Abstract
This article reports on the non-trivial suppression of superconductivity in the Eu1−xPrxBCO cuprates. As non-magnetic Eu3+ ions are replaced by Pr3+ carrying a magnetic moment, spin-related superconductivity loss can be expected. The research shows that the superconductivity disappearance for x > 0.4 results from depletion of the carriers and their localization. The above conclusion was drawn by low-temperature X-ray diffraction analysis showing increased characteristic phonon frequencies with Pr content. This mechanism should promote electron–phonon coupling, at least for acoustic phonons. However, the inverse phenomenon was detected. Namely, there is a gradual deterioration of the optical phonons responsible for vibration of the Cu–O bonds with Pr increasing, as evidenced by Raman spectroscopy. Furthermore, the results of X-ray absorption spectroscopy precisely showed the location of the carriers for Pr-rich specimens. Finally, a schematic diagram for Eu1−xPrxBCO is proposed to consolidate the presented research.
1. Introduction
In 1986, Bednorz and Müller discovered the high-temperature superconductivity (HTS) in La–Ba–Cu–O, and the following year, they received the Nobel Prize in Physics, which indicates the incredible significance of this discovery for the energy and space industries, as well as for numerous technical and medical applications. The last point concerns, i.e., the superconducting magnets, SQUID-based devices, superconducting JJ-arrays (Josephson junctions), fault-current limiters, or magnetic levitation transport systems. Finally, the possibility to measure weak magnetic fields has released a wide range of biomedical applications (e.g., magnetoencephalography).
Historically, La–Ba–Cu–O was the first high-temperature superconductor (HTS) with a critical temperature (Tc) close to 36 K [1]. Later, by applying hydrostatic pressure, Chu [2] increased the superconducting state of La5−xBaxCu5O5(3−y) up to 50 K, showing in practice that various conditions can effectively affect Tc.
In turn, a significant rise in critical temperature was observed for the REBa2Cu3O7−δ family (RE—rare earth element); e.g., Wu and Chu [3] proved the oxygen-dependent Tc ≈ 90 K for YBa2Cu3O7−δ. Further studies of other rare earth elements [4,5,6,7,8,9,10,11] show that Tc can be even above 90 K for most RE3+ ions, despite possessing a spin magnetic moment, which is typically antagonistic for the superconducting state.
Nevertheless, there are a few exclusions to this rule. CeBa2Cu3O7−δ and TbBa2Cu3O7−δ [12] principally do not crystalize in the superconducting orthorhombic structure (Pmmm, No. 47; so-called RE-123 phase). In turn, PrBa2Cu3O7−δ crystallizes in the orthorhombic Pr-123 structure; however, the superconductivity of bulk samples is rarely reported, which is presumably due to the Pr/Ba mixing being difficult to avoid [13,14,15].
As predicted theoretically, PrBa2Cu3O7−δ shows superconductivity at Tc ≈ 90 K with 90% ÷ 10% transition width of ΔT ≈ 20 K or less [16]. This behavior has been confirmed by studies on the superconductivity of thin layers [17], single crystals [18,19,20], and excellent polycrystalline samples [21]. However, the latter materials are challenging to synthesize since Pr-based ceramics are sensitive to sintering conditions, promoting the Pr/Ba exchange in the crystal structure [15,21]. Furthermore, since the interplanar bonds in cuprates are mainly ionic, the difference in radii Pr3+ (113.0 pm) and Ba2+ (149.0 pm) impacts the c lattice parameter of the Pmmm structure. In general, the c lattice constant for non-superconducting material is smaller than for the superconducting one [21].
Many researchers investigated the Y1−xPrxBa2Cu3O7−δ [22,23,24] and Gd1−xPrxBa2Cu3O7−δ systems [25] and found that the critical temperature (Tc) decreased monotonically with Pr concentration, similar to YBa2Cu3O7−δ–YMnO3 composites enriched with YMnO3 [26].
NdBa2Cu3O7−δ is a familiar system where Ba2+ can substitute Nd3+. However, the formation of Nd–Ba defects is much less frequent than the development of Pr–Ba defects [27]. The Tc variability can be explained by the Nd/Ba mixing frequency controlling the charge transfer from Cu–O2 planes to Cu–O chains [27].
Research on the Eu1−xPrxBa2Cu3O7−δ system (regularly called (Eu,Pr)BCO or (Eu,Pr)-123 phase) was initiated in 1990, focusing on Mössbauer 151Eu spectroscopy and superconductivity suppression by Pr4+ ions at x = 0.4 [28]. In addition, research on specific heat has also been reported [29], where Pr contribution in the metallic phase is manifested by a broad anomaly quite well described by the Kondo method. Then, the entropy correlated with Pr anomalies in metallic and insulating phases indicates a twofold ground state of Pr with a valence close to 4+ in the crystalline electric field.
This paper aims to explain the non-trivial suppression of superconductivity in the (Eu1−xPrx)BCO system (x = 0.0; 0.2; 0.4; 0.6; 0.8; 1.0). For the Eu3+ ion (4f 65s25p6), the orbital and spin contributions in the total angular momentum (J) cancel each other, making the Eu-123 phase unique (J = 0). On the other hand, the Pr3+ ion (4f 25s25p6) reveals J = 4. However, it is widely accepted that the ground state of the Pr3+ multiplet is an intrinsically non-magnetic singlet in a crystal electric field. Thus, superconductivity suppression in this particular case does not seem to be biased by magnetism.
2. Materials and Methods
2.1. Preparation of (Eu,Pr)BCO by Solid-State Reaction Method
Eu2O3, Pr2O3 (Sigma-Aldrich, St. Louis, MO, USA, 99.99% purity), CuO (Alfa-Aesar, Haverhill, MA, USA, 99.999% purity), and BaCO3 (POCH, Gliwice, Poland, 99.6% purity) were used to prepare the Eu1−xPrxBCO samples. First, the materials were synthesized by a conventional solid-state reaction method by calcining the stoichiometric weighed substrates at 950 °C for 24 h. Then, the sinters were crushed, ground, and calcination was repeated. Next, sintered materials were ground again and pelletized under a uniaxial pressure of 800 MPa. Finally, the pellets were annealed in an oxygen flow of 20 L/h at 920 °C. After 33 h, the temperature was lowered to 400 °C and held for the next 33 h, as described [8,9,30].
2.2. Characterization of Materials
Scanning Electron Microscopy (SEM) with Energy-Dispersive X-Ray Spectroscopy (EDS) was performed on the TESCAN VEGA 3 SBH instrument. The local microstructures were imaged using the SE detector in a high vacuum mode and at a voltage of 30 kV. The EDS detector equipped with the Bruker Esprit software analyzed the chemical compositions of (Eu,Pr)BCO. The SEM/EDS studies were conducted on fractured as well as on polished surfaces of pellets.
X-Ray Diffraction (XRD) studies were performed using the Empyrean PANalytical instrument operating in the Bragg–Brentano geometry with Cu Kα radiation (λ = 1.5406 Å) and NIST LaB6 standard for correcting the instrument broadening. Diffractograms were collected over an angular range of 5° < 2θ < 130°. Low-temperature studies (15 ÷ 300 K) were made using Oxford Instruments. The specimen position was corrected against thermal displacements. The Rietveld analysis was employed [31,32] to quantify the diffraction patterns of (Eu,Pr)BCO.
Raman vibrational spectra were measured with the Renishaw micro-Raman inVia Reflex instrument in backscattering geometry. A 514 nm line of an Ar-ion laser with a spot diameter of about 1.5 µm was used to excite the material. The laser power has been adjusted so that the cumulative energy dose per sample did not exceed 1 mW to avoid laser-induced degradation effects. Raman spectra were collected cumulatively over three passes each for 30 s to enhance the signal-to-noise ratio.
X-ray absorption spectroscopy (XAS) was employed to inspect the (Eu,Pr)BCO electronic structure. The XAS data were recorded in a total-electron-yield mode from the area of 0.5 × 0.3 mm2 with a spectral resolution ΔE/E of 2.5·10−4 and normalized for background calibration measurements. The research was carried out at the SOLARIS National Synchrotron Radiation Centre (Kraków, Poland) on the PEEM/XAS line. The experiment was accomplished in cooperation with the SOLARIS Staff.
