Towards the Bisbenzothienocarbazole Core: A Route of Sulfurated Carbazole Derivatives with Assorted Optoelectronic Properties and Applications
Abstract
1. Introduction
2. Materials and Methods
2.1. Synthesis and Characterization
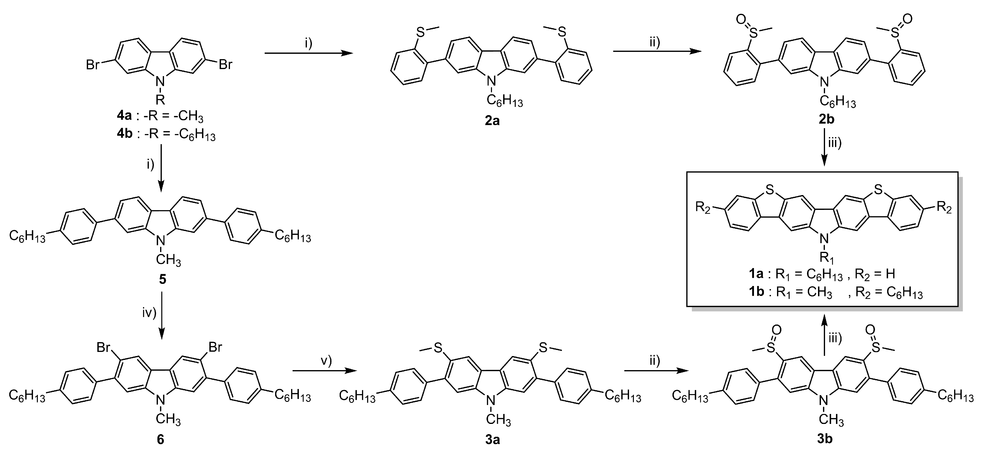
2.1.1. Synthesis of 2,7-bis(2-methylthiophenyl)-9-hexyl-9H-carbazole (2a)
2.1.2. Synthesis of 2,7-bis(2-methylsulfinylphenyl)-9-hexyl-9H-carbazole (2b)
2.1.3. Synthesis of 14-hexyl-14H-bis[1]benzothieno[3,2-b:2’,3’-h]carbazole (1a)
2.1.4. Synthesis of 2,7-bis(4-hexylphenyl)-9-methyl-9H-carbazole (5)
2.1.5. Synthesis of 3,6-dibromo-2,7-bis(4-hexylphenyl)-9-methyl-9H-carbazole (6)
2.1.6. Synthesis of 2,7-bis(4-hexylphenyl)-9-methyl-3,6-bis(methylthio)-9H-carbazole (3a)
2.1.7. Synthesis of 2,7-bis(4-hexylphenyl)-9-methyl-3,6-bis(methylsulfinyl)-9H-carbazole (3b)
2.1.8. Synthesis of 3,10-dihexyl-14-methyl-14H-bis[1]benzothieno[3,2-b:2’,3’-h]carbazole (1b)
2.1.9. Synthesis of 3,6-bis(2-methylthiophenyl)-9-hexyl-9H-carbazole (7a)
2.1.10. Synthesis of 3,6-bis(2-methylsulfinylphenyl)-9-hexyl-9H-carbazole (7b)
2.2. Instrumentation and Methods
2.3. OTFT Fabrication and Characterization
3. Results and Discussion
3.1. Synthesis
3.2. Optical, Electrochemical and Thermal Properties
3.2.1. Sulfurated Carbazole Precursors
3.2.2. Bisbenzothienocarbazole Derivatives
3.3. Organic Thin-Film Transistors
3.4. Crystallographic Data and X-ray Analysis
4. Conclusions
Supplementary Materials
Author Contributions
Funding
Institutional Review Board Statement
Informed Consent Statement
Data Availability Statement
Acknowledgments
Conflicts of Interest
References
- Wang, C.; Dong, H.; Jiang, L.; Huanli, D. Organic semiconductor crystals. Chem. Soc. Rev. 2017, 47, 422–500. [Google Scholar] [CrossRef]
- Takimiya, K.; Shinamura, S.; Osaka, I.; Miyazaki, E. Thienoacene-Based Organic Semiconductors. Adv. Mater. 2011, 23, 4347–4370. [Google Scholar] [CrossRef] [PubMed]
- Asoh, T.; Kawabata, K.; Takimiya, K. Carbonyl-Terminated Quinoidal Oligothiophenes as p-Type Organic Semiconductors. Materials 2020, 13, 3020. [Google Scholar] [CrossRef] [PubMed]
- Bronstein, H.; Nielsen, C.B.; Schroeder, B.C.; McCulloch, I. The role of chemical design in the performance of organic semiconductors. Nat. Rev. Chem. 2020, 4, 66–77. [Google Scholar] [CrossRef]
- Vorona, M.Y.; Yutronkie, N.J.; Melville, O.A.; Daszczynski, A.J.; Agyei, K.T.; Ovens, J.S.; Brusso, J.L.; Lessard, B.H. Developing 9,10-anthracene Derivatives: Optical, Electrochemical, Thermal, and Electrical Characterization. Materials 2019, 12, 2726. [Google Scholar] [CrossRef] [PubMed]
- Rice, N.A.; Magnan, F.; Melville, O.A.; Brusso, J.L.; Lessard, B.H. Organic Thin Film Transistors Incorporating Solution Processable Thieno[3,2-b]thiophene Thienoacenes. Materials 2017, 11, 8. [Google Scholar] [CrossRef]
