Synthesis and Physicochemical Characterization of Novel Dicyclopropyl-Thiazole Compounds as Nontoxic and Promising Antifungals
Abstract
1. Introduction
2. Materials and Methods
2.1. Chemistry
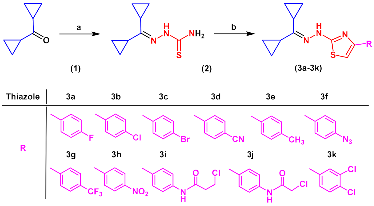
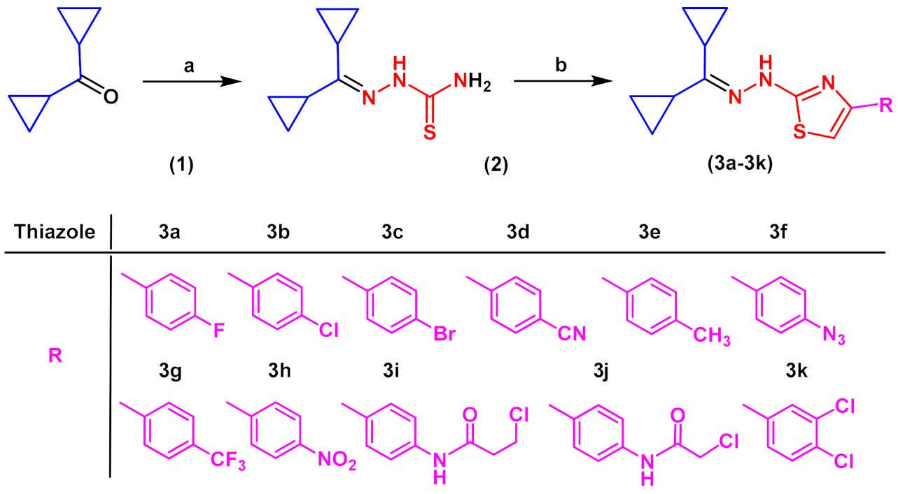
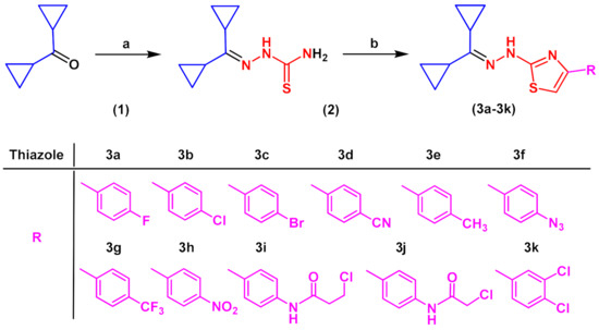
2.1.1. Synthesis and Structural Characterization
2-(Dicyclopropylmethylene)hydrazinecarbothioamide (1)
2-(2-(Dicyclopropylmethylene)hydrazinyl)-4-(4-fluorophenyl)thiazole (3a)
4-(4-Chlorophenyl)-2-(2-(dicyclopropylmethylene)hydrazinyl)thiazole (3b)
4-(4-Bromophenyl)-2-(2-(dicyclopropylmethylene)hydrazinyl)thiazole (3c)
4-(2-(2-(Dicyclopropylmethylene)hydrazinyl)thiazol-4-yl)benzonitrile (3d)
2-(2-(Dicyclopropylmethylene)hydrazinyl)-4-p-tolylthiazole (3e)
4-(4-Azidophenyl)-2-(2-(dicyclopropylmethylene)hydrazinyl)thiazole (3f)
2-(2-(Dicyclopropylmethylene)hydrazinyl)-4-(4-(trifluoromethyl)phenyl)thiazole (3g)
2-(2-(Dicyclopropylmethylene)hydrazinyl)-4-(4-nitrophenyl)thiazole (3h)
3-Chloro-N-(4-(2-(2-(dicyclopropylmethylene)hydrazinyl)thiazol-4-yl)phenyl)propanamide (3i)
2-Chloro-N-(4-(2-(2-(dicyclopropylmethylene)hydrazinyl)thiazol-4-yl)phenyl)acetamide (3j)
4-(3,4-Dichlorophenyl)-2-(2-(dicyclopropylmethylene)hydrazinyl)thiazole (3k)
2.2. Microorganisms
2.3. Cell Culture
2.4. In Vitro Antimicrobial Activity Assay
2.5. Antibiofilm Activity Assay
2.6. Membrane Permeability Assay
2.7. Sorbitol Assay
2.8. Ergosterol Assay
2.9. Cytotoxicity Assay
2.10. Hemolytic Activity Assay
2.11. Quantum Chemical Calculation
3. Results
3.1. Chemical Synthesis
3.2. Antimicrobial Activity
3.2.1. Antibacterial Activity
3.2.2. Antifungal Activity
3.2.3. Effect on Candida albicans Biofilm
3.2.4. Membrane Permeability Assay
3.2.5. Mode of Action with Sorbitol and Ergosterol Assay
3.3. Cytotoxic Activity
3.4. Hemolytic Activity
3.5. Quantum Chemical Calculation
4. Discussion
5. Conclusions
Author Contributions
Funding
Institutional Review Board Statement
Informed Consent Statement
Data Availability Statement
Conflicts of Interest
References
- Houšť, J.; Spížek, J.; Havlíček, V. Antifungal Drugs. Metabolites 2020, 10, 106. [Google Scholar] [CrossRef]
- Pristov, K.E.; Ghannoum, M.A. Resistance of Candida to azoles and echinocandins worldwide. Clin. Microbiol. Infect. 2019, 25, 792–798. [Google Scholar] [CrossRef] [PubMed]
- Biernasiuk, A.; Kawczyńska, M.; Berecka-Rycerz, A.; Rosada, B.; Gumieniczek, A.; Malm, A.; Dzitko, K.; Łączkowski, K.Z. Synthesis, antimicrobial activity, and determination of the lipophilicity of ((cyclohex-3-enylmethylene) hydrazinyl)thiazole derivatives. Med. Chem. Res. 2019, 28, 2023–2036. [Google Scholar] [CrossRef]
- Karpiński, T.M. Essential oils of Lamiaceae family plants as antifungals. Biomolecules 2020, 10, 103. [Google Scholar] [CrossRef]
- Limon, J.L.; Skalski, J.H.; Underhill, D.M. Commensal fungi in Health and Disease. Cell Host Microbe. 2017, 22, 156–165. [Google Scholar] [CrossRef] [PubMed]