Magnetic measurements as a function of temperature (5 ÷ 120 K) and magnetic field up to 50 kOe were carried out with a superconducting quantum interference magnetometer (Quantum Design, San Diego, CA, USA, MPMS-5).
The method of fixed-point titration with sodium thiosulfate (Na2S2O3) was utilized to determine the oxygen concentration [33].
3. Results
3.1. Microstructural Analysis
The local microstructure evolution of the (Eu,Pr)BCO system is presented in Figure 1.
Figure 1.
Scanning electron microscopy (SEM) images of the local microstructures: (a) EuBCO, (b) Eu0.2Pr0.8BCO, (c) Eu0.4Pr0.6BCO, (d) Eu0.6Pr0.4BCO, (e) Eu0.8Pr0.2BCO, and (f) PrBCO.
Comparable morphologies can be observed for all Eu1−xPrxBCO (Figure 1b–e), which are essentially different from the parent EuBCO and PrBCO. The latter compounds are characterized by distinct grains with sharp edges and sizes from 5 to 10 μm (for PrBCO even up to 15 μm).
In contrast, the (Eu,Pr)BCO crystallites are finer and show more rounded edges, and it could even be said that the local microstructures of (Eu,Pr)BCO are slightly glassy. The grain sizes rarely exceed 5 μm, and for Eu0.2Pr0.8BCO (Figure 1b), one can find the delicate crystallites that decorate the surfaces of larger ones. In turn, Eu0.4Pr0.6BCO (Figure 1c) has the most compact local microstructure of the other compounds.
Energy-dispersive X-ray spectroscopy was also employed to evaluate the contribution of individual elements (EDS mapping) in the (Eu,Pr)BCO system (Figure 2).
Figure 2.
(a) Local microstructure (SEM) of EuBCO with EDS elemental maps showing the distribution of (b) Ba; (c) Eu; (d) Cu; (e) their overlapping.
Note that the EDS technique is a local estimation method and does not provide the average information from a bulk sample. However, as shown in Figure 2b–d, uniformly distributed elements in local microstructures develop small inclusion aggregates (Figure 2e).
Taking into account the constituent atoms—barium (blue), europium (green), copper (red)—and the RGB color model, one can estimate the chemical composition of the colored clusters detected by the EDS mapping technique. Then, the magenta aggregates (Figure 2e) should be attributed to the BaCuO2 inclusions, the small greenish spots mark the Eu2BaCuO5 (Eu-211) parasitic phase, and red clusters understandably represent the residual CuO phase. Other (Eu,Pr)BCO exhibit similar behavior, meaning that all specimens possess small although detectable inclusions.
Mainly red inclusions are visible for (Eu,Pr)BCO, indicating the CuO phase (Figure 3c). After overlapping the maps of the individual elements, the blue precipitations were found (Figure 3f). The specimens mentioned above show neither europium nor praseodymium clusters. As seen in the EDS maps for Eu0.6Pr0.4BCO (Figure 3d,e), the Pr and Eu elements are homogeneously distributed. In order to estimate the stoichiometry on the macro scale, several regions of interest (ROIs) of 60 × 60 µm2 were discriminated for each specimen, and the EDS mapping results are averaged and listed in Table 1.
Figure 3.
(a) Local microstructure (SEM) of Eu0.6Pr0.4BCO with the corresponding EDS elemental maps showing the distribution of (b) Ba; (c) Cu; (d) Eu; (e) Pr; and (f) their overlapping.
Table 1.
Stoichiometry of Eu and Pr as derived from EDS for Eu1−xPrxBCO compounds. Presented results aggregate several randomly selected areas with dimensions of 60 × 60 µm2 (equivalent to the total area in Figure 2a).
During the synthesis of (Eu,Pr)BCO materials, the main concerns were maintaining the correct Pr/Eu ratio and the homogeneity of Pr and Eu. Indeed, EDS studies revealed that the Pr/Eu ratio is preserved in specimens. Moreover, relevant ROIs analysis completed on polished specimens (not shown here) with the assumed uncertainty level yielded the exact stoichiometry of EDS mapping.
3.2. X-ray Diffraction Analysis
According to structural refinement data (Table 2), the dominant phase in (Eu,Pr)BCO was indexed as the orthorhombic Pmmm space group. An exemplary diffraction pattern for Eu0.4Pr0.6BCO with Rietveld analysis is presented in Figure 4. The X-ray data refinement is of good quality with impurity phases less than 14 wt% of the sample. A similar level of impurities was detected for Eu0.2Pr0.8BCO, while for other composites, the total contribution of parasitic phases was below 5 wt%. A comparison of the collected X-ray patterns for (Eu,Pr)BCO is presented in Figure 5.
Table 2.
Weight fractions of isolated crystalline phases for (Eu,Pr)BCO as derived from Rietveld analysis.
Figure 4.
X-ray diffraction pattern of Eu0.4Pr0.6BCO. The isolated phases (Eu,Pr)BCO (Pmmm), BaCuO2, and CuO marked with bars are shown in descending order of their contributions.
Figure 5.
Comparison of the X-ray diffraction patterns for (Eu,Pr)BCO. The parasitic phases are marked with arrows.
As shown in Figure 5, the PrBCO diffraction pattern exhibits some shifts of the Bragg reflections toward the lower 2θ angles compared to other samples. Indeed, analysis of the lattice parameters a and b suggests that PrBCO is the most oxygen-deficient material due to a significantly reduced unit cell volume. As other (Eu,Pr)BCO materials reveal a regular rise in lattice parameters (Figure 6) due to the lanthanide contraction principle [34,35], it would be expected that substituting Pr for Eu should increase the Pmmm unit cell volume. This effect is directly observed, although only up to x ≤ 0.8.
Figure 6.
The lattice parameters of (Eu,Pr)BCO distilled at room temperature.
On the other hand, the oxygen impact on the Pmmm unit cell size is also known. In the orthorhombic phase, the parameters a and c decrease with increasing oxygen content [36]. Considering both effects, the rather monotonic growth in lattice parameters (Figure 6) indicates a similar oxygen content for all compounds except for PrBCO. Interestingly, the (Eu,Pr)BCO composition has almost no effect on the lattice parameter (c) to x ≤ 0.6, reflecting the high structural anisotropy of these compounds.
As the ionic and covalent radii of Pr3+ are greater than Eu3+, Eu0.4Pr0.6BCO should be expected to have smaller lattice parameters than PrBCO. However, the unit cell volume is smaller for the latter compound, which is attributed to the oxygen deficiency in PrBCO and/or a change in bonding nature from covalent to more ionic.
Thus, detailed structural considerations confirm the BaCuO2 and CuO inclusions, while the question of accurately estimating the oxygen in the samples remains. Low-temperature measurements were also carried out to investigate the lattice parameters under and above the superconductivity transition (Figure 7). The results for three selected samples x = 0.0, 0.6, and 1.0 reveal significant differences in the volume of unit cells depending on the Pr concentration. These relationships can be approximated by the Debye temperature formula [37]:
where V0 is the unit cell volume at 0 K, IC is a coefficient including the Grüneisen compressibility parameter, and θD is the Debye temperature.
Figure 7.
Unit cell volumes of selected (Eu,Pr)BCO as a function of temperature. The solid lines denote the Debye formula as described in the text. The inset shows the volumes of (Eu,Pr)BCO versus Pr content at 300 K.
In general, the unit cell volumes increase with temperature (Figure 7), as shown in Equation (1). However, above 180 K, the volumes depend almost linearly on the temperature, with IC being the slope. The estimated parameters of Equation (1) are listed in Table 3. The inset in Figure 7 is presenting the change in unit cell volume at ambient temperature as a function of Pr concentration. This dependence clearly shows that the unit cell volume of Eu0.4Pr0.6BCO is much larger than EuBCO or PrBCO.
Table 3.