- Liao, H.; Chen, M.; Sun, J.; Haseena, S.; Ravva, M.K.; Xiao, C.; Zhang, L.; Wang, Y.; Li, Z.; Yue, W. Novel and asymmetric S,N-heterocyclics with fused six-membered rings for organic field effect transistor applications. J. Mater. Chem. C 2020, 8, 17083–17089. [Google Scholar] [CrossRef]
- He, K.; Li, W.; Tian, H.; Zhang, J.; Yan, D.; Geng, Y.; Wang, F. Asymmetric Conjugated Molecules Based on [1]Benzothieno[3,2-b][1]benzothiophene for High-Mobility Organic Thin-Film Transistors: Influence of Alkyl Chain Length. ACS Appl. Mater. Interfaces 2017, 9, 35427–35436. [Google Scholar] [CrossRef]
- Reig, M.; Puigdollers, J.; Velasco, D. Molecular order of air-stable p-type organic thin-film transistors by tuning the extension of the π-conjugated core: The cases of indolo[3,2-b]carbazole and triindole semiconductors. J. Mater. Chem. C 2015, 3, 506–513. [Google Scholar] [CrossRef]
- Chen, J.; Yang, K.; Zhou, X.; Guo, X. Ladder-Type Heteroarene-Based Organic Semiconductors. Chem. Asian J. 2018, 13, 2587–2600. [Google Scholar] [CrossRef]
- Harbuzaru, A.; Arrechea-Marcos, I.; Scaccabarozzi, A.D.; Wang, Y.; Guo, X.; Caironi, M.; Navarrete, J.T.L.; Delgado, M.C.R.; Ortiz, R.P. Ladder-type bithiophene imide-based organic semiconductors: Understanding charge transport mechanisms in organic field effect transistors. J. Mater. Chem. C 2020, 8, 15759–15770. [Google Scholar] [CrossRef]
- Cai, Z.; Awais, M.A.; Zhang, N.; Yu, L. Exploration of Syntheses and Functions of Higher Ladder-type π-Conjugated Heteroacenes. Chem 2018, 4, 2538–2570. [Google Scholar] [CrossRef]
- Gunjo, Y.; Kamebuchi, H.; Tsuruta, R.; Iwashita, M.; Takahashi, K.; Takeuchi, R.; Kanai, K.; Koganezawa, T.; Mase, K.; Tadokoro, M.; et al. Interface Structures and Electronic States of Epitaxial Tetraazanaphthacene on Single-Crystal Pentacene. Materials 2021, 14, 1088. [Google Scholar] [CrossRef]
- Jurchescu, O.D.; Baas, J.; Palstra, T.T.M. Effect of impurities on the mobility of single crystal pentacene. Appl. Phys. Lett. 2004, 84, 3061–3063. [Google Scholar] [CrossRef]
- Chen, D.; Zhu, D.; Lin, G.; Du, M.; Shi, D.; Peng, Q.; Jiang, L.; Liu, Z.; Zhang, G.; Zhang, D. New fused conjugated molecules with fused thiophene and pyran units for organic electronic materials. RSC Adv. 2020, 10, 12378–12383. [Google Scholar] [CrossRef]
- Truong, M.A.; Nakano, K. Syntheses and Properties of Ladder-Type π-Conjugated Compounds Containing a Benzo[2,1-b:3,4-b’]dithiophene Skeleton. Bull. Chem. Soc. Jpn. 2016, 89, 1034–1040. [Google Scholar] [CrossRef]
- Takimiya, K.; Nakano, M.; Kang, M.J.; Miyazaki, E.; Osaka, I. Thienannulation: Efficient Synthesis of π-Extended Thienoacenes Applicable to Organic Semiconductors. Eur. J. Org. Chem. 2013, 2013, 217–227. [Google Scholar] [CrossRef]
- Sirringhaus, H.; Friend, R.H.; Wang, C.; Leuninger, J.; Müllen, K. Dibenzothienobisbenzothiophene-a novel fused-ring oligomer with high field-effect mobility. J. Mater. Chem. 1999, 9, 2095–2101. [Google Scholar] [CrossRef]