- Roemer, T.; Krysan, D.J. Antifungal drug development: Challenges, unmet clinical needs, and new approaches. Cold Spring Harb. Perspect. Med. 2014, 4, a019703. [Google Scholar] [CrossRef]
- Turecka, K.; Chylewska, A.; Kawiak, A.; Waleron, K.F. Antifungal activity and mechanism of action of the Co(III) coordination complexes with diamine chelate ligands against reference and clinical strains of Candida spp. Front. Microbiol. 2018, 9, 1594. [Google Scholar] [CrossRef]
- Silva, S.; Rodrigues, C.F.; Araújo, D.; Rodrigues, M.E.; Henriques, M. Candida species biofilms’ antifungal resistance. J. Fungi 2017, 3, 8. [Google Scholar] [CrossRef]
- Sun, L.; Liao, K.; Wang, D. Effects of magnolol and honokiol on adhesion, yeast-hyphal transition, and formation of biofilm by Candida albicans. PLoS ONE 2015, 10, e0117695. [Google Scholar] [CrossRef]
- Nett, J.E.; Cain, M.T.; Crawford, K.; Andes, D.R. Optimizing a Candida biofilm microtiter plate model for measurement of antifungal susceptibility by tetrazolium salt assay. J. Clin. Microbiol. 2011, 49, 1426–1433. [Google Scholar] [CrossRef]
- Kim, D.J.; Lee, M.W.; Choi, J.S.; Lee, S.G.; Park, J.Y.; Kim, S.W. Inhibitory activity of hinokitiol against biofilm formation in fluconazole-resistant Candida species. PLoS ONE 2017, 12, e0171244. [Google Scholar] [CrossRef] [PubMed]
- Ali, S.H.; Sayed, A.R. Review of the synthesis and biological activity of thiazoles. Synth. Commun. 2021, 51, 670–700. [Google Scholar] [CrossRef]
- Borcea, A.-M.; Ionut, I.; Crisan, O.; Oniga, O. An overview of the synthesis and antimicrobial. Molecules 2021, 26, 624. [Google Scholar] [CrossRef] [PubMed]
- Lin, Y.; Fan, H.; Li, Y.; Zhan, X. Thiazole-based organic semiconductors for organic electronics. Adv. Mater. 2012, 24, 3087–3106. [Google Scholar] [CrossRef]
- Lino, C.I.; de Souza, I.G.; Borelli, B.A.; Matos, T.T.S.; Teixeira, I.N.S.; Ramos, J.P.; de Souza Fagundes, E.M.; de Oliveira Fernandes, P.; Maltarollo, V.G.; Johann, S.; et al. Synthesis, molecular modeling studies and evaluation of antifungal activity of a novel series of thiazole derivatives. Eur. J. Med. Chem. 2018, 151, 248–260. [Google Scholar] [CrossRef]
- Secci, D.; Bizzarri, B.; Bolasco, A.; Carradori, S.; D’Ascenzio, M.; Rivanera, D.; Mari, E.; Polletta, L.; Zicari, A. Synthesis, anti-Candida activity, and cytotoxicity of new (4-(4-iodophenyl)thiazol-2-yl)-hydrazine derivatives. Eur. J. Med. Chem. 2012, 53, 246–253. [Google Scholar] [CrossRef]
- Kamat, V.; Santosh, R.; Poojary, B.; Nayak, S.P.; Kumar, B.K.; Sankaranarayanan, M.; Faheem; Khanapure, S.; Barretto, D.A.; Vootla, S.K. Pyridine- and thiazole-based hydrazides with promising anti-inflammatory and antimicrobial activities along with their in silico studies. ACS Omega 2020, 5, 25228–25239. [Google Scholar] [CrossRef]
- Yu, B.; Zhou, S.; Cao, L.; Hao, Z.; Yang, D.; Guo, X.; Zhang, N.; Bakulev, V.A.; Fan, Z. Design, Synthesis, and evaluation of the antifungal activity of novel pyrazole–thiazole carboxamides as succinate dehydrogenase inhibitors. J. Agric. Food Chem. 2020, 68, 7093–7102. [Google Scholar] [CrossRef]