Debye temperatures of individual (Eu,Pr)BCO.
A significant rise in Debye temperature as the molar mass of (Eu,Pr)BCO decreases (Table 3) is evidenced by data fitting with Equation (1) and is consistent with the elastic lattice model [38]. In the literature, θD for EuBCO was estimated between 300 and 400 K [39], around 300 K [40], or in the range of 280 ÷ 320 K [41]. On the other hand, for YBCO doped with Pr, the Debye temperature of 350 ÷ 370 K was recorded [42]. Therefore, estimation of the θD parameter in this work correlates with previously reported results.
One can conclude that Pr concentration does not affect the IC parameter, which indicates a similar nature of vibrations in the (Eu,Pr)BCO lattice. Thus, variation in the bondings, as mentioned previously, seems unlikely but still possible.
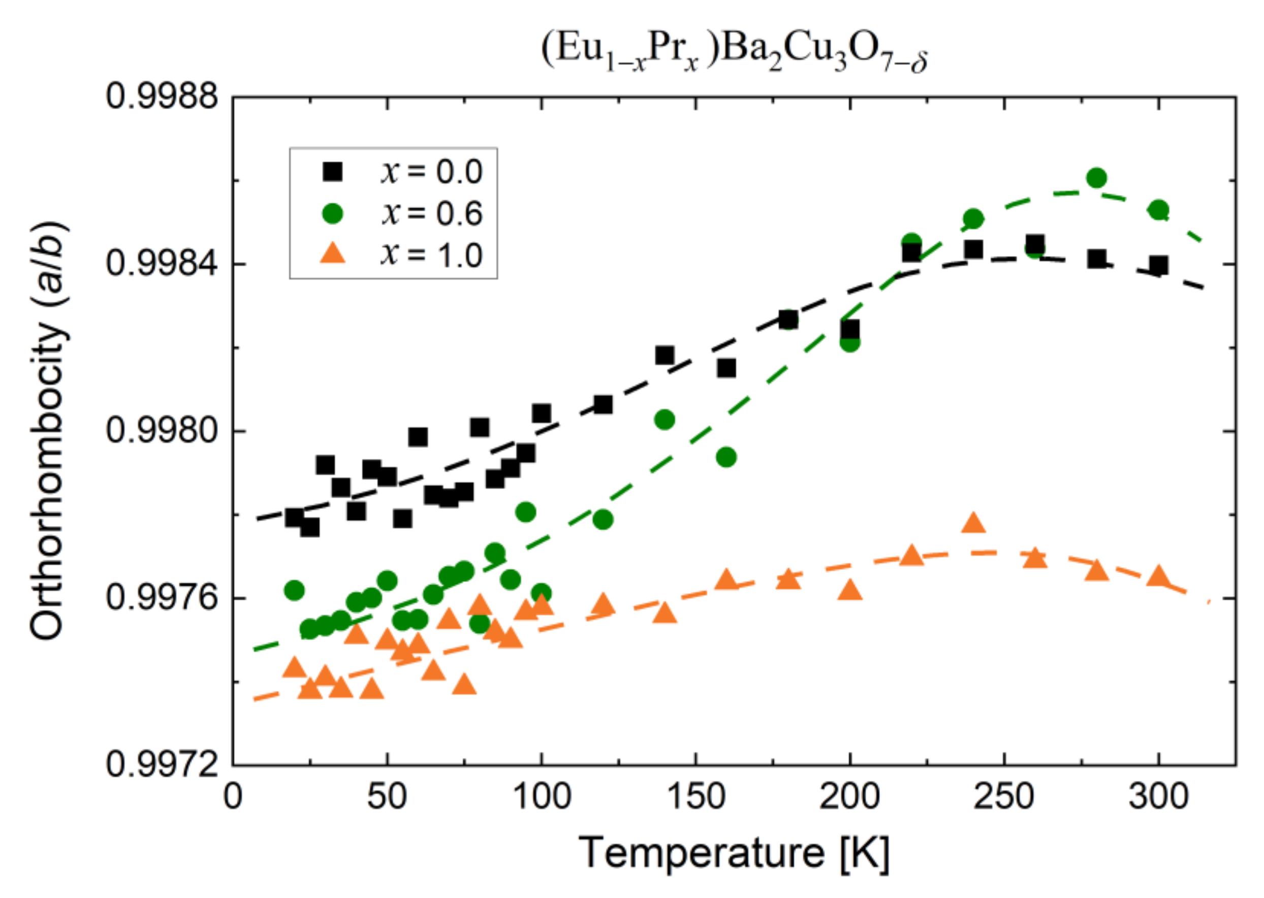
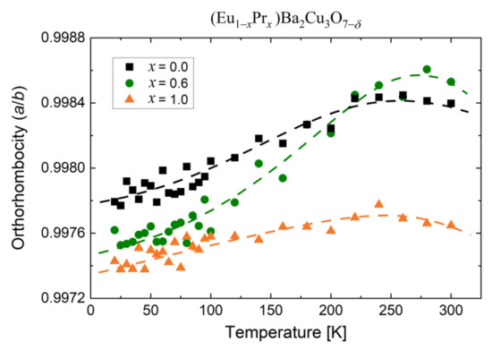
Moreover, a distinct difference in the a/b ratio was observed in the investigated temperature range (Figure 8), with no structural transitions evidenced. The a/b ratio (orthorhombicity) is a deformation measure in the basal Cu–O1−δ planes; i.e., the crystallographic planes with extra O atoms adopted to Pmmm structure during the air-assisted annealing process.
Figure 8.
The Pmmm unit cell deformation in the basal a/b plane versus temperature.
There is a clear tendency for the a/b ratio o increase with temperature; however, the magnitude of these changes is different. The rate of orthorhombicity change for PrBCO is slowest with temperature, while the a/b rate is slightly higher for EuBCO. The found difference indicates the high rigidity of the crystallographic structures for parent compounds. Nevertheless, the most interesting behavior is observed for Eu0.4Pr0.6BCO, consisting of significant growth in the a/b ratio. At low temperature, the orthorhombicity is closer to PrBCO, while above 200 K, the a/b ratio is even higher than for EuBCO. It suggests a relatively large susceptibility of the lattice constant (a) to temperature changes, in contrast to the lattice parameter (b).
3.3. Raman Spectroscopy
Two remarks on Raman-scattering spectroscopy for REBCO should be mentioned [43,44,45]. First, the more free charge carriers are in the material, the higher attenuation of the Raman signal is observed. Therefore, large bandgap insulators have more pronounced phonon modes in the spectrum as compared to metals.
Second, for HTS superconductors, there is a relatively high density of carriers in the material and high absorption of visible light by the sample. Therefore, extracting the sophisticated information from Raman spectra requires low laser power densities of the excitation beam, which unfortunately provides a poor signal-to-noise ratio in the Raman spectra; however, it avoids thermal effects and specimen degradation processes.
The standard YBCO spectrum composes of three separated regions of vibrational bands [46]. Low-frequency phonon modes at ~120 cm−1 and ~145 cm−1 are attributed to vibrations of Ba and Cu(2) atoms, respectively. The following two bands, O(2) – O(3) (out-of-phase) and O(2) + O(3) (in-phase) [47] located around 330 cm−1 and 440 cm−1, are directly related to the vibrations of oxygen atoms associated with conducting Cu(2)–O2 planes.
In turn, the O(4) oxygen band detected at 500 cm−1 is the most reliable indicator of the YBCO superconductivity, and its position is strongly correlated to the sample heat treatment. Furthermore, the location of this peak is related to an oxygen atom referring to partially occupied Cu–O1−δ planes of an insulating character, which are responsible for the oxygen deficiency in REBa2Cu3O7−δ materials. Most importantly, for oxygen-rich REBCO (δ ≤ 0.35) with a well-defined Pmmm orthorhombic symmetry, the O(4) phonon mode is meaningly shifted below 500 cm−1, while the position of the O(4) peak above 500 cm−1 is characteristic for the non-superconducting P4mm tetragonal structure [48]. Hence, the Raman spectra of (Eu,Pr)BCO clearly show the destructive nature of the PrBCO component (Figure 9).