- Tasior, M.; Czichy, M.; Łapkowski, M.; Gryko, D.T. Dibenzothienopyrrolo[3,2-b ]pyrrole: The Missing Member of the Thienoacene Family. Chem. Asian J. 2018, 13, 449–456. [Google Scholar] [CrossRef] [PubMed]
- Liao, H.; Xiao, C.; Ravva, M.K.; Yao, L.; Yu, Y.; Yang, Y.; Zhang, W.; Zhang, L.; Li, Z.; McCulloch, I.; et al. Fused Pyrazine- and Carbazole-Containing Azaacenes: Synthesis and Properties. ChemPlusChem 2019, 84, 1257–1262. [Google Scholar] [CrossRef] [PubMed]
- Bujaldón, R.; Peřinka, N.; Reig, M.; Cuadrado, A.; Fabregat, C.; Font-Bardía, M.; Martínez-Ferrero, E.; Velasco, D. Exploring the 3-(phenylethynyl)-9H-carbazole unit in the search of deep-blue emitting fluorophores. Opt. Mater. 2021, 111, 110696. [Google Scholar] [CrossRef]
- Reig, M.; Gozálvez, C.; Bujaldón, R.; Bagdziunas, G.; Ivaniuk, K.; Kostiv, N.; Volyniuk, D.; Grazulevicius, J.V.; Velasco, D. Easy accessible blue luminescent carbazole-based materials for organic light-emitting diodes. Dye. Pigment. 2017, 137, 24–35. [Google Scholar] [CrossRef]
- Wex, B.; Kaafarani, B.R. Perspective on carbazole-based organic compounds as emitters and hosts in TADF applications. J. Mater. Chem. C 2017, 5, 8622–8653. [Google Scholar] [CrossRef]
- Grybauskaite-Kaminskiene, G.; Volyniuk, D.; Mimaite, V.; Bezvikonnyi, O.; Bucinskas, A.; Bagdziunas, G.; Grazulevicius, J.V. Aggregation-Enhanced Emission and Thermally Activated Delayed Fluorescence of Derivatives of 9-Phenyl-9H -Carbazole: Effects of Methoxy and tert -Butyl Substituents. Chem. A Eur. J. 2018, 24, 9581–9591. [Google Scholar] [CrossRef] [PubMed]
- Gao, P.; Feng, X.; Yang, X.; Enkelmann, V.; Baumgarten, M.; Müllen, K. Conjugated Ladder-Type Heteroacenes Bearing Pyrrole and Thiophene Ring Units: Facile Synthesis and Characterization. J. Org. Chem. 2008, 73, 9207–9213. [Google Scholar] [CrossRef]
- Gao, P.; Cho, D.; Yang, X.; Enkelmann, V.; Baumgarten, M.; Müllen, K. Heteroheptacenes with Fused Thiophene and Pyrrole Rings. Chem. A Eur. J. 2010, 16, 5119–5128. [Google Scholar] [CrossRef] [PubMed]
- Reig, M.; Puigdollers, J.; Velasco, D. Solid-state organization of n-type carbazole-based semiconductors for organic thin-film transistors. Phys. Chem. Chem. Phys. 2017, 20, 1142–1149. [Google Scholar] [CrossRef] [PubMed]
- Reig, M.; Bagdziunas, G.; Ramanavicius, A.; Puigdollers, J.; Velasco, D. Interface engineering and solid-state organization for triindole-based p-type organic thin-film transistors. Phys. Chem. Chem. Phys. 2018, 20, 17889–17898. [Google Scholar] [CrossRef]
- Lei, T.; Wang, J.-Y.; Pei, J. Roles of Flexible Chains in Organic Semiconducting Materials. Chem. Mater. 2014, 26, 594–603. [Google Scholar] [CrossRef]
- Sun, T.; Xia, L.; Huang, J.; Gu, Y.; Wang, P. A highly sensitive fluorescent probe for fast recognization of DTT and its application in one- and two-photon imaging. Talanta 2018, 187, 295–301. [Google Scholar] [CrossRef]
