The Effect of Sr-CoFe2O4 Nanoparticles with Different Particles Sized as Additives in CIP-Based Magnetorheological Fluid
Abstract
1. Introduction
2. Materials and Methods
2.1. Preparation of Sr-CoFe2O4 Nanoparticles
2.2. Preparation of CIP-Based MRF
2.3. Characterisation
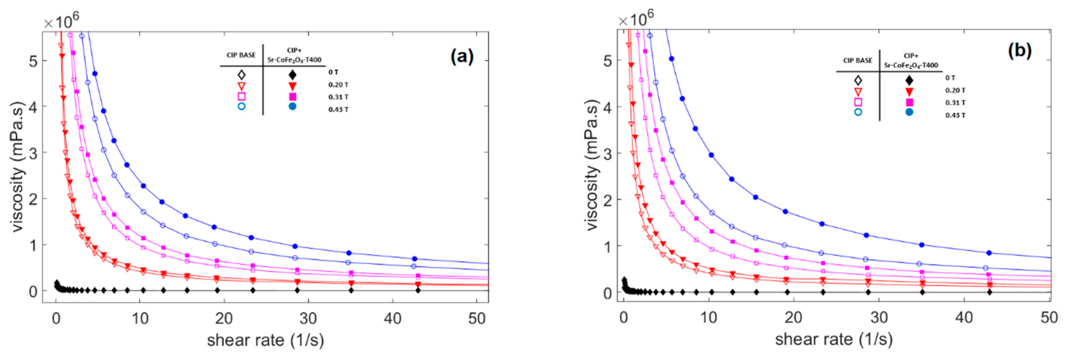
3. Results and Discussion
4. Conclusions
Author Contributions
Funding
Institutional Review Board Statement
Informed Consent Statement
Data Availability Statement
Acknowledgments
Conflicts of Interest
References
- Utami, D.; Ubaidillah; Mazlan, S.A.; Imaduddin, F.; Nordin, N.A.; Bahiuddin, I.; Aziz, S.A.A.; Mohamad, N.; Choi, S.-B. Material Characterization of a Magnetorheological Fluid Subjected to Long-Term Operation in Damper. Materials 2018, 11, 2195. [Google Scholar] [CrossRef] [PubMed]
- Leong, S.A.N.; Mazlan, S.A.; Samin, P.M.; Idris, A.; Ubaidillah. Performance of bidisperse magnetorheological fluids utilizing superparamagnetic maghemite nanoparticles. AIP Conf. Proc. 2016, 1710, 030050. [Google Scholar] [CrossRef]
- Bahiuddin, I.; A Mazlan, S.; Shapiai, I.; Imaduddin, F.; Ubaidillah; Choi, S.-B.; Shapiai, M.I. Constitutive models of magnetorheological fluids having temperature-dependent prediction parameter. Smart Mater. Struct. 2018, 27, 095001. [Google Scholar] [CrossRef]
- Ubaidillah, U.; Sutrisno, J.; Purwanto, A.; Mazlan, S.A. Recent Progress on Magnetorheological Solids: Materials, Fabrication, Testing, and Applications. Adv. Eng. Mater. 2014, 17, 563–597. [Google Scholar] [CrossRef]
- Mohamad, N.; Ubaidillah; Mazlan, S.A.; Choi, S.-B.; Aziz, S.A.A.; Sugimoto, M. The Effect of Particle Shapes on the Field-Dependent Rheological Properties of Magnetorheological Greases. Int. J. Mol. Sci. 2019, 20, 1525. [Google Scholar] [CrossRef]
- Mohamad, N.; Ubaidillah; Mazlan, S.A.; Choi, S.-B.; Halim, N.A. Improvement of magnetorheological greases with superparamagnetic nanoparticles. MATEC Web Conf. 2018, 159, 02066. [Google Scholar] [CrossRef][Green Version]
- Xin, D.-K.; Nie, S.-L.; Ji, H.; Yin, F.-L. Characteristics, Optimal Design, and Performance Analyses of MRF Damper. Shock Vib. 2018, 2018, 6454932. [Google Scholar] [CrossRef]
- Acharya, S.; Saini, R.; Kumar, H. Determination of optimal magnetorheological fluid particle loading and size for shear mode monotube damper. J. Braz. Soc. Mech. Sci. Eng. 2019, 41, 392. [Google Scholar] [CrossRef]
- Aly, A.M. Vibration Control of Buildings Using Magnetorheological Damper: A New Control Algorithm. J. Eng. 2013, 2013, 1–10. [Google Scholar] [CrossRef]
- Wang, S.-Y.; Song, W.-L.; Li, H.-L.; Wang, N. Modeling and multi-field simulation analysis of a multi-cylindrical magneto-rheological brake. Int. J. Appl. Electromagn. Mech. 2018, 57, 399–414. [Google Scholar] [CrossRef]