Figure 9.
The Raman scattering vibrational spectra for (Eu,Pr)BCO as a function of Pr content. I* denotes the BaCuO2 inclusions (220 cm−1) and cation disorders (628 cm−1), possibly indicating the structural defects in Cu–O chains [51,52].
The most characteristic phonon mode at 500 cm−1 splits into two bands. The upper-frequency band O(4) shifts up to 530 cm−1, whereas the lower frequency band O(4) is shifted to 485 cm−1 with a smaller and monotonically disappearing intensity peak compared to the 530 cm−1 one. It is established that the Raman frequency of the O(4) peak decreases from 500 to 485 cm−1 when REBCO7−δ statistically loses about one oxygen atom (δ ≈ 1). Thus, one should expect a decrease in the oxygen stoichiometric index to a value for which (Eu,Pr)BCO7−δ is no longer superconductor. For parent EuBCO and PrBCO compounds, the critical oxygen indexes were reported to be 6.5 and 6.6, respectively [49,50].
3.4. X-ray Absorption Spectroscopy
X-ray absorption spectroscopy (XAS) is a proper in situ technique to analyze materials for the electronic structure, local bonding environments, or oxidation states. For example, Figure 10a shows the XAS spectra for the O K-edge (1s → 2p).
Figure 10.
XAS spectra for (Eu,Pr)BCO system: (a) O K-edge, (b) Cu L2,3-edges with Pr M4,5-edges, (c) Eu M4,5-edges, and (d) Ba M4,5-edges. The valence states of Eu, Pr, and Cu, as well as the Cu-O chain holes (CH), Zhang–Rice singlets (ZRS), and upper Hubbard band (UHB) states, are marked.
Considering that the 2p electron levels of oxygen are hybridized with the 3d Cu orbitals, data inspection provides crucial information on the electric charge doping of the Cu–O2 planes [53,54,55,56,57]. The XAS spectra (Figure 10a) are characterized by three significant contributions originating from the chain holes (CH) at 527.6 eV, the Zhang–Rice singlets (ZRS) of the hybridized Cu 3dx2−y2 and O 2pxy orbitals within Cu–O2 planes, as well as the upper Hubbard band (UHB) mainly related to the conduction band.
Furthermore, it is worth noting that the relative contributions of the ZRS and UHB states are related to the doping levels of the Cu–O2 planes [53,54,55,56]. In other words, the ratio of ZRS to UHB is a straightforward indicator of the superconducting properties of cuprates. Hence, the ZRS peak is dominant for the Pr content of x ≤ 0.4, while the UHB contribution is far more pronounced for x > 0.4.
Moreover, theory predicts a shift of the ZRS peak toward lower energies while moving the UHB component toward higher energies as material enters the superconducting regime [53]. The above effects were also evidenced experimentally in the Y1−xCaxBa2Cu3O7−δ system [56]. The CH and ZRS states must also be reflected in the Cu L-edge due to a screening effect of the so-called ligand hole (L) on the O 2p orbital. Since this kind of screening occurs for the square Cu–O2 planes and straight Cu–O chains, both CH and ZRS effects should contribute to the Cu 2p3d10L final state.
A partial overlapping with the Pr M4,5-edges complicates data analysis of the Cu L2,3-edges (Figure 10b). Nevertheless, the most relevant information can still be extracted. The final state with a hole on the ligand can be recognized as a shoulder near 933.2 eV. This anomaly is only visible for the EuBCO and Eu0.8Pr0.2BCO superconductors, which is consistent with the oxygen K-edge results.
In addition, the Pr M4,5-edges enable the estimation of the Pr valence state (Figure 10b). A simple distinction between 3+ and 4+ is due to the peak at 946.5 eV, indicating a trivalent Pr3+ ion in the (Eu,Pr)BCO series.
In turn, the Eu M4,5-edges lose intensity in the XAS spectrum with the Pr content (Figure 10c). The Eu/Pr substitution effect is that all spectral lines are slightly shifted toward the higher energies, and similar to Pr, the Eu ion is trivalent.
On the other hand, the Ba M4,5-edges do not show any disturbances as a function of Pr content (Figure 10d), which means no significant changes occur in the Ba sublattice. Furthermore, only a tiny pre-peak at 781.4 eV, which corresponds to the forbidden 3P1 transition, indicates a small hybridization of the Ba 6s6p states with Cu 3d electrons.
Since the half-width at full maximum (HWFM) of the Ba M5 peaks are the same within the uncertainty levels, one may conclude that atomic mixing between the Eu/Ba and Pr/Ba sites is similar. Therefore, these results suggest that atomic disorder is not the main reason for superconductivity suppression in (Eu,Pr)BCO compounds.
3.5. Magnetization Measurements
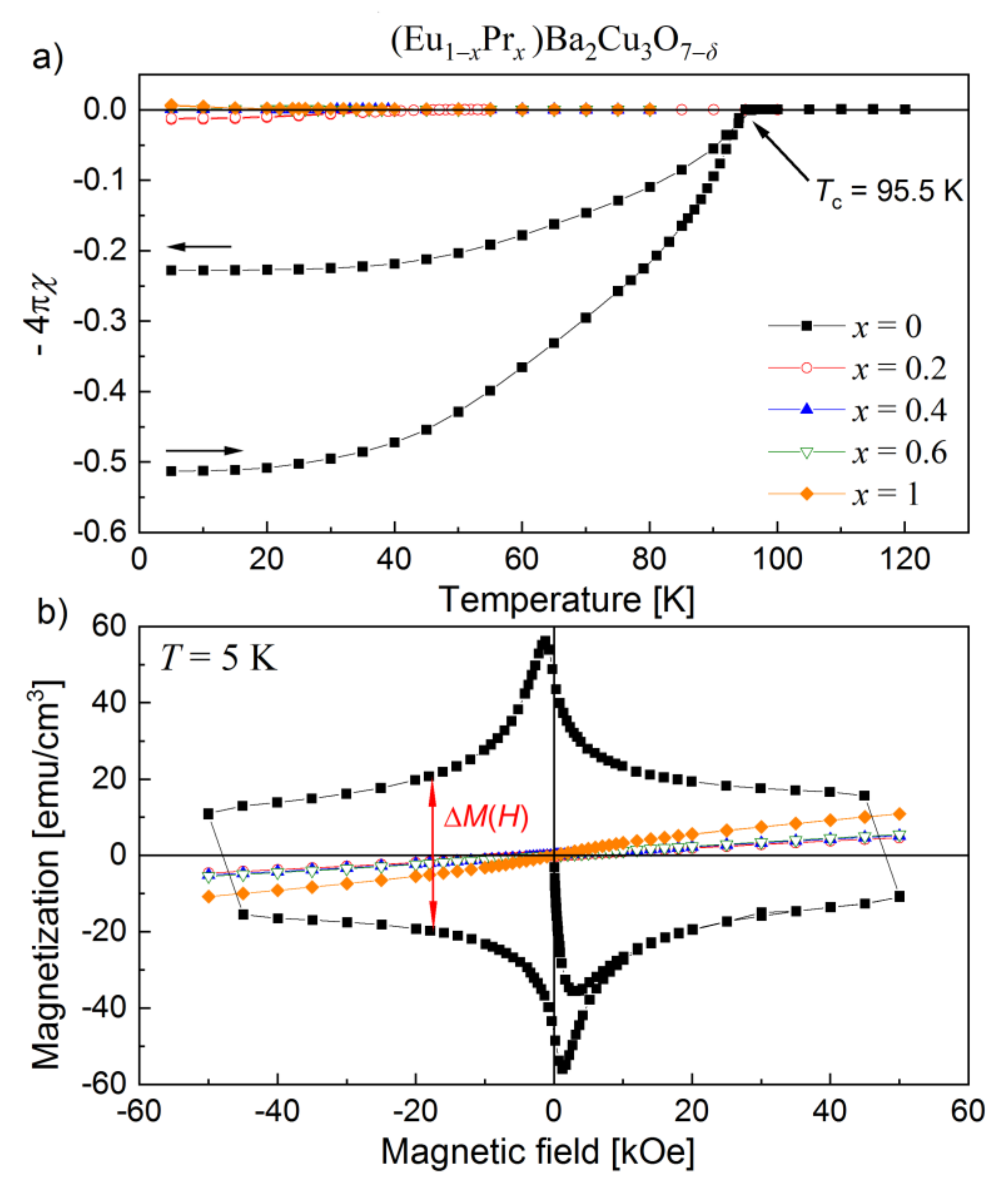
The magnetic susceptibility curves of (Eu,Pr)BCO are shown in Figure 11a, and the hysteresis loops recorded at 5 K are presented in Figure 11b.