- Piechowska, K.; Świtalska, M.; Cytarska, J.; Jaroch, K.; Łuczykowski, K.; Chałupka, J.; Wietrzyk, J.; Misiura, K.; Bojko, B.; Kruszewski, S.; et al. Discovery of tropinone-thiazole derivatives as potent caspase 3/7 activators, and noncompetitive tyrosinase inhibitors with high antiproliferative activity: Rational design, one-pot tricomponent synthesis, and lipophilicity determination. Eur. J. Med. Chem. 2019, 175, 162–171. [Google Scholar] [CrossRef] [PubMed]
- Gomha, S.M.; Edrees, M.M.; Altalbawy, F.M.A. Synthesis and characterization of some new bis-pyrazolyl-thiazoles incorporating the thiophene moiety as potent anti-tumor agents. Int. J. Mol. Sci. 2016, 17, 1499. [Google Scholar] [CrossRef]
- Łączkowski, K.Z.; Anusiak, J.; Świtalska, M.; Dzitko, K.; Cytarska, J.; Baranowska-Łączkowska, A.; Plech, T.; Paneth, A.; Wietrzyk, J.; Białczyk, J. Synthesis, molecular docking, ctDNA interaction, DFT calculation and evaluation of antiproliferative and anti-Toxoplasma gondii activities of 2,4-diaminotriazine-thiazole derivatives. Med. Chem. Res. 2018, 27, 1131–1148. [Google Scholar] [CrossRef]
- Siddiqui, A.A.; Partap, S.; Khisal, S.; Yar, M.S.; Mishra, R. Synthesis, anti-convulsant activity and molecular docking study of novel thiazole pyridazinone hybrid analogues. Bioorg. Chem. 2020, 99, 103584. [Google Scholar] [CrossRef]
- Salar, U.; Khan, K.M.; Chigurupati, S.; Syed, S.; Vijayabalan, S.; Wadood, A.; Riaz, M.; Ghufran, M.; Perveen, S. New hybrid scaffolds based on hydrazinyl thiazole substituted coumarin; As novel leads of dual potential; in vitro α-amylase inhibitory and antioxidant (DPPH and ABTS radical scavenging) activities. Med. Chem. 2019, 15, 87–101. [Google Scholar] [CrossRef] [PubMed]
- Konno, S.; Thanigaimalai, P.; Yamamoto, T.; Nakada, K.; Kakiuchi, R.; Takayama, K.; Yamazaki, Y.; Yakushiji, F.; Akaji, K.; Kiso, Y.; et al. Design and synthesis of new tripeptide-type SARS-CoV 3CL protease inhibitors containing an electrophilic arylketone moiety. Bioorg. Med. Chem. 2013, 21, 412–424. [Google Scholar] [CrossRef] [PubMed]
- Łączkowski, K.Z.; Motylewska, K.; Baranowska-Łączkowska, A.; Biernasiuk, A.; Misiura, K.; Malm, A.; Fernandez, B. Synthesis, antimicrobial evaluation and theoretical prediction of NMR chemical shifts of thiazole and selenazole derivatives with high antifungal activity against Candida spp. J. Mol. Struct. 2016, 1108, 427–437. [Google Scholar] [CrossRef]
- Talele, T.T. The “cyclopropyl fragment” is a versatile player that frequently appears in preclinical/clinical drug molecules. J. Med. Chem. 2016, 59, 8712–8756. [Google Scholar] [CrossRef] [PubMed]
- Bauer, M.R.; Di Fruscia, P.; Lucas, S.C.C.; Michaelides, I.N.; Nelson, J.E.; Storer, R.I.; Whitehurst, B.C. Put a ring on it: Application of small aliphatic rings in medicinal chemistry. RSC Med. Chem. 2021, 12, 448–471. [Google Scholar] [CrossRef] [PubMed]
