response, the energy absorption process can be divided into four phases, which are the phase of local energy absorption, the transition phase of energy absorption, the phase of global energy absorption, and the phase of partial energy recovery, where the phase of global energy absorption is the main process. As the main material to resist the tensile deformation, the steel tube material exhibits a perfect energy absorption performance in the whole impact process, while the concrete material mainly exerts its energy absorption capacity in the local response phase due to the local depression at the impact location.
- The segmented numerical model was proposed creatively in this investigation to determine the energy absorption distribution of circular CFST members, and the main areas of energy absorption were distributed at the impact location and the end of the member. The steel tube material had a high energy absorption capacity at both the impact location and the end of the member, while the concrete material only consumed a small part of kinetic energy at the impact location, and the rest of the concrete material was at a low energy absorption level.
- The impact momentum has a great influence on the energy absorption process of circular CFST members under lateral impact. Unlike the phase of local energy absorption, the increase in impact momentum will significantly enlarge the global energy absorption of circular CFST members when the impact kinetic energy remains constant. The energy absorption of the steel tube material and concrete material are mainly reflected in the global deformation and local damage of circular CFST members, respectively.
- The change in the impact location will make an obvious difference in the energy absorption distribution for circular CFST members. With the impact location approaching from the mid-span to one end of the circular CFST member, the main area of energy absorption will be more concentrated, and its length will be reduced accordingly, which results in a significant increase in the energy absorption at the end of the member near the impact location.
Author Contributions
Funding
Institutional Review Board Statement
Informed Consent Statement
Data Availability Statement
Conflicts of Interest
References
- Morino, S.; Uchikoshi, M.; Yamaguchi, I. Concrete-Filled Steel Tube Column System-Its Advantages. Steel Struct. 2001, 1, 33–44. [Google Scholar]
- Han, L.-H.; Li, W.; Bjorhovde, R. Developments and Advanced Applications of Concrete-Filled Steel Tubular (CFST) Structures: Members. J. Constr. Steel Res. 2014, 100, 211–228. [Google Scholar] [CrossRef]
- Deng, Y.; Tuan, C.Y.; Xiao, Y. Flexural Behavior of Concrete-Filled Circular Steel Tubes under High-Strain Rate Impact Loading. J. Struct. Eng. 2012, 138, 449–456. [Google Scholar] [CrossRef]
- Deng, Y.; Tuan, C.Y. Design of Concrete-Filled Circular Steel Tubes under Lateral Impact. ACI Struct. J. 2013, 110. [Google Scholar] [CrossRef]
- Wang, R.; Han, L.-H.; Hou, C. Behavior of Concrete Filled Steel Tubular (CFST) Members under Lateral Impact: Experiment and FEA Model. J. Constr. Steel Res. 2013, 80, 188–201. [Google Scholar] [CrossRef]
- Aghdamy, S.; Thambiratnam, D.; Dhanasekar, M.; Saiedi, S. Computer Analysis of Impact Behavior of Concrete Filled Steel Tube Columns. Adv. Eng. Softw. 2015, 89, 52–63. [Google Scholar] [CrossRef]
- Wang, L.; Liu, Y.; Song, J.; Zhao, S.; Wang, Z.; Zeng, Y.; Feng, X. Deflection Calculation Based on SDOF Method for Axially Loaded Concrete-Filled Steel Tubular Members Subjected to Lateral Impact. Shock. Vib. 2020, 2020, 6301018. [Google Scholar] [CrossRef] [Green Version]
- Yousuf, M.; Uy, B.; Tao, Z.; Remennikov, A.; Liew, R. Behaviour and Resistance of Hollow and Concrete-Filled Mild Steel Columns Due to Transverse Impact Loading. Aust. J. Struct. Eng. 2012, 13. [Google Scholar] [CrossRef]
- Yousuf, M.; Uy, B.; Tao, Z.; Remennikov, A.; Liew, R. Transverse Impact Resistance of Hollow and Concrete Filled Stainless Steel Columns. J. Constr. Steel Res. 2013, 82, 177–189. [Google Scholar] [CrossRef]