Figure 11.
Magnetic curves for (Eu,Pr)BCO system: (a) DC magnetic susceptibilities, (b) hysteresis loops recorded at 5 K.
EuBCO transition from the normal state to superconductivity is seen at 95.5 K (Figure 11a). By analyzing the magnetization data as −4π·χ(T), one can see how drastically the Pr atoms incorporated into the (Eu,Pr)BCO system reduce the Meissner effect. For Eu0.8Pr0.2BCO, the critical temperature (Tc) is lowered twice to 45 K.
In addition, the complete disappearance of thermal hysteresis of the M(T) curves (Figure 11a) suggests a strong suppression of the superconducting properties induced by praseodymium. A related effect is also seen in Figure 11b, where there is a broad hysteresis loop for EuBCO, which is characteristic of superconductors. At the same time, for (Eu,Pr)BCO compounds, almost the straight M(H) lines typical for paramagnetic or antiferromagnetic materials are detected.
For x ≥ 0.4, the superconducting state is completely lost (positive χ in Figure 11a), which is not surprising, since many (RE,Pr)BCO compounds exhibit a Pr-induced suppression of the superconductivity [58,59,60,61,62,63,64,65,66,67,68,69,70,71].
Using the Bean critical-state model [72,73,74], it is possible to estimate the superconducting critical current density (Jc) of (Eu,Pr)BCO according to the formula:
where a and b are the sample dimensions perpendicular to the applied magnetic field, and ΔM is a difference in magnetizations M↓–M↑ when sweeping the H field down and up, respectively.
As mentioned above, estimating the critical current density only becomes meaningful for EuBCO and Eu0.8Pr0.2BCO. A significant Jc attenuation from two to three orders of magnitude for Eu0.8Pr0.2BCO is shown in Figure 12. There is also a slight loss of Jc along the internal magnetic field, confirming its destructive nature for the superconducting state.
Figure 12.
Critical current densities for EuBCO and Eu0.8Pr0.2BCO as a function of the magnetic field.
3.6. Oxygen Index
The collected results consistently describe the properties of (Eu,Pr)BCO except for Eu0.6Pr0.4BCO, where the structural and spectroscopic measurements concerning magnetic studies exhibit some discrepancies. Furthermore, the Eu0.6Pr0.4BCO material is controversial as to the nature of conductivity, as not all investigation methods indicate its superconductivity state. Therefore, it was decided to resolve this uncertainty by determining the oxygen index by the iodometric titration method.
The results are presented in Figure 13, where the gradual loss of oxygen in the Pmmm structure is visible. This phenomenon slowly progresses up to Eu0.6Pr0.4BCO; then, a rapid decrease in the oxygen content (Δn = 0.24) is observed. The same rule applies to a further increase in the Pr content. The Eu0.4Pr0.6BCO and Eu0.2Pr0.8BCO samples show a similar O concentration, while PrBCO exhibits a further oxygen loss of Δn = 0.38.
Figure 13.
Schematic diagram of the conductivity regions for (Eu,Pr)BCO as a function of Pr content and c-axis value of Pmmm orthorhombic unit cell (inset).
The above observations allowed the discrimination of three areas of different conductivity types. First, the most oxygenated samples up to x = 0.4 are characterized by the superconductivity state at low temperatures.
Second, samples with a higher Pr content lose their superconducting properties at a macro scale, passing into the ohmic conduction mechanism. However, this behavior does not exclude a mixed (vortex) state with small intragranular superconductivity and dominant ohmic conductivity. In contrast, PrBCO does not possess any superconducting properties at all.
Similar conclusions can be drawn from the dependence of the c lattice parameter on the oxygen index 7–δ (inset in Figure 13). Considering a strong negative correlation due to relation 7–δ = 263.45–22.04·c, the higher Pr content elongates the size of the unit cell in the [001] direction, which makes the Pmmm structure easier to adopt oxygen atoms in the Cu–O2 planes (reduction of holes) than in the metallic Cu–O1−δ layers responsible for the superconductivity state of the REBCO materials.
4. Summary
A solid-state reaction method was proven to be an effective procedure for synthesizing the (Eu,Pr)BCO materials. The sinters are characterized by dense, compact microstructures with slight inclusions of BaCuO2 and CuO.
According to XRD data, the orthorhombic Pmmm structure was the dominant phase for all (Eu,Pr)BCO. Furthermore, low-temperature XRD studies evidenced that phononic properties depend on the molar mass of Eu and Pr (strong dependence of the Debye temperature), while the actual lattice volume is a secondary factor.
For conventional superconductors, a linear electron–phonon coupling is the foundation of the BCS theory [75]. In this formalism, Debye temperature (θD) growth means enhancing the electron–phonon coupling parameter (λ) due to the increase of phononic frequencies, which is reflected in the so-called isotopic effect.
However, for HTS materials, the role of electron–phonon interaction is not straightforward. Commonly, no isotopic effect is observed, which is often incorrectly attributed to a lack of electron–phonon coupling. In fact, the electron–phonon coupling in cuprates is much stronger and nonlinear than in conventional superconductors [76]. Therefore, for HTS materials, the electronic structure and lattice dynamics are crucial for discussing superconductivity suppression.
For cuprates, acoustic and optical phonons related to Cu–O bonds in- and out-of-plane are essential to establish the electron–phonon coupling [75,76]. Moreover, the acoustic phonons energies are enhanced for PrBCO compared to EuBCO, as evidenced by the rising Debye temperature. For this reason, it should be concluded that the electronic properties of (Eu,Pr)BCO and optical phonons are mainly responsible for HTS state suppression.
Indeed, XAS and Raman spectroscopies clearly showed a gradual deterioration of HTS state with Pr content driven by hole depletion of the Cu–O2 planes. The stretching mode Cu(1)–O(4) along the c-axis (500 cm−1) is known to be sensitive to oxygen content, and the lower oxygen concentration in the superconducting phase is expected to redshift this peak. However, the increase of praseodymium in the (Eu,Pr)BCO system splits a 500 cm−1 band into two lines, which is characteristic for the superconductivity state (485 cm−1) and ohmic conductivity (530 cm−1). This behavior reliably describes the gradual disappearance of the HTS state by suppressing the intragranular scale superconductivity for x > 0.4 due to insufficient oxygen factor.
On the other hand, XAS showed that for x > 0.4, the Cu 2p3d10L final state indicating high mobility of holes in the Cu–O2 planes is absent. Therefore, the depletion of the carriers and their localization is a leading mechanism of HTS loss in Eu1−xPrxBCO. The above discussion is summarized in the form of a schematic diagram presented in Figure 13.
Author Contributions
Conceptualization, P.P.; methodology, P.P.; validation, P.P.; formal analysis, P.P.; investigation, P.P., C.J., J.P., E.D. and Ł.G.; resources, P.P.; writing—original draft preparation, P.P.; writing—review and editing, P.P., P.Z., C.J., J.P., E.D. and Ł.G.; visualization, P.P., P.Z., E.D. and Ł.G.; supervision, P.P. and Ł.G.; project administration, P.P. All authors have read and agreed to the published version of the manuscript.
Funding
This research received no external funding.
Institutional Review Board Statement
Not applicable.
Informed Consent Statement
Not applicable.
Data Availability Statement
The data presented in this study are available on request from the corresponding author.