- Łączkowski, K.Z.; Konklewska, N.; Biernasiuk, A.; Malm, A.; Sałat, K.; Furgała, A.; Dzitko, K.; Bekier, A.; Baranowska-Łączkowska, A.; Paneth, A. Thiazoles with cyclopropyl fragment as antifungal, anticonvulsant, and anti-Toxoplasma gondii agents: Synthesis, toxicity evaluation, and molecular docking study. Med. Chem. Res. 2018, 27, 2125–2140. [Google Scholar] [CrossRef] [PubMed]
- Biernasiuk, A.; Berecka-Rycerz, A.; Gumieniczek, A.; Malm, M.; Łączkowski, K.Z.; Szymańska, J.; Malm, A. The newly synthesized thiazole derivatives as potential antifungal compounds against Candida Albicans. Appl. Microbiol. Biotechnol. 2021. submitted. [Google Scholar]
- Parr, R.G.; Pearson, R.G. Absolute hardness: Companion parameter to absolute electronegativity. J. Am. Chem. Soc. 1983, 105, 7512–7516. [Google Scholar] [CrossRef]
- European Committee for Antimicrobial Susceptibility Testing (EUCAST). Determination of minimum inhibitory concentrations (MICs) of antibacterial agents by broth dilution. EUCAST discussion document E. Dis 5.1. Clin. Microbiol. Infect. 2003, 9, 1–7. [Google Scholar]
- Clinical and Laboratory Standards Institute. Reference Method for Broth Dilution Antifungal Susceptibility Testing of Yeasts; M27-S4; Clinical and Laboratory Standards Institute: Wayne, PA, USA, 2012. [Google Scholar]
- O’Donnell, F.; Smyth, T.J.; Ramachandran, V.T.; Smyth, W.F. A study of the antimicrobial activity of selected synthetic and naturally occurring quinolones. Int. J. Antimicrob. Agents 2010, 35, 30–38. [Google Scholar] [CrossRef] [PubMed]
- Wiegand, I.; Hilpert, K.; Hancock, R.E.W. Agar and broth dilution methods to determine the minimal inhibitory concentration (MIC) of antimicrobial substances. Nat. Protoc. 2008, 3, 163–175. [Google Scholar] [CrossRef] [PubMed]
- Feoktistova, M.; Geserick, P.; Leverkus, M. Crystal violet assay for determining viability of cultured cells. Cold Spring Harb. Protoc. 2016, 1, Pdb.prot087379. [Google Scholar] [CrossRef] [PubMed]
- Ramage, G.; Vande Walle, K.; Wickes, B.L.; Lopez-Ribot, J.L. Standardized method for in vitro antifungal susceptibility testing of Candida albicans biofilms. Antimicrob. Agents Chemother. 2001, 45, 2475–2479. [Google Scholar] [CrossRef]
- Lee, H.S.; Kim, Y. Antifungal activity of Salvia miltiorrhiza against Candida albicans is associated with the alteration of membrane permeability and (1,3)-b-D-glucan synthase activity. J. Microbiol. Biotechnol. 2016, 26, 610–617. [Google Scholar] [CrossRef] [PubMed]
- de Oliveira Filho, A.A.; de Oliveira, H.M.B.F.; de Sousa, J.P.; Meireles, D.; de Azevedo Maia, G.L.; Filho, J.M.B.; Lima, E.O. In vitro anti-Candida activity and mechanism of action of the flavonoid isolated from Praxelis clematidea against Candida albicans species. J. App. Pharm. Sci. 2016, 6, 66–69. [Google Scholar] [CrossRef][Green Version]
- Leite, M.C.; Bezerra, A.P.; de Sousa, J.P.; Guerra, F.Q.; Lima, E.D.O. Evaluation of antifungal activity and mechanism of action of citral against Candida albicans. Evid. Based Complement. Altern. Med. 2014, 2014, 378280. [Google Scholar] [CrossRef]