- Yousuf, M.; Uy, B.; Tao, Z.; Remennikov, A.; Liew, R. Impact Behaviour of Pre-Compressed Hollow and Concrete Filled Mild and Stainless Steel Columns. J. Constr. Steel Res. 2014, 96, 54–68. [Google Scholar] [CrossRef]
- Bambach, M.R.; Jama, H.; Zhao, X.; Grzebieta, R.H. Hollow and Concrete Filled Steel Hollow Sections under Transverse Impact Loads. Eng. Struct. 2008, 30, 2859–2870. [Google Scholar] [CrossRef]
- Bambach, M.R. Design of Hollow and Concrete Filled Steel and Stainless Steel Tubular Columns for Transverse Impact Loads. Thin-Walled Struct. 2011, 49, 1251–1260. [Google Scholar] [CrossRef]
- Qu, H.; Li, G.; Chen, S.; Sun, J.; Sozen, M.A. Analysis of Circular Concrete-Filled Steel Tube Specimen under Lateral Impact. Adv. Struct. Eng. 2011, 14, 941–951. [Google Scholar] [CrossRef]
- Han, L.-H.; Hou, C.; Zhao, X.-L.; Rasmussen, K.J.R. Behaviour of High-Strength Concrete Filled Steel Tubes under Transverse Impact Loading. J. Constr. Steel Res. 2014, 92, 25–39. [Google Scholar] [CrossRef]
- Wang, X.; Cristoforo, D.; Xu, J.; Xiao, Y. Dynamic Response of Concrete Filled Steel Tube Column under Lateral Impact Load: Experimental Study and Calculation Method. China Civ. Eng. J. 2017, 50, 28–36. (In Chinese) [Google Scholar]
- Zhu, A.-Z.; Xu, W.; Gao, K.; Ge, H.-B.; Zhu, J.-H. Lateral Impact Response of Rectangular Hollow and Partially Concrete-Filled Steel Tubular Columns. Thin-Walled Struct. 2018, 130, 114–131. [Google Scholar] [CrossRef]
- Hou, C.; Han, L.-H. Life-Cycle Performance of Deteriorated Concrete-Filled Steel Tubular (CFST) Structures Subject to Lateral Impact. Thin-Walled Struct. 2018, 132, 362–374. [Google Scholar] [CrossRef]
- Zhao, H.; Wang, R.; Hou, C.-C.; Lam, D. Performance of Circular CFDST Members with External Stainless Steel Tube under Transverse Impact Loading. Thin-Walled Struct. 2019, 145, 106380. [Google Scholar] [CrossRef]
- Xian, W.; Chen, W.; Hao, H.; Wang, W.-D. Experimental and Numerical Studies on Square Steel-Reinforced Concrete-Filled Steel Tubular (SRCFST) Members Subjected to Lateral Impact. Thin-Walled Struct. 2021, 160, 107409. [Google Scholar] [CrossRef]
- Xian, W.; Chen, W.; Hao, H.; Wang, W.-D.; Wang, R. Investigation on the Lateral Impact Responses of Circular Concrete-Filled Double-Tube (CFDT) Members. Compos. Struct. 2020, 255, 112993. [Google Scholar] [CrossRef]
- Shakir, A.S.; Guan, Z.; Jones, S.W. Lateral Impact Response of the Concrete Filled Steel Tube Columns with and without CFRP Strengthening. Eng. Struct. 2016, 116, 148–162. [Google Scholar] [CrossRef] [Green Version]
- Yang, X.; Yang, H.; Zhang, S. Transverse Impact Behavior of High-Strength Concrete Filled Normal-/High-Strength Square Steel Tube Columns. Int. J. Impact Eng. 2020, 139, 103512. [Google Scholar] [CrossRef]
- Zhu, X.; Zhao, P.; Tian, Y.; Wang, R. Experimental Study of RC Columns and Composite Columns under Low-Velocity Impact. Thin-Walled Struct. 2020, 160, 107374. [Google Scholar] [CrossRef]
- Wang, Y.; Qian, X.; Liew, J.R.; Zhang, M.-H. Experimental Behavior of Cement Filled Pipe-In-Pipe Composite Structures under Transverse Impact. Int. J. Impact Eng. 2014, 72, 1–16. [Google Scholar] [CrossRef]
- Wang, Y.; Qian, X.; Liew, J.R.; Zhang, M.-H. Impact of Cement Composite Filled Steel Tubes: An Experimental, Numerical and Theoretical Treatise. Thin-Walled Struct. 2015, 87, 76–88. [Google Scholar] [CrossRef]
- Hallquist, J.O. LS-DYNA Keyword User’s Manual. Nonlinear Dynamic Analysis of Structures; Livermore Software Technology Corporation: Livermore, CA, USA, 2006. [Google Scholar]
- Wang, L.; Liu, Y.; Zhu, W.; He, T.; Kang, X. Damage Assessment Method for Concrete-Filled Steel Tubular Columns under Impact Loading. J. Southwest Jiaotong Univ. 2020, 55, 796–803, 819. (In Chinese) [Google Scholar]
- Jones, N. Structural Impact; Cambridge University Press: New York, NY, USA, 2011; pp. 61–75. [Google Scholar]
- Hu, C.-M.; Han, L.-H.; Hou, C. Concrete-Encased CFST Members with Circular Sections under Laterally Low Velocity Impact: Analytical Behaviour. J. Constr. Steel Res. 2018, 146, 135–154. [Google Scholar] [CrossRef]