Acknowledgments
The authors would like to express their deepest gratitude to the PEEM/XAS end-line operators at the SOLARIS National Synchrotron Radiation Center in Kraków (Poland), Marcin Zając and Joanna Stępień, as well as Agata Kamińska from Cardinal Stefan Wyszyński University and Marcin Kowalik from AGH University of Science and Technology for their help during the experiment. The authors are also grateful to Magdalena Parlińska-Wojtan from the Institute of Nuclear Physics PAS for SEM/EDS analysis. Furthermore, the Laboratory for Structural and Biochemical Research of the University of Warsaw has supported the iodometric titration method. Finally, the authors would like to thank Andrzej Veitia from PsiQuantum, Palo Alto, CA, USA, for reading and re-vising this manuscript.
Conflicts of Interest
The authors declare no conflict of interest. The funders had no role in the research design, data collection, analyses, interpretation, writing the manuscript, or publishing the results.
References
- Bednorz, J.G.; Müller, K.A. Possible high Tc superconductivity in the Ba–La–Cu–O system. Z. Phys. B 1986, 64, 189–193. [Google Scholar] [CrossRef]
- Chu, C.W.; Hor, P.H.; Meng, R.L.; Gao, I.; Huang, Z.J.; Wang, Y.Q. Evidence for superconductivity above 40 K in the La–Ba–Cu–O compound system. Phys. Rev. Lett. 1987, 58, 405–407. [Google Scholar] [CrossRef] [PubMed] [Green Version]
- Wu, M.K.; Ashburn, J.R.; Torng, C.J.; Hor, P.H.; Meng, R.L.; Gao, L.; Huang, Z.J.; Wang, Y.Q.; Chu, C.W. Superconductivity at 93 K in a new mixed-phase Y–Ba–Cu–O compound system at ambient pressure. Phys. Rev. Lett. 1987, 58, 908–910. [Google Scholar] [CrossRef] [PubMed] [Green Version]
- Maple, M.B.; Dalichaouch, Y.; Ferreira, J.M.; Hake, R.R.; Lee, B.W.; Neumeier, J.J.; Torikachvili, M.S.; Yang, K.N.; Zhou, H.; Guertin, R.P.; et al. RBa2Cu3O7−δ (R = rare earth) high-Tc magnetic superconductors. Phys. B C 1987, 148, 155–162. [Google Scholar] [CrossRef]
- Yang, H.C.; Hsieh, M.H.; Sung, H.H.; Chen, C.H.; Horng, H.E.; Kan, Y.S.; Chen, H.C.; Jao, J.C. High-temperature resistivity of RBa2Cu3O7−x, where R = La, Pr, Nd, Sm, Eu, Dy, Ho, Er and Tm. Phys. Rev. B 1989, 39, 9203–9208. [Google Scholar] [CrossRef]
- Jin, S.J.; Fastnacht, R.A.; Tiefel, T.H.; Sherwood, R.C. Transport critical current in rare-earth-substituted superconductors RBa2Cu3O7−δ (R = Gd, Dy, Sm, Ho, Y). Phys. Rev. B 1988, 37, 5828–5830. [Google Scholar] [CrossRef]
- Kumar-Naik, S.P.; Bai, V.S. The effect of resolidification on preform optimized infiltration growth processed (Y, Nd, Sm, Gd) B.C.O., multi-grain bulk superconductor. Cryogenics 2017, 81, 47–53. [Google Scholar] [CrossRef]
- Pęczkowski, P.; Kowalik, M.; Zachariasz, P.; Jastrzębski, C.; Jaegermann, Z.; Szterner, P.; Woch, W.M.; Szczytko, J. Synthesis and physicochemical properties of Nd-, Sm-, Eu-based cuprate high-temperature superconductors. Phys. Stat. Soli. A 2018, 215, 170088. [Google Scholar] [CrossRef]
- Pęczkowski, P.; Szterner, P.; Jaegermann, Z.; Kowalik, M.; Zalecki, R.; Woch, W.M. Effect of forming pressure on physicochemical properties of YBCO ceramics. J. Supercond. Nov. Magn. 2018, 31, 2719–2732. [Google Scholar] [CrossRef] [Green Version]
- Engler, E.M.; Lee, Y.Y.; Nazzal, A.I.; Beyers, R.B.; Lim, G.; Grant, P.M.; Parkin, S.S.P.; Ramirez, M.L.; Vazquez, J.E.; Savoy, R.J. Superconductivity above liquid nitrogen temperature: Preparation and properties of a family of perovskite-based superconductors. J. Am. Chem. Soc. Commun. 1987, 109, 2848–2849. [Google Scholar] [CrossRef]
- Hor, P.H.; Meng, R.L.; Wang, Y.Q.; Gao, L.; Huang, Z.L.; Bechtold, J.; Forster, K.; Chu, C.W. Superconductivity above 90 K in the square-planar compound system ABa2Cu3O6+x with A = Y, La, Nd, Sm, Eu, Gd, Ho, Er and Lu. Phys. Rev. Lett. 1987, 58, 1891–1894. [Google Scholar] [CrossRef]
- Chu, C.W. Dimensionality of high temperature superconductivity in oxides. In Physics of Low-Dimensional System, Proceedings of Nobel Symposium 73; Lundqvist, S., Nilsson, N.R., Eds.; Co-Published with World Scientific: Gräftåvallen, Sweden, 1989; pp. 11–18. [Google Scholar]
- López-Morales, M.E.; Ríos-Jara, D.; Tagüeña, J.; Escudero, R.; La Placa, S.; Bezinge, A.; Lee, V.Y.; Engler, E.M.; Grant, P.M. Role of oxygen in PrBa2Cu3O7−y: Effect on structural and physical properties. Phys. Rev. B 1990, 41, 6655–6667. [Google Scholar] [CrossRef]
- López-Morales, M.E.; Ríos-Jara, D.; Tagüeña-Martinez, J.; Escudero, R.; Gomez-Lara, J. On the crystallographic structure and electronic behaviour of Pr1Ba2Cu3Oy. Phys. C 1988, 153–155, 942–943. [Google Scholar] [CrossRef]
- Blackstead, H.A.; Dow, J.D. Implications of superconductivity of PrBa2Cu3O7. Sol. Stat. Commun. 2000, 115, 137–140. [Google Scholar] [CrossRef]
- Blackstead, H.A.; Chrisey, D.B.; Dow, J.D.; Horwitz, J.S.; Klunzinger, A.E.; Pulling, D.B. Superconductivity in PrBa2Cu3O7. Phys. Lett. A 1995, 207, 109–112. [Google Scholar] [CrossRef]
- Usagawa, T.; Ishimaru, Y.; Wen, J.; Utagawa, T.; Koyama, S.; Enomoto, Y. Superconductivity in (110) PrBa2Cu3O7−δ thin films pseudomorphically grown on (110) YBa2Cu3O7−δ single crystal substrates. Jap. J. App. Phys. 1997, 36, L1583. [Google Scholar] [CrossRef]
- Łuszczek, M.; Sadowski, W. Surface morphology of PrBa2Cu3O7−δ single crystals after the long-lasting high-temperature reduction. Open Phys. 2003, 1, 626–633. [Google Scholar] [CrossRef]
- Łuszczek, M.; Sadowski, W.; Klimczuk, T.; Olchowik, J.; Susla, B.; Czajka, B. Superconductivity in PrBa2Cu3O7 single crystals after high-temperature thermal treatment. Phys. C 1999, 322, 57–64. [Google Scholar] [CrossRef]
- Zou, Z.; Oka, K.; Ito, T.; Nishihara, N. Bulk superconductivity in single crystals of PrBa2Cu3Ox. Jap. J. App. Phys. 1997, 36, L18–L20. [Google Scholar] [CrossRef]
- Hults, W.L.; Cooley, J.C.; Peterson, E.J.; Smith, J.L.; Blackstead, H.A.; Dow, J.D. PrBa2Cu3Ox polycrystalline superconductor preparation. Int. J. Mod. Phys. B 1998, 12, 3278–3283. [Google Scholar] [CrossRef]