- Lima, I.O.; de Medeiros Nóbrega, F.; de Oliveira, W.A.; de Oliveira Lima, E.; Menezes, E.A.; Cunha, F.A.; de Fátima Formiga Melo Diniz, M. Anti-Candida albicans effectiveness of citral and investigation of mode of action. Pharm. Biol. 2012, 50, 1536–1541. [Google Scholar] [CrossRef] [PubMed]
- Basak, V.; Bahar, T.E.; Emine, K.; Yelda, K.; Mine, K.; Figen, S.; Rustem, N. Evaluation of cytotoxicity and gelatinases activity in 3T3 fibroblast cell by root repair materials. Biotechnol. Biotechnol. Equip. 2016, 30, 984–990. [Google Scholar] [CrossRef]
- Han, J.; Jyoti, M.A.; Song, H.Y.; Jang, W.S. Antifungal activity and action mechanism of histatin 5-halocidin hybrid peptides against Candida ssp. PLoS ONE 2016, 11, e0150196. [Google Scholar] [CrossRef] [PubMed]
- Zohra, M.; Fawzia, A. Hemolytic activity of different herbal extracts used in Algeria. Int. J. Pharm. Sci. Res. 2014, 5, 495–500. [Google Scholar]
- Frisch, M.J.; Trucks, G.W.; Schlegel, H.B.; Scuseria, G.E.; Robb, M.A.; Cheeseman, J.R.; Scalmani, G.; Barone, V.; Mennucci, B.; Petersson, G.A.; et al. Gaussian 09, Revision C.01.; Gaussian, Inc.: Wallingford, UK, 2009. [Google Scholar]
- Dennington, R.; Keith, T.; Millam, J. Gauss View, Version 5; Semichem Inc.: Shawnee Mission, KS, USA, 2009. [Google Scholar]
- Corte, L.; Pierantoni, D.C.; Tascini, C.; Roscini, L.; Cardinali, G. Biofilm specific activity: A measure to quantify microbial biofilm. Microorganisms 2019, 7, 73. [Google Scholar] [CrossRef] [PubMed]
- Nordin, M.A.F.; Razak, F.A.; Himratul-Aznita, W.H. Assessment of antifungal activity of bakuchiol on oral-associated Candida spp. Evid. Based Complement. Altern. Med. 2015, 2015, 918624. [Google Scholar] [CrossRef]
- Taff, H.T.; Nett, J.E.; Andes, D.R. Comparative analysis of Candida biofilm quantitation assays. Med. Mycol. 2012, 50, 214–218. [Google Scholar] [CrossRef] [PubMed]
- Knight, S.A.B.; Dancis, A. Reduction of,3-bis(2-methoxy-4-nitro-5-sulfophenyl)-2H-tetrazolium-5-carboxanilide inner salt (XTT) is dependent on CaFRE10 ferric reductase for Candida albicans grown in unbuffered media. Microbiology 2006, 152, 2301–2308. [Google Scholar] [CrossRef][Green Version]
- Guo, N.; Gai, Q.-Y.; Jiao, J.; Wang, W.; Zu, Y.-G.; Fu, Y.-J. Antibacterial activity of Fructus Forsythia essential oil and the application of EO-loaded nanoparticles to food-borne pathogens. Foods 2016, 5, 73. [Google Scholar] [CrossRef] [PubMed]
- Castro, R.D.; Lima, E.O. Anti-Candida activity and chemical composition of Cinnamomum zeylanicum blume essential oil. Braz. Arch. Biol. Technol. 2013, 56, 749–755. [Google Scholar] [CrossRef]
- Gong, Y.; Liu, W.; Huang, X.; Hao, L.; Li, Y.; Sun, S. Antifungal activity and potential mechanism of N-butylphthalide alone and in combination with fluconazole against Candida albicans. Front. Microbiol. 2019, 10, 1461. [Google Scholar] [CrossRef]