- Arteaga, O.; Cevallos, A.; Erazo, M.I.; Morales, K.D.; Tenezaca, D.B.; Argüello, E.M. Application of magnetorheological fluids in the design of a leg prosthesis with active damping. MATEC Web Conf. 2018, 192, 02055. [Google Scholar] [CrossRef]
- Fernandez, M.A.; Chang, J.-Y.; Huang, C.-Y. Development of a Passive Magnetorheological Fluid Clutch with Field-Blocking Mechanism. IEEE Trans. Magn. 2018, 54, 1–5. [Google Scholar] [CrossRef]
- Yang, T.-H.; Koo, J.-H.; Kim, S.-Y.; Kyung, K.-U.; Kwon, D.-S. Application of magnetorheological fluids for a miniature haptic button: Experimental evaluation. J. Intell. Mater. Syst. Struct. 2012, 23, 1025–1031. [Google Scholar] [CrossRef]
- Shabdin, M.K.; Rahman, M.A.A.; Mazlan, S.A.; Ubaidillah; Hapipi, N.M.; Adiputra, D.; Aziz, S.A.A.; Bahiuddin, I.; Choi, S.-B. Material Characterizations of Gr-Based Magnetorheological Elastomer for Possible Sensor Applications: Rheological and Resistivity Properties. Materials 2019, 12, 391. [Google Scholar] [CrossRef]
- Ruan, X.; Pei, L.; Xuan, S.; Yan, Q.; Gong, X. The rheological responds of the superparamagnetic fluid based on Fe3O4 hollow nanospheres. J. Magn. Magn. Mater. 2017, 429, 1–10. [Google Scholar] [CrossRef]
- Wang, G.; Zhao, D.; Li, N.; Zeng, Y.; Han, S.; Ma, Y.; Dong, X.; Yu, R. Facile synthesis of hierarchically structured flower-like Fe3O4 microspheres for high-performance magnetorheological fluids. J. Ind. Eng. Chem. 2019, 79, 217–225. [Google Scholar] [CrossRef]
- Wang, G.; Zhao, D.; Ma, Y.; Zhang, Z.; Che, H.; Mu, J.; Zhang, X.; Tong, Y.; Dong, X. Synthesis of calcium ferrite nanocrystal clusters for magnetorheological fluid with enhanced sedimentation stability. Powder Technol. 2017, 322, 47–53. [Google Scholar] [CrossRef]
- Wang, G.; Ma, Y.; Tong, Y.; Dong, X. Development of manganese ferrite/graphene oxide nanocomposites for magnetorheological fluid with enhanced sedimentation stability. J. Ind. Eng. Chem. 2017, 48, 142–150. [Google Scholar] [CrossRef]
- Radhika, B.; Sahoo, R.; Srinath, S. Size dependence of magnetorheological properties of cobalt ferrite ferrofluid. AIP Conf. Proc. 2015, 1665, 050167. [Google Scholar] [CrossRef]
- Wang, G.; Ma, Y.; Li, M.; Cui, G.; Che, H.; Mu, J.; Zhang, X.; Tong, Y.; Dong, X. Magnesium ferrite nanocrystal clusters for magnetorheological fluid with enhanced sedimentation stability. Solid State Sci. 2017, 63, 70–75. [Google Scholar] [CrossRef]
- Liu, Y.D.; Choi, H.J. Magnetorheology of core–shell typed dual-coated carbonyl iron particle fabricated by a sol–gel and self-assembly process. Mater. Res. Bull. 2015, 69, 92–97. [Google Scholar] [CrossRef]
- Chae, H.S.; Piao, S.H.; Maity, A.; Choi, H.J. Additive role of attapulgite nanoclay on carbonyl iron-based magnetorheological suspension. Colloid Polym. Sci. 2015, 293, 89–95. [Google Scholar] [CrossRef]