- Barros, F.M.; Pureur, P.; Schaf, J.; Fabris, F.W.; Vieira, V.N.; Jurelo, A.R.; Cantao, M.P. Unconventional superconducting granularity of the Y1−xPrxBa2Cu3O7−δ compound. Phys. Rev. B 2006, 73, 094515. [Google Scholar] [CrossRef]
- Soderholm, L.; Zhang, K.; Hinks, D.G.; Beno, M.A.; Jorgensen, J.D.; Segre, C.U.; Schuller, I.K. Incorporation of Pr in YBa2Cu3O7−δ: Electronic effects on superconductivity. Nature 1987, 328, 604–605. [Google Scholar] [CrossRef]
- Jee, C.-S.; Kebede, A.; Nichols, D.; Crow, J.E.; Mihalisisin, T.; Myer, G.H.; Perez, I.; Salomon, R.E.; Schlottmann, P. Depression of superconductivity, heavy fermion behavior and valence fluctuations in Y1−xPrxBa2Cu3O7. Soli. Stat. Comm. 1989, 69, 379–384. [Google Scholar] [CrossRef]
- Das, I.; Sampathkumaran, E.V.; Vijayaraghavan, R. Magnetic and superconducting behavior of the oxides, Pr1−xGdxBa2Cu3Oy. Phys. C Supercond. 1991, 173, 331–336. [Google Scholar] [CrossRef]
- Pęczkowski, P.; Zachariasz, P.; Kowalik, M.; Zalecki, R.; Jastrzębski, C. Characterization of the superconductor-multiferroic type materials based on YBa2Cu3O7−δ–YMnO3 composites. Ceram. Internat. 2019, 45, 18189–18204. [Google Scholar] [CrossRef]
- Kramer, M.J.; Yoo, S.I.; McCallum, R.W.; Yelon, W.B.; Xie, H.; Allenspach, P. Hole filling charge transfer and superconductivity in Nd1+xBa2−xCu3O7+δ. Phys. C 1994, 219, 145–155. [Google Scholar] [CrossRef]
- Łatka, K. Investigation of the praseodymium role in superconductivity of (Eu1−xPrx)Ba2Cu3O7−δ and related compounds. Phys. C Supercond. 1990, 171, 287–292. [Google Scholar] [CrossRef]
- Nieva, G.; Ghamaty, G.; Lee, B.W.; Maple, M.B.; Schuller, I.K. Superconductivity and magnetism in Eu1−xPrxBa2Cu3O7−δ. Phys. Rev. B 1991, 44, 6999–7007. [Google Scholar] [CrossRef]
- Alagöz, S. production of YBCO superconductor sample by powder-in-tube method (PITM); and effect of Cd and Ga doping on the system. Turkish J. Phys. 2009, 33, 69–80. [Google Scholar]
- Rietveld, H.M. Line profiles of neutron powder-diffraction peaks for structure refinement. Acta Crystallogr. 1967, 22, 151–152. [Google Scholar] [CrossRef]
- Rodriguez-Carvajal, J. Recent advances in magnetic structure determination by neutron powder diffraction. Phys. B 1993, 192, 55–69. [Google Scholar] [CrossRef]
- Karppinen, M.; Niinistö, L. Determination of the oxygen content in the superconducting YBa2Cu3O7−δ phase. Supercond. Sci. Tech. 1991, 4, 334–336. [Google Scholar] [CrossRef]
- Seitz, M.; Oliver, A.G.; Raymond, K.N. The lanthanide contraction revisited. J. Am. Chem. Soc. 2007, 129, 11153–11160. [Google Scholar] [CrossRef] [Green Version]
- Quadrelli, E.A. Lanthanide contraction over the 4f series follows a quadratic decay. Inorg. Chem. 2002, 41, 167–169. [Google Scholar] [CrossRef]
- Benzi, P.; Bottizzo, E.; Rizzi, N. Oxygen determination from cell dimensions in YBCO superconductors. J. Cryst. Growth 2004, 269, 625–629. [Google Scholar] [CrossRef]
- Sayetat, F.; Fertey, P.; Kessler, M. An easy method for the determination of Debye temperature from thermal expansion analyses. J. App. Crystallogr. 1998, 31, 121–127. [Google Scholar] [CrossRef]
- Prasher, R.; Tong, T.; Majumdar, A. An acoustic and dimensional mismatch model for thermal boundary conductance between a vertical mesoscopic nanowire/nanotube and a bulk substrate. J. App. Phys. 2007, 102, 104312. [Google Scholar] [CrossRef]
- Capaccioli, M.; Cianchi, L.; Giallo, F.D.; Oieralli, F.; Spina, G. Low-temperature vibrational anharmonicity of 151Eu in EuBa2Cu3O7−δ. J. Phys. Condens. Matter 1995, 7, 2429–2438. [Google Scholar] [CrossRef]
- Wortmann, G.; Blumenröder, S.; Freimuth, A.; Riegel, D. 151Eu-Mössbauer study of the high-Tc superconductor EuBa2Cu3O7−x. Phys. Lett. A 1988, 126, 434–438. [Google Scholar] [CrossRef]
- Graczyk, P.; Krawczyk, M.; Dhuey, S.; Yang, W.-G.; Schmidt, H.; Gubbiotti, G. Magnonic band gap and mode hybridization in continuous permalloy films induced by vertical dynamic coupling with an array of permalloy ellipses. Phys. Rev. B 2018, 98, 174420. [Google Scholar] [CrossRef] [Green Version]
- Khadzhai, G.Y.; Vovk, N.R.; Vovk, R.V. Conductivity of single-crystal Y1−yPryBa2Cu3O7−δ over a wide range of temperatures and Pr concentrations. Low Temp. Phys. 2014, 40, 488–491. [Google Scholar] [CrossRef]
- Galinetto, P.; Malavasi, L.; Flor, G. Structural investigation of high-Tc superconductor EuBa2Cu3Oy by microRaman spectroscopy. Soli. Stat. Commun. 2001, 119, 33–38. [Google Scholar] [CrossRef]
- Georgieva, S.; Stoyanova-Ivanova, A.; Abrashev, M. Estimation of the oxygen content of RBa2Cu3Oy (R = Er, Y, Eu, Dy) superconducting samples by spectrophotometry and Raman spectroscopy: A comparison between chemical and physical methods for oxygen determination. Mediterr. J. Phys. 2016, 1, 16–21. [Google Scholar]
- Tavana, A.; Khosroabadi, H.; Akhavan, M. Phonon frequency calculations of GdBCO and PrBCO. Phys. Stat. Soli. C 2006, 3, 3162–3165. [Google Scholar] [CrossRef]
- Maroni, V.A.; Reeves, J.L.; Schwab, G. On-line characterization of YBCO coated conductors using Raman spectroscopy methods. App. Spect. 2007, 61, 359–366. [Google Scholar] [CrossRef]
- Wang, S.-S.; Li, F.; Wu, H.; Zhang, Y.; Muhammad, S.; Zhao, P.; Le, X.-Y.; Xiao, Z.-S.; Jiang, L.-X.; Ou, X.-D.; et al. Low-energy (40 keV) proton irradiation of YBa2Cu3O7−x thin films: Micro-Raman characterization and electrical transport properties. Chin. Phys. B 2019, 28, 027401. [Google Scholar] [CrossRef]
- Ambrosch-Draxl, C.; Auer, H.; Kouba, R.; Sherman, E.Y. Raman scattering in YBa2Cu3O7: A comprehensive theoretical study in comparison with experiments. Phys. Rev. B 2002, 65, 064501. [Google Scholar] [CrossRef] [Green Version]
- Przybylo, W.; Fitzner, K. The oxygen stoichiometry of the EuBa2Cu3O7−x phase investigated by thermogravimetry. Mat. Res. Bull. 1995, 30, 1413–1419. [Google Scholar] [CrossRef]