- Marins, J.S.R.; Sassone, L.M.; Fidel, S.R.; Ribeiro, D.A. In vitro genotoxicity and cytotoxicity in murine fibroblasts exposed to EDTA, NaOCl, MTAD and citric acid. Braz. Dent. J. 2012, 23, 527–533. [Google Scholar] [CrossRef]
- Kazak, M.; Donmez, N.; Bahadori, F.; Betul, V.; Kocyigit, A.A. Preliminary research study on the cytotoxicity of expired and non-expired composite resins: In vitro study. Odovtos-Int. J. Dent. Sci. 2020, 22–23, 123–134. [Google Scholar]
- Spindola, D.G.; Hinsberger, A.; de Souza Antunes, V.M.; Michelin, L.F.G.; Bincoletto, C.; Oliveira, C.R. In vitro cytotoxicity of chemical preservatives on human fibroblast cells. Braz. J. Pharm. Sci. 2018, 54, e00031. [Google Scholar] [CrossRef]
- Jeong, H.; Hwang, J.; Lee, H.; Hammond, P.T.; Choi, J.; Hong, J. In vitro blood cell viability profiling of polymers used in molecular assembly. Sci. Rep. 2017, 7, 9481–9494. [Google Scholar] [CrossRef] [PubMed]



| Species | MIC (µg/mL) of Compounds and Positive Control | |||||||||||
|---|---|---|---|---|---|---|---|---|---|---|---|---|
| 3a | 3b | 3c | 3d | 3e | 3f | 3g | 3h | 3i | 3j | 3k | CIP | |
| Staphylococcus aureus ATCC 6538 | — | 1000 | — | 1000 | 1000 | — | 500 | 1000 | — | 1000 | 250 | 0.24 |
| Staphylococcus aureus ATCC 25923 | 500 | 125 | 500 | 500 | 500 | — | 250 | 250 | 500 | 250 | 62.5 | 0.48 |
| Staphylococcus epidermidis ATCC 12228 | 1000 | 1000 | — | 125 | 1000 | 1000 | 250 | 125 | 250 | 500 | 250 | 0.12 |
| Micrococcus luteus ATCC 10240 | 250 | 125 | 125 | 500 | 125 | 1000 | 250 | 1000 | — | 250 | 250 | 0.98 |
| Bacillus subtilis ATCC 6633 | — | — | — | — | 1000 | — | 500 | — | — | — | 250 | 0.03 |
| Bacillus cereus ATCC 10876 | 1000 | 1000 | — | 1000 | 500 | — | 500 | 1000 | — | — | 250 | 0.06 |
| Bordetella bronchiseptica ATCC 4617 | 125 | 125 | 125 | 125 | 31.25 | 250 | 1000 | 500 | 500 | 250 | 500 | 0.98 |
| Species | MBC (µg/mL) and MBC/MIC Ratio of Compounds and Positive Control | |||||||||||
|---|---|---|---|---|---|---|---|---|---|---|---|---|
| 3a | 3b | 3c | 3d | 3e | 3f | 3g | 3h | 3i | 3j | 3k | CIP | |
| Staphylococcus aureus ATCC 6538 | — | >1000 (>1) | — | >1000 (>1) | >1000 (>1) | — | 1000 (2) | >1000 (>1) | — | >1000 (>1) | 500 (2) | 0.24 (1) |
| Staphylococcus aureus ATCC 25923 | >1000 (>2) | >1000 (>8) | >1000 (>2) | >1000 (>2) | >1000 (>2) | — | 1000 (4) | 1000 (4) | >1000 (>2) | 500 (2) | 500 (8) | 0.48 (1) |
| Staphylococcus epidermidis ATCC 12228 | >1000 (>1) | >1000 (>1) | — | 500 (4) | >1000 (>1) | >1000 (>1) | >1000 (>4) | 500 (4) | >1000 (>4) | 1000 (2) | 500 (2) | 0.12 (1) |
| Micrococcus luteus ATCC 10240 | 1000 (4) | 1000 (8) | 1000 (8) | >1000 (>2) | 500 (4) | >1000 (>1) | >1000 (>4) | >1000 (>1) | — | 1000 (4) | 1000 (4) | 1.98 (2) |
| Bacillus subtilis ATCC 6633 | — | — | — | — | >1000 (>1) | — | >1000 (>2) | — | — | — | 1000 (4) | 0.03 (1) |
| Bacillus cereus ATCC 10876 | >1000 (>1) | >1000 (>1) | — | >1000 (>1) | >1000 (>2) | — | >1000 (>2) | >1000 (>1) | — | — | >1000 (>4) | 0.12 (2) |