- Wang, G.; Ma, Y.; Tong, Y.; Dong, X.; Li, M. Solvothermal synthesis, characterization, and magnetorheological study of zinc ferrite nanocrystal clusters. J. Intell. Mater. Syst. Struct. 2017, 28, 2331–2338. [Google Scholar] [CrossRef]
- Lijesh, K.; Muzakkir, S.M.; Hirani, H. Rheological measurement of redispersibility and settling to analyze the effect of surfactants on MR particles. Tribol. Mater. Surf. Interfaces 2016, 10, 53–62. [Google Scholar] [CrossRef]
- Hajalilou, A.; Abouzari-Lotf, E.; Abbasi-Chianeh, V.; Shojaei, T.R.; Rezaie, E. Inclusion of octahedron-shaped ZnFe2O4 nanoparticles in combination with carbon dots into carbonyl iron based magnetorheological suspension as additive. J. Alloys Compd. 2018, 737, 536–548. [Google Scholar] [CrossRef]
- Nugroho, K.C.; Ubaidillah; Purnama, B.; Mas’Udi, A.; Nordin, N.A.; Mazlan, S.A.; Choi, S.-B. The effect of MnxCo(1-x)Fe2O4 with x = 0, 0.25 and 0.5 as nanoparticles additives in magnethorheological fluid. Smart Mater. Struct. 2020, 29, 114004. [Google Scholar] [CrossRef]
- Jönkkäri, I.; Sorvali, M.; Huhtinen, H.; Sarlin, E.; Salminen, T.; Haapanen, J.; Mäkelä, J.M.; Vuorinen, J. Characterization of bidisperse magnetorheological fluids utilizing maghemite (γ-Fe2O3) nanoparticles synthetized by flame spray pyrolysis. Smart Mater. Struct. 2017, 26, 095004. [Google Scholar] [CrossRef]
- Zhang, K.; Piao, S.H.; Choi, H.J. Hollow Structured Magnetic Particles of CoFe2O4 and Their Magnetorheological Characteristics. IEEE Trans. Magn. 2015, 51, 1. [Google Scholar] [CrossRef]
- Liu, J.; Wang, X.; Tang, X.; Hong, R.; Wang, Y.; Feng, W. Preparation and characterization of carbonyl iron/strontium hexaferrite magnetorheological fluids. Particuology 2015, 22, 134–144. [Google Scholar] [CrossRef]
- Rikamukti, N.; Utari; Purnama, B. Effect of doping Strontium ions in co-precipitated cobalt ferrite. J. Physics Conf. Ser. 2017, 909, 12012. [Google Scholar] [CrossRef]
- Nugroho, K.C.; Sarifuddin, W.S.; Purnama, B.; Ubaidillah; Nordin, N.A.; Bin Mazlan, S.A. Effect of Hard Magnetic CoFe2O4 Nanoparticles Additives on Improving Rheological Properties and Dispersion Stability of Magnetorheological Fluids. Key Eng. Mater. 2020, 855, 89–95. [Google Scholar] [CrossRef]
- Dong, Y.Z.; Piao, S.H.; Zhang, K.; Choi, H.J. Effect of CoFe2O4 nanoparticles on a carbonyl iron based magnetorheological suspension. Colloids Surf. A Physicochem. Eng. Asp. 2018, 537, 102–108. [Google Scholar] [CrossRef]
- Arilasita, R.; Utari; Purnama, B. The Effect of Low-Temperature Annealing on the Structural and the Magnetic Characteristics of Co-Precipitated Strontium Cobalt Ferrite. J. Korean Phys. Soc. 2019, 74, 498–501. [Google Scholar] [CrossRef]
- Mbonu, I. Determination of Ni (Ii) Crystal Structure by Powder X-ray. Sci. Afr. 2015, 14, 158–164. [Google Scholar]