- Radousky, H.B. A review of the superconducting and normal state properties of Y1−xPrxBa2Cu3O7. J. Mater. Res. 1992, 7, 1917–1955. [Google Scholar] [CrossRef]
- Martinho, H.; Martin, A.A.; Rettori, C.; Lin, C.T. Origin of the A1g and B1g electronic Raman scattering peaks in the superconducting state of YBa2Cu3O7. Phys. Rev. B 2004, 69, 180501. [Google Scholar] [CrossRef] [Green Version]
- Gibson, G.; Cohen, L.F.; Humphreys, R.G.; MacManus-Driscoll, J. A Raman measurement of cation disorder in YBa2Cu3O7−x thin films. Phys. C Superconduc. 2000, 333, 139–145. [Google Scholar] [CrossRef]
- Chen, C.-C.; Sentef, M.; Kung, Y.F.; Jia, C.J.; Thomale, R.; Moritz, B.; Kampf, A.P.; Devereaux, T.P. Doping evolution of the oxygen K-edge X-ray absorption spectra of cuprate superconductors using a three-orbital Hubbard model. Phys. Rev. B 2013, 87, 165144. [Google Scholar] [CrossRef] [Green Version]
- Zhang, F.C.; Rice, T.M. Effective Hamiltonian for the superconducting Cu oxides. Phys. Rev. B 1988, 37, 3759–3761. [Google Scholar] [CrossRef] [Green Version]
- Chen, C.T.; Sette, F.; Ma, Y.; Hybertsen, M.S.; Stechel, E.B.; Foulkes, W.M.C.; Schulter, M.; Cheong, S.-W.; Cooper, A.S.; Rupp, L.W., Jr.; et al. Electronic states in La2−xSrxCuO4+δ probed by soft-X-ray absorption. Phys. Rev. Lett. 1991, 66, 104–107. [Google Scholar] [CrossRef]
- Chen, Y.-J.; Jiang, M.G.; Luo, C.W.; Lin, J.-Y.; Wu, K.H.; Lee, J.M.; Chen, J.M.; Kuo, Y.K.; Juang, J.Y.; Mou, C.-Y. Doping evolution of Zhang-Rice singlet spectral weight: A comprehensive examination by X-ray absorption spectroscopy. Phys. Rev. B 2013, 88, 134525. [Google Scholar] [CrossRef] [Green Version]
- Salluzzo, M.; Ghiringhelli, G.; Brookes, N.B.; De Luca, G.M.; Fracassi, F.; Vaglio, R. Superconducting-insulator transition driven by out-of-plane carrier localization in Nd1.2Ba1.8Cu3O7+x ultrathin films. Phys. Rev. B 2007, 75, 054519. [Google Scholar] [CrossRef]
- Zhuo, Y.; Choi, J.-H.; Kim, M.-S.; Park, J.-N.; Bae, M.-K.; Lee, S.-I. Effects of Pr ion on the superconducting properties in Y1−xPrxBa2Cu3O7−δ single crystals. Phys. Rev. B 1997, 56, 8381–8385. [Google Scholar] [CrossRef]
- Doyle, B.N.; Shah, S.N. Study of PrxY1−xBa2Cu3O7−δ high Tc superconductors. Indian J. Pur. App. Phys. 2005, 43, 279–286. [Google Scholar]
- Palles, D.; Lampakis, D.; Siranidi, E.; Liarokapis, E.; Gantis, A.; Calamiotou, M. Texture, strains, and superconductivity in Y1−xPrxBa2Cu3O7−δ. Phys. C 2007, 460–462, 922–924. [Google Scholar] [CrossRef]
- Yu, J.; Zhao, Y.; Zhang, H. Dramatic increase of paramagnetism before superconductivity quenches in Y1−xPrxBa2Cu3O7−δ. Phys. C 2008, 468, 1198–1201. [Google Scholar] [CrossRef]
- Lin, J.G.; Xue, Y.Y.; Chu, C.W.; Cao, X.W.; Ho, J.C. Pressure effect on the superconducting transition temperature of Dy1−xPrxBa2Cu3O7−δ. J. App. Phys. 1993, 73, 5871–5873. [Google Scholar] [CrossRef]
- Khosroabadi, H.; Daadmehr, V.; Akhavan, M. Magnetic transport properties and Hall effect in Gd1−xPrxBa2Cu3O7−δ system. Phys. C 2003, 384, 169–177. [Google Scholar] [CrossRef]
- Awana, V.P.S.; Dou, S.X.; Singh, R.; Narlikar, A.V.; Malik, S.K.; Yelon, W.B. Magnetic and superconducting properties of Pr in La1−xPrxBaCaCu3O7 system with 0.0 ≤ x ≤ 1.0. J. App. Phys. 1998, 83, 7315–7317. [Google Scholar] [CrossRef] [Green Version]
- Murugesan, M.; Ishigaki, T.; Kuwano, H.; Chen, M.; Liu, R.S.; Nachimuthu, P. Enhancement of critical Pr ion concentration (Xcr) in (La1−xPrx)Ba2Cu3Oz. J. App. Phys. 1999, 86, 6985–6992. [Google Scholar] [CrossRef] [Green Version]
- Luo, H.M.; Ding, S.Y.; Wu, X.S. Coexistence of superconductivity and antiferromagnetism in the La1−xPrxBa2Cu3O7 system. J. App. Phys. 2001, 89, 7663–7665. [Google Scholar] [CrossRef]
- Zhang, C.; Zhang, Y. Crystallographic evolution and superconductivity in the La1.85−xPrxSr0.15CuO4 system (0 ≤ x ≤ 1.85). J. Phys. Cond. Matt. 2002, 14, 7383–7389. [Google Scholar] [CrossRef]
- Cao, X.W.; Tang, Y.J.; Ho, J.C. Superconducting Tc and normal-state resistivity in Nd1−xPrxBa2Cu3O7−δ system. Phys. C 1996, 259, 361–364. [Google Scholar] [CrossRef]
- Awana, V.P.S.; Cardoso, C.A.; de Lima, O.F.; Singh, R.; Narlikar, A.V.; Yelon, W.B.; Malik, S.K. Suppression of superconductivity with Pr substitution in Nd1−xPrxBaCaCu3O7 system. Phys. C 1999, 316, 113–118. [Google Scholar] [CrossRef]
- Tomkowicz, Z. Trapping mechanism of superconductivity suppression induced by Pr substitution in the Ho1−xPrxBa2Cu3O7−δ system. Phys. C 1999, 320, 173–182. [Google Scholar] [CrossRef]
- Tomkowicz, Z.; Bałanda, M.; Zaleski, A.J. AC and DC magnetic studies of critical currents in ceramics of the Ho1−xPrxBa2Cu3O7−δ system. Phys. C 2002, 370, 259–268. [Google Scholar] [CrossRef]
- Gyorgy, E.M.; van Dover, R.B.; Jackson, K.A.; Schneemeyer, L.F.; Waszczak, J.V. Anisotropic critical currents in Ba2YCu3O7 analyzed using an extended Bean model. Appl. Phys. Lett. 1989, 55, 283–285. [Google Scholar] [CrossRef]
- Bean, C.P. Magnetization of hard superconductors. Phys. Rev. Lett. 1962, 8, 250–253. [Google Scholar] [CrossRef]
- Bean, C.P. Magnetization of high-field superconductors. Rev. Mod. Phys. 1964, 36, 31–39. [Google Scholar] [CrossRef]
- Mourachkine, A. High-Temperature Superconductivity in Cuprates; The Nonlinear Mechanism and Tunneling Measurements; Springer: Dordrecht, The Netherlands, 2002. [Google Scholar]
- Kulić, M.L. Interplay of electron-phonon interaction and strong correlations: The possible way to high-temperature superconductivity. Phys. Rep. 2000, 338, 1–264. [Google Scholar] [CrossRef]
Publisher’s Note: MDPI stays neutral with regard to jurisdictional claims in published maps and institutional affiliations. |
© 2021 by the authors. Licensee MDPI, Basel, Switzerland. This article is an open access article distributed under the terms and conditions of the Creative Commons Attribution (CC BY) license (https://creativecommons.org/licenses/by/4.0/).