- Comite Euro-International du Beton. CEB-FIP Model Code 1990; Redwood Books: Wiltshire, UK, 1993. [Google Scholar]
- Malvar, L.J.; Ross, C.A. A Review of Strain Rate Effects for Concrete in Tension. ACI Mater. J. 1998, 95, 735–739. [Google Scholar]
- Qu, H.; Li, G.; Sun, J.; Sozen, M.A. Numerical Simulation Analysis of Circular Concrete-Filled Steel Tube Specimen under Lateral Impact. J. Archit. Civ. Eng. 2010, 1, 89–96. (In Chinese) [Google Scholar]
- Yi, W.; Shi, X. Numerical Simulation Analysis for RC Shear Walls under Impact Load. J. Vib. Shock. 2019, 38, 102–110. (In Chinese) [Google Scholar]























| Ref. | No. | L × D × t (mm × mm × mm) | Section Form | Impact Location | m (kg) | v (m/s) | Eg/Ei | Local Damage Pattern |
|---|---|---|---|---|---|---|---|---|
| [5] | DZF23 | 1200 × 114 × 3.5 | Circle | L/2 | 229.8 | 9.8 | - | Impact location depression |
| DZF25 | 1200 × 114 × 3.5 | Circle | L/2 | 229.8 | 10.8 | - | Support area buckling | |
| [8,9,10] | M-S | 2500 × 100 × 5.0 | Square | L/2 | 592.0 | 3.57 | - | Impact location depression |
| S-S | 2500 × 100 × 5.0 | Square | L/2 | 592.0 | 3.57 | - | Impact location depression | |
| [25] | CCFP-1-1 | 1800 × 219 × 10.0 | Circle | L/2 | 1350.0 | 7.83 | 0.86 | Impact location depression |
| CCFP-2-1 | 1800 × 219 × 6.3 | Circle | L/2 | 1350.0 | 7.59 | 0.94 | Impact location depression | |
| CCFP-3-1 | 1800 × 219 × 5.0 | Circle | L/2 | 1350.0 | 7.19 | 0.91 | Impact location depression | |
| [15] | CFST1 | 1300 × 300 × 3.75 | Circle | 4L/13 | 1580.0 | 7.79 | 0.79 | Impact location buckling |
| CFST3 | 1300 × 300 × 3.75 | Circle | 4L/13 | 1580.0 | 5.94 | 0.71 | Impact location buckling | |
| CFST4 | 1500 × 300 × 3.75 | Circle | 4L/15 | 1580.0 | 7.66 | 0.88 | Support area buckling | |
| CFST5 | 1500 × 300 × 3.75 | Circle | 4L/15 | 1580.0 | 5.92 | 0.88 | Support area buckling | |
| CFST7 | 1500 × 300 × 3.75 | Circle | 4L/15 | 1780.0 | 4.87 | 0.76 | Support area buckling | |
| [22] | HS7-100-6 | 1500 × 180 × 6.0 | Square | L/2 | 424.0 | 11.71 | 0.67 | Impact location buckling |
| [23] | R-ST6 | 1200 × 114 × 2.0 | Circle | L/2 | 206.65 | 9.39 | - | Impact location buckling |
| No. | h (m) | Ei (kJ) | Fstab (kN) | td (ms) | ur (mm) | ||||||
|---|---|---|---|---|---|---|---|---|---|---|---|
| Test | FEA | FEA/Test | Test | FEA | FEA/Test | Test | FEA | FEA/Test | |||
| DZF22 | 3.0 | 6.76 | 112.8 | 113.6 | 1.01 | 18.2 | 17.8 | 0.98 | 39.4 | 38.5 | 0.98 |
| DZF25 | 6.0 | 13.51 | 125.2 | 126.2 | 1.01 | 25.0 | 23.7 | 0.95 | 72.4 | 73.1 | 1.01 |
| DZF26 | 7.0 | 15.76 | 123.2 | 125.3 | 1.02 | 27.0 | 25.5 | 0.95 | 87.2 | 83.7 | 0.96 |
Publisher’s Note: MDPI stays neutral with regard to jurisdictional claims in published maps and institutional affiliations. |
© 2021 by the authors. Licensee MDPI, Basel, Switzerland. This article is an open access article distributed under the terms and conditions of the Creative Commons Attribution (CC BY) license (https://creativecommons.org/licenses/by/4.0/).
Share and Cite
Wang, L.; Liu, Y.; Yang, L.; Xu, N.; Zhao, S. Energy Absorption Mechanism and Its Influencing Factors for Circular Concrete-Filled Steel Tubular Members Subjected to Lateral Impact. Materials 2021, 14, 4652. https://doi.org/10.3390/ma14164652
Wang L, Liu Y, Yang L, Xu N, Zhao S. Energy Absorption Mechanism and Its Influencing Factors for Circular Concrete-Filled Steel Tubular Members Subjected to Lateral Impact. Materials. 2021; 14(16):4652. https://doi.org/10.3390/ma14164652
Chicago/Turabian StyleWang, Luming, Yanhui Liu, Lang Yang, Nan Xu, and Shichun Zhao. 2021. "Energy Absorption Mechanism and Its Influencing Factors for Circular Concrete-Filled Steel Tubular Members Subjected to Lateral Impact" Materials 14, no. 16: 4652. https://doi.org/10.3390/ma14164652
APA StyleWang, L., Liu, Y., Yang, L., Xu, N., & Zhao, S. (2021). Energy Absorption Mechanism and Its Influencing Factors for Circular Concrete-Filled Steel Tubular Members Subjected to Lateral Impact. Materials, 14(16), 4652. https://doi.org/10.3390/ma14164652