- Krishna, K.R.; Ravinder, D.; Kumar, K.V.; Lincon, C.A. Synthesis, XRD & SEM Studies of Zinc Substitution in Nickel Ferrites by Citrate Gel Technique. World J. Condens. Matter Phys. 2012, 2, 153–159. [Google Scholar] [CrossRef]
- Kusuma, H.H.; Ibrahim, Z.; Othaman, Z. Estimation of Crystallite Size, Density, and Compositional of the Ti: Al2O3 Single Crystal. J. Ilm. Pendidik. Fis. Al-Biruni 2020, 9, 295–302. [Google Scholar] [CrossRef]
- Purnama, B.; Wijayanta, A.T. Effect of calcination temperature on structural and magnetic properties in cobalt ferrite nano particles. J. King Saud Univ. Sci. 2019, 31, 956–960. [Google Scholar] [CrossRef]
- Gharagozlou, M. Influence of calcination temperature on structural and magnetic properties of nanocomposites formed by Co-ferrite dispersed in sol-gel silica matrix using tetrakis(2-hydroxyethyl) orthosilicate as precursor. Chem. Central J. 2011, 5, 19. [Google Scholar] [CrossRef]
- Mimuro, S.; Makinose, Y.; Matsushita, N. Low-temperature synthesis of lanthanum strontium cobalt ferrite by the citrate complex method adding oleic acid. Adv. Powder Technol. 2015, 26, 1245–1249. [Google Scholar] [CrossRef]
- El-Okr, M.; Salem, M.; Salim, M.; Ashoush, M.; Talaat, H. Synthesis of cobalt ferrite nano-particles and their magnetic characterization. J. Magn. Magn. Mater. 2011, 323, 920–926. [Google Scholar] [CrossRef]
- Leong, S.A.N.; Samin, P.M.; Idris, A.; Mazlan, S.A.; Rahman, A.H.A. Synthesis, characterization and magnetorheological properties of carbonyl iron suspension with superparamagnetic nanoparticles as an additive. Smart Mater. Struct. 2016, 25, 025025. [Google Scholar] [CrossRef]
- Nejatpour, M.; Unal, U.; Acar, H.Y. Bidisperse magneto-rheological fluids consisting of functional SPIONs added to commercial MRF. J. Ind. Eng. Chem. 2020, 91, 110–120. [Google Scholar] [CrossRef]
- Wang, K.; Dong, X.; Li, J.; Shi, K.; Li, K. Effects of silicone oil viscosity and carbonyl iron particleweight fraction and size on yield stress for magnetorheological grease based on a new preparation technique. Materials 2019, 12, 1778. [Google Scholar] [CrossRef]
- Pei, L.; Xuan, S.; Wu, J.; Bai, L.; Gong, X. Experiments and Simulations on the Magnetorheology of Magnetic Fluid Based on Fe3O4 Hollow Chains. Langmuir 2019, 35, 12158–12167. [Google Scholar] [CrossRef]
- Esmaeilnezhad, E.; Choi, H.J.; Schaffie, M.; Gholizadeh, M.; Ranjbar, M.; Kwon, S.H. Rheological analysis of magnetite added carbonyl iron based magnetorheological fluid. J. Magn. Magn. Mater. 2017, 444, 161–167. [Google Scholar] [CrossRef]
- Chattopadhyay, A.; Samanta, S.; Srivastava, R.; Mondal, R.; Dhar, P. Elemental substitution tuned magneto-elastoviscous behavior of nanoscale ferrite MFe2O4 (M = Mn, Fe, Co, Ni) based complex fluids. J. Magn. Magn. Mater. 2019, 491, 165622. [Google Scholar] [CrossRef]