| Bordetella bronchiseptica ATCC 4617 | 1000 (8) | 1000 (8) | >1000 (>8) | 1000 (8) | 1000 (32) | >1000 (>4) | >1000 (>1) | >1000 (>2) | >1000 (>2) | >1000 (>4) | >1000 (>2) | 0.98 (1) |
| Species | MIC (µg/mL) of Compounds and Positive Control | |||||||||||
|---|---|---|---|---|---|---|---|---|---|---|---|---|
| 3a | 3b | 3c | 3d | 3e | 3f | 3g | 3h | 3i | 3j | 3k | NY | |
| Candida albicans ATCC 2091 | 1.95 | 0.24 | 0.98 | 7.81 | 0.24 | 3.91 | 15.62 | 7.81 | 250 | 500 | 3.91 | 0.24 |
| Candida albicans ATCC 10231 | 0.98 | 0.98 | 0.48 | 1.95 | 0.24 | 0.48 | 7.81 | 15.62 | 125 | 250 | 7.81 | 0.48 |
| Candida parapsilosis ATCC 2201 | 1.95 | 1.95 | 0.98 | 7.81 | 0.98 | 3.91 | 15.62 | 7.81 | 125 | 250 | 7.81 | 0.24 |
| Candida glabrata ATCC 90030 | 62.5 | 62.5 | 62.5 | 62.5 | 62.5 | 31.25 | 125 | 62.5 | 250 | 250 | 125 | 0.24 |
| Candida krusei ATCC 14243 | 1.95 | 0.98 | 0.48 | 1.95 | 0.98 | 3.91 | 15.62 | 15.62 | 125 | 250 | 7.81 | 0.24 |
| Species | MFC (µg/mL) and MFC/MIC Ratio of Compounds and Positive Control | |||||||||||
|---|---|---|---|---|---|---|---|---|---|---|---|---|
| 3a | 3b | 3c | 3d | 3e | 3f | 3g | 3h | 3i | 3j | 3k | NY | |
| Candida albicans ATCC 2091 | 3.91 (2) | 0.48 (2) | 3.91 (4) | 15.62 (2) | 0.98 (4) | 7.81 (2) | 62.5 (4) | 15.62 (2) | 1000 (4) | 1000 (2) | 31.62 (8) | 0.24 (1) |
| Candida albicans ATCC 10231 | 1.95 (2) | 3.91 (4) | 0.98 (2) | 7.81 (4) | 0.98 (4) | 0.98 (2) | 31.25 (4) | 15.62 (1) | >1000 (>8) | >1000 (>4) | 31.25 (4) | 0.48 (1) |
| Candida parapsilosis ATCC 2201 | 3.91 (2) | 3.91 (2) | 3.91 (4) | 15.62 (2) | 3.91 (4) | 15.62 (4) | 62.5 (4) | 31.25 (4) | >1000 (>8) | >1000 (>4) | 31.25 (4) | 0.48 (2) |
| Candida glabrata ATCC 90030 | 125 (2) | 125 (2) | 125 (2) | 125 (2) | 250 (4) | 250 (8) | 250 (2) | 250 (4) | >1000 (>4) | 1000 (4) | 250 (2) | 0.48 (2) |
| Candida krusei ATCC 14243 | 3.91 (2) | 1.95 (2) | 1.95 (4) | 7.81 (4) | 3.91 (4) | 7.81 (2) | 62.5 (4) | 31.25 (2) | 1000 (8) | 1000 (4) | 62.5 (8) | 0.24 (1) |
| Compound | The Effect on the Metabolic Activity of Biofilm (OD) | |||
|---|---|---|---|---|
| MIC | 2 × MIC | 8 × MIC | Control | |
| 3b | 2.03 ± 0.13 | 1.9 ± 0.26 | 1.76 ± 0.19 | 2.07 ± 0.19 |
| 3c | 2.07 ± 0.16 | 2.06 ± 0,21 | 1.97 ± 0.16 | 2.07 ± 0.19 |
| 3e | 2.07 ± 0.11 | 2.07 ± 0.25 | 2.07 ± 0.13 | 2.07 ± 0.19 |
| Compound | The Effect on the Cell Membrane (% of CV Uptake) | ||
|---|---|---|---|
| MIC | 2 × MIC | 8 × MIC | |
| 3b | 0 | 1.5 | 11.4 |
| 3c | 0 | 4.0 | 28.0 |
| 3e | 0 | 1.0 | 1.8 |
| Compound | The Increase in the MIC Values (×MIC) | |
|---|---|---|
| With Sorbitol | With Ergosterol | |
| 3b | ×8 | ×32 |
| 3c | ×32 | ×64 |
| 3e | ×8 | ×64 |
| NY | ×1 | ×16 |
| Compound | T (h) | Cell Viability (%) Exposed to Compounds in the Concentrations | ||||
|---|---|---|---|---|---|---|
| 0.25 µg/mL | 0.5 µg/mL | 1 µg/mL | 10 µg/mL | 25 µg/mL | ||
| 3b | 24 | 102.08 ± 5.10 | 97.56 ± 4.88 | 96.00 ± 4.80 | 92.80 ± 4.64 | 86.45 ± 4.32 |