- Zhang, L.; Peng, S.; Sun, J.; Yao, J.; Kang, J.; Hu, Y.; Fang, J. A specific fluorescent probe reveals compromised activity of methionine sulfoxide reductases in Parkinson’s disease. Chem. Sci. 2017, 8, 2966–2972. [Google Scholar] [CrossRef]
- Crosby, G.A.; Demas, J.N. Measurement of photoluminescence quantum yields. Review. J. Phys. Chem. 1971, 75, 991–1024. [Google Scholar] [CrossRef]
- Cardona, C.M.; Li, W.; Kaifer, A.E.; Stockdale, D.; Bazan, G.C. Electrochemical Considerations for Determining Absolute Frontier Orbital Energy Levels of Conjugated Polymers for Solar Cell Applications. Adv. Mater. 2011, 23, 2367–2371. [Google Scholar] [CrossRef]
- Ghalgaoui, A.; Shimizu, R.; Hosseinpour, S.; Álvarez-Asencio, R.; McKee, C.; Johnson, C.M.; Rutland, M.W. Monolayer Study by VSFS: In Situ Response to Compression and Shear in a Contact. Langmuir 2014, 30, 3075–3085. [Google Scholar] [CrossRef] [PubMed]
- Song, D.; Wang, H.; Zhu, F.; Yang, J.; Tian, H.; Geng, Y.; Yan, D. Phthalocyanato Tin(IV) Dichloride: An Air-Stable, High-Performance, n-Type Organic Semiconductor with a High Field-Effect Electron Mobility. Adv. Mater. 2008, 20, 2142–2144. [Google Scholar] [CrossRef]
- Müllen, K.; Dierschke, F.; Grimsdale, A.C. Efficient Synthesis of 2,7-Dibromocarbazoles as Components for Electroactive Materials. Synthesis 2003, 2003, 2470–2472. [Google Scholar] [CrossRef]
- Freeman, A.W.; Urvoy, M.; Criswell, M.E. Triphenylphosphine-Mediated Reductive Cyclization of 2-Nitrobiphenyls: A Practical and Convenient Synthesis of Carbazoles. J. Org. Chem. 2005, 70, 5014–5019. [Google Scholar] [CrossRef]
- Miyaura, N.; Suzuki, A. Palladium-Catalyzed Cross-Coupling Reactions of Organoboron Compounds. Chem. Rev. 1995, 95, 2457–2483. [Google Scholar] [CrossRef]
- Lee, W.; Jenks, W.S. Photophysics and photostereomutation of Aryl methyl sulfoxides. J. Org. Chem. 2001, 66, 474–480. [Google Scholar] [CrossRef]
- Ding, F.; Xia, D.; Sun, W.; Chen, W.; Yang, Y.; Lin, K.; Zhang, F.; Guo, X. Sulfur-Containing Bent N-Heteroacenes. Chem. A Eur. J. 2019, 25, 15106–15111. [Google Scholar] [CrossRef]
- Yoshida, T.; Moriyama, Y.; Nakano, S. Fluorescence Properties of 2-Substituted 6-, 7- or 8-Methoxyquinoline-4-carboxylic Acid Derivatives. Chem. Pharm. Bull. 1992, 40, 1322–1324. [Google Scholar] [CrossRef][Green Version]
- de Leeuw, D.; Simenon, M.; Brown, A.; Einerhand, R. Stability of n-type doped conducting polymers and consequences for polymeric microelectronic devices. Synth. Met. 1997, 87, 53–59. [Google Scholar] [CrossRef]
- Choi, H.H.; Cho, K.; Frisbie, C.D.; Sirringhaus, H.; Podzorov, V. Critical assessment of charge mobility extraction in FETs. Nat. Mater. 2018, 17, 2–7. [Google Scholar] [CrossRef] [PubMed]
- McCulloch, I.; Salleo, A.; Chabinyc, M. Avoid the kinks when measuring mobility. Science 2016, 352, 1521–1522. [Google Scholar] [CrossRef] [PubMed]