- Zhu, W.; Dong, X.; Huang, H.; Qi, M. Iron nanoparticles-based magnetorheological fluids: A balance between MR effect and sedimentation stability. J. Magn. Magn. Mater. 2019, 491, 165556. [Google Scholar] [CrossRef]
- Tong, Y.; Dong, X.; Qi, M. High performance magnetorheological fluids with flower-like cobalt particles. Smart Mater. Struct. 2017, 26, 025023. [Google Scholar] [CrossRef]
- Kwon, S.H.; Jung, H.S.; Choi, H.J.; Strecker, Z.; Roupec, J. Effect of octahedral typed iron oxide particles on magnetorheological behavior of carbonyl iron dispersion. Colloids Surf. A Physicochem. Eng. Asp. 2018, 555, 685–690. [Google Scholar] [CrossRef]
- Dong, Y.Z.; Han, W.J.; Choi, H.J. Additive effect of rod-like magnetite/sepiolite composite particles on magnetorheology. J. Ind. Eng. Chem. 2021, 93, 210–215. [Google Scholar] [CrossRef]
- Zhang, H.; Yan, H.; Yang, J.; Hu, Z.; Wang, X. The Properties of MRFs Based on Carbonyl Iron Particles Modified by Nano-Sized Silica and Phosphate Coating Layer. Arab. J. Sci. Eng. 2017, 42, 4713–4723. [Google Scholar] [CrossRef]
- Pan, J.; Yu, P.; Yan, Q.; Li, W. An experimental analysis of strontium titanate ceramic substrates polished by magnetorheological finishing with dynamic magnetic fields formed by rotating magnetic poles. Smart Mater. Struct. 2017, 26, 055017. [Google Scholar] [CrossRef]
- Lee, J.Y.; Kwon, S.H.; Choi, H.J. Magnetorheological characteristics of carbonyl iron microparticles with different shapes. Korea-Australia Rheol. J. 2019, 31, 41–47. [Google Scholar] [CrossRef]
- Cvek, M.; Mrlik, M.; Moucka, R.; Sedlacik, M. A systematical study of the overall influence of carbon allotrope additives on performance, stability and redispersibility of magnetorheological fluids. Colloids Surf. A Physicochem. Eng. Asp. 2018, 543, 83–92. [Google Scholar] [CrossRef]
- Jahan, N.; Pathak, S.; Jain, K.; Pant, R. Enchancment in viscoelastic properties of flake-shaped iron based magnetorheological fluid using ferrofluid. Colloids Surf. A Physicochem. Eng. Asp. 2017, 529, 88–94. [Google Scholar] [CrossRef]
- Liu, X.; Wang, L.; Lu, H.; Wang, D.; Chen, Q.; Wang, Z. A Study of the Effect of Nanometer Fe3O4 Addition on the Properties of Silicone Oil-based Magnetorheological Fluids. Mater. Manuf. Process. 2014, 30, 204–209. [Google Scholar] [CrossRef]
- Li, T.; Kheifets, S.; Medellin, D.; Raizen, M.G. Measurement of the Instantaneous Velocity of a Brownian Particle. Science 2010, 328, 1673–1675. [Google Scholar] [CrossRef] [PubMed]
- Rabbani, Y.; Ashtiani, M.; Hashemabadi, S.H. An experimental study on the effects of temperature and magnetic field strength on the magnetorheological fluid stability and MR effect. Soft Matter 2015, 11, 4453–4460. [Google Scholar] [CrossRef]