| 48 | 102.72 ± 5.14 | 99.71 ± 4.99 | 99.85 ± 4.99 | 97.36 ± 4.87 | 100.46 ± 5.02 | |
| 72 | 103.66 ± 5.18 | 99.77 ± 4.99 | 103.55 ± 5.18 | 100.82 ± 5.04 | 100.60 ± 5.03 | |
| 3c | 24 | 100.52 ± 5.03 | 103.26 ± 5.16 | 108.16 ± 5.41 | 102.36 ± 5.12 | 111.81 ± 5.59 |
| 48 | 100.00 ± 5.00 | 109.27 ± 5.46 | 105.28 ± 5.26 | 104.83 ± 5.24 | 102.40 ± 5.12 | |
| 72 | 100.34 ± 5.02 | 105.61 ± 5.28 | 99.88 ± 4.99 | 95.35 ± 4.77 | 96.26 ± 4.81 | |
| 3e | 24 | 103.00 ± 5.15 | 95.88 ± 4.79 | 98.74 ± 4.94 | 105.73 ± 5.29 | 94.61 ± 4.73 |
| 48 | 100.14 ± 5.01 | 92.53 ± 4.63 | 97.08 ± 4.85 | 106.54 ± 5.33 | 109.52± 5.48 | |
| 72 | 100.48 ± 5.02 | 100.41 ±5.02 | 97.78 ± 4.89 | 102.99 ± 5.15 | 98.95 ± 4.95 | |
| Compound | % of Lysed Erythrocytes Exposed to Compounds in the Concentrations | ||||
|---|---|---|---|---|---|
| MIC | 2 × MIC | 5 × MIC | 10 × MIC | Triton X-100 (1%) | |
| 3b | 0.16 | 0.01 | 0.17 | 0.39 | 100 |
| 3c | 0.19 | 0.23 | 0.01 | 0.09 | |
| 3e | 0.28 | 0.38 | 0.85 | 1.11 | |
| Compound | EHOMO | ELUMO | ΔE | η | S | IP | EA | χ |
|---|---|---|---|---|---|---|---|---|
| 3b | −5.469 | −1.208 | 4.262 | 2.131 | 0.469 | 5.469 | 1.208 | 3.339 |
| 3c | −5.467 | −1.216 | 4.251 | 2.125 | 0.470 | 5.467 | 1.216 | 3.342 |
| 3e | −5.263 | −0.932 | 4.330 | 2.165 | 0.462 | 5.263 | 0.932 | 3.097 |
Publisher’s Note: MDPI stays neutral with regard to jurisdictional claims in published maps and institutional affiliations. |
© 2021 by the authors. Licensee MDPI, Basel, Switzerland. This article is an open access article distributed under the terms and conditions of the Creative Commons Attribution (CC BY) license (https://creativecommons.org/licenses/by/4.0/).
Share and Cite
Biernasiuk, A.; Banasiewicz, A.; Masłyk, M.; Martyna, A.; Janeczko, M.; Baranowska-Łączkowska, A.; Malm, A.; Łączkowski, K.Z. Synthesis and Physicochemical Characterization of Novel Dicyclopropyl-Thiazole Compounds as Nontoxic and Promising Antifungals. Materials 2021, 14, 3500. https://doi.org/10.3390/ma14133500
Biernasiuk A, Banasiewicz A, Masłyk M, Martyna A, Janeczko M, Baranowska-Łączkowska A, Malm A, Łączkowski KZ. Synthesis and Physicochemical Characterization of Novel Dicyclopropyl-Thiazole Compounds as Nontoxic and Promising Antifungals. Materials. 2021; 14(13):3500. https://doi.org/10.3390/ma14133500
Chicago/Turabian StyleBiernasiuk, Anna, Anna Banasiewicz, Maciej Masłyk, Aleksandra Martyna, Monika Janeczko, Angelika Baranowska-Łączkowska, Anna Malm, and Krzysztof Z. Łączkowski. 2021. "Synthesis and Physicochemical Characterization of Novel Dicyclopropyl-Thiazole Compounds as Nontoxic and Promising Antifungals" Materials 14, no. 13: 3500. https://doi.org/10.3390/ma14133500
APA StyleBiernasiuk, A., Banasiewicz, A., Masłyk, M., Martyna, A., Janeczko, M., Baranowska-Łączkowska, A., Malm, A., & Łączkowski, K. Z. (2021). Synthesis and Physicochemical Characterization of Novel Dicyclopropyl-Thiazole Compounds as Nontoxic and Promising Antifungals. Materials, 14(13), 3500. https://doi.org/10.3390/ma14133500