- Han, W.J.; An, J.S.; Choi, H.J. Enhanced magnetorheological characteristics of hollow magnetite nanoparticle-carbonyl iron microsphere suspension. Smart Mater. Struct. 2020, 29, 055022. [Google Scholar] [CrossRef]
- Rabbani, Y.; Hajinajaf, N.; Tavakoli, O. An experimental study on stability and rheological properties of magnetorheological fluid using iron nanoparticle core–shell structured by cellulose. J. Therm. Anal. Calorim. 2019, 135, 1687–1697. [Google Scholar] [CrossRef]
- Han, J.K.; Lee, J.Y.; Choi, H.J. Rheological effect of Zn-doped ferrite nanoparticle additive with enhanced magnetism on micro-spherical carbonyl iron based magnetorheological suspension. Colloids Surf. A Physicochem. Eng. Asp. 2019, 571, 168–173. [Google Scholar] [CrossRef]










| Sample | %wt CIP | Additives | |
|---|---|---|---|
| Nanoparticle | %wt | ||
| MRF CIP-base | 70 | - | - |
| MRF CIP+Sr-CoFe2O4-T300 | 70 | Sr-CoFe2O4-T300 | 1 |
| MRF CIP+ Sr-CoFe2O4-T400 | 70 | Sr-CoFe2O4-T400 | 1 |
| Calcination Temperature (°C) | Crystallite Size, D (nm) | (g/cm3) | |
|---|---|---|---|
| 300 | 17.26 ± 0.08 | 8.315 ± 0.015 | 5.49 ± 0.030 |
| 400 | 21.56 ± 0.11 | 8.344 ± 0.001 | 5.43 ± 0.002 |
| Sample | Magnetic Saturation (emu/g) | Coercivity (Oe) |
|---|---|---|
| Sr-CoFe2O4-T300 | 35.77 | 154.13 |
| Sr-CoFe2O4-T400 | 39.25 | 477.39 |
| MRF CIP-base | 127.35 | 127.35 |
| MRF CIP+Sr-CoFe2O4-T300 | 134.86 | 134.86 |
| MRF CIP+Sr-CoFe2O4-T400 | 146.70 | 146.70 |
| Magnetic Field (T) | Critical Strain (%) | ||
|---|---|---|---|
| CIP-Base | CIP+ Sr-CoFe2O4-T300 | CIP+ Sr-CoFe2O4-T400 | |
| 0 | 0.003 | 0.004 | 0.005 |
| 0.2 | 0.059 | 0.065 | 0.084 |
| 0.31 | 0.261 | 0.272 | 0.358 |
| 0.43 | 0.451 | 0.486 | 0.639 |
| Ref. | Nano Particle | Nano Size | CIP | CIP Size | Carrier Fluids | Sample | Sedimentation Test | ||||
|---|---|---|---|---|---|---|---|---|---|---|---|
| No. | CIP (wt%) | Nano (wt%) | Time (h) | SR (%) | Effectiveness | ||||||
| [59] | Fe3O4 hollow spherical shape | 200–300 nm | CIP | 2 µm | oil | 1 | 50 | 0 | 45 | 39 | - |
| 2 | 50 | 0.1 | 45 | 58 | 148% | ||||||
| [60] | Fe3O4 with cellulose | - | BASF, 7.86 × 103 kg/m3 | 7.2 µm | Silicon oil 3.50 × 10−4 m2/s) | 1 | 60 | 0.5 | 800 | 60 | - |
| 2 | 60 | 1 | 800 | 70 | 116% | ||||||
| 3 | 60 | 2 | 800 | 80 | 133% | ||||||
| [50] | Fe3O4/Sepiolite | d = 50 nm, l = 300–500 nm | BASF, CM Grade, 7.6 g/cm3 | 4 µm | silicone oil, KF-96, 1000 cSt | 1 | 50 | 0 | 48 | 35 | - |
| 2 | 50 | 0.1 | 48 | 60 | 171% | ||||||
| [41] | γFe2O3, coated oleic acid | 8.34 nm | Sigma Aldrich, density 7.86 g/mL | 10 µm | hydraulic oil (Mobil DTE 25) | 1 | 80.98 | 0 | 250 | 54 | - |
| 2 | 80.98 | 1 | 250 | 59 | 109% | ||||||
| [2] | γFe2O3 | 9 nm | Sigma Aldrich, density 7.86 g/mL | 1–5 µm | hydraulic oil (Mobil DTE 25) | 1 | 80.98 | 0 | 48 | 26 | - |
| 2 | 75.98 | 5 | 48 | 31 | 119% | ||||||
| 3 | 70.98 | 10 | 48 | 35 | 134% | ||||||
| [25] | ZnFe2O4 | 12 nm | CIP | - | silicone oil | 1 | 30 | 0 | 7500 | 38 | - |
| 2 | 30 | 1 | 7500 | 64 | 168% | ||||||
| [61] | ZnFe2O4 | 150–200 nm | BASF, Grade CC, 7.8 g/cm3 | 2–4 µm | Silicone oil, 1000cSt | 1 | 50 | 0 | 36 | 15 | - |
| 2 | 50 | 0.5 | 36 | 30 | 200% | ||||||
| [29] | SrFe12O19 | 110 nm | CIP, 4.5 g/cm3 | 1–2.5 µm | Heat transfer oil, 0.92 g/cm3 | 1 | 30 | 0 | 20 | 45 | - |
| 2 | 45 | 0 | 20 | 74 | 164% | ||||||
| 3 | 60 | 0 | 20 | 83 | 184% | ||||||
| 5 | 25 | 5 | 20 | 63 | 140% | ||||||
| 6 | 22.5 | 7.5 | 20 | 80 | 177% | ||||||
| 7 | 20 | 10 | 20 | 88 | 195% | ||||||
| [32] | CoFe2O4 | 180 nm | BASF, CM Grade, 7.6 g/cm3 | 4 µm | Silicone oil KF-96–100cSt | 1 | 30 | 0 | 24 | 51 | - |
| 2 | 30 | 0.1 | 24 | 71 | 139% | ||||||
| [31] | CoFe2O4 | 188–222 nm | BASF, CC grades | - | Silicone oil | 1 | 30 | 0 | 30 | 19.7 | - |
| 2 | 30 | 1 | 30 | 24.9 | 126% | ||||||
| This Work | Sr-CoFe2O4, calcinated 400 °C | 71–91 nm | BASF, CC grades | - | Silicone oil | 1 | 30 | 0 | 30 | 19.7 | - |
| 2 | 30 | 1 | 30 | 21.1 | 107% | ||||||
Publisher’s Note: MDPI stays neutral with regard to jurisdictional claims in published maps and institutional affiliations. |
© 2021 by the authors. Licensee MDPI, Basel, Switzerland. This article is an open access article distributed under the terms and conditions of the Creative Commons Attribution (CC BY) license (https://creativecommons.org/licenses/by/4.0/).
Share and Cite
Nugroho, K.C.; Ubaidillah, U.; Arilasita, R.; Margono, M.; Priyambodo, B.H.; Purnama, B.; Mazlan, S.A.; Choi, S.-B. The Effect of Sr-CoFe2O4 Nanoparticles with Different Particles Sized as Additives in CIP-Based Magnetorheological Fluid. Materials 2021, 14, 3684. https://doi.org/10.3390/ma14133684
Nugroho KC, Ubaidillah U, Arilasita R, Margono M, Priyambodo BH, Purnama B, Mazlan SA, Choi S-B. The Effect of Sr-CoFe2O4 Nanoparticles with Different Particles Sized as Additives in CIP-Based Magnetorheological Fluid. Materials. 2021; 14(13):3684. https://doi.org/10.3390/ma14133684
Chicago/Turabian StyleNugroho, Kacuk Cikal, Ubaidillah Ubaidillah, Retna Arilasita, Margono Margono, Bambang Hari Priyambodo, Budi Purnama, Saiful Amri Mazlan, and Seung-Bok Choi. 2021. "The Effect of Sr-CoFe2O4 Nanoparticles with Different Particles Sized as Additives in CIP-Based Magnetorheological Fluid" Materials 14, no. 13: 3684. https://doi.org/10.3390/ma14133684
APA StyleNugroho, K. C., Ubaidillah, U., Arilasita, R., Margono, M., Priyambodo, B. H., Purnama, B., Mazlan, S. A., & Choi, S.-B. (2021). The Effect of Sr-CoFe2O4 Nanoparticles with Different Particles Sized as Additives in CIP-Based Magnetorheological Fluid. Materials, 14(13), 3684. https://doi.org/10.3390/ma14133684