- Campbell, J.E.; Yang, J.; Day, G.M. Predicted energy–structure–function maps for the evaluation of small molecule organic semiconductors. J. Mater. Chem. C 2017, 5, 7574–7584. [Google Scholar] [CrossRef]







| Structure | Solvent | ![]() | ![]() | ||||
|---|---|---|---|---|---|---|---|
| Comp. | λEm | Φf 1 | Comp. | λEm | Φf 1 | ||
![]() | Cyclohexane | 2a | 384 | 0.07 | 2b | 377, 388 | 0.33 |
| CH2Cl2 | 394 | 0.03 | 400 | 0.34 | |||
| CH3CN | 393 | 0.04 | 400 | 0.35 | |||
![]() | Cyclohexane | 7a | 360, 379 | 0.05 | 7b | 363, 382 | 0.15 |
| CH2Cl2 | 366, 384 | 0.05 | 367, 386 | 0.12 | |||
| CH3CN | 366, 383 | 0.05 | 367, 386 | 0.13 | |||
![]() | Cyclohexane | 3a | 406, 420 | 0.02 | 3b | 370, 384 | 0.17 |
| CH2Cl2 | 424 | 0.01 | 387 | 0.16 | |||
| CH3CN | 422, 431 | 0.01 | 374, 390 | 0.15 | |||
| Compound | Tm (°C) 1 | Td (°C) 1 | λAbs 2 | λEm 2 | Φf 2 | Egap (eV) 3 | oxEonset (V) 4 | IP (eV) 5 | EA (eV) 6 |
|---|---|---|---|---|---|---|---|---|---|
| 1a | 197 | 435 | 344, 361 | 438, 466 | 0.04 | 2.81 | 0.38 | 5.77 | 2.96 |
| 1b | 217 | 443 | 347, 365 | 432, 458 | 0.05 | 2.84 | 0.42 | 5.81 | 2.97 |
| Compound | Dielectric | µh,max (cm2 V−1 s−1) 1 | µh,avg (cm2 V−1 s−1) 2 | Ion/Ioff |
|---|---|---|---|---|
| 1a | OTS | 7.1 × 10−5 | (6.7 ± 0.5) × 10−5 | ~103 |
| PS | 4.4 × 10−4 | (3.7 ± 0.6) × 10−4 | ~104 | |
| 1b | OTS | 6.5 × 10−4 | (5.5 ± 0.7) × 10−4 | ~103 |
| PS | 1.1 × 10−3 | (1.0 ± 0.1) × 10−3 | ~104 |
Publisher’s Note: MDPI stays neutral with regard to jurisdictional claims in published maps and institutional affiliations. |
© 2021 by the authors. Licensee MDPI, Basel, Switzerland. This article is an open access article distributed under the terms and conditions of the Creative Commons Attribution (CC BY) license (https://creativecommons.org/licenses/by/4.0/).
Share and Cite
Bujaldón, R.; Puigdollers, J.; Velasco, D. Towards the Bisbenzothienocarbazole Core: A Route of Sulfurated Carbazole Derivatives with Assorted Optoelectronic Properties and Applications. Materials 2021, 14, 3487. https://doi.org/10.3390/ma14133487
Bujaldón R, Puigdollers J, Velasco D. Towards the Bisbenzothienocarbazole Core: A Route of Sulfurated Carbazole Derivatives with Assorted Optoelectronic Properties and Applications. Materials. 2021; 14(13):3487. https://doi.org/10.3390/ma14133487
Chicago/Turabian StyleBujaldón, Roger, Joaquim Puigdollers, and Dolores Velasco. 2021. "Towards the Bisbenzothienocarbazole Core: A Route of Sulfurated Carbazole Derivatives with Assorted Optoelectronic Properties and Applications" Materials 14, no. 13: 3487. https://doi.org/10.3390/ma14133487
APA StyleBujaldón, R., Puigdollers, J., & Velasco, D. (2021). Towards the Bisbenzothienocarbazole Core: A Route of Sulfurated Carbazole Derivatives with Assorted Optoelectronic Properties and Applications. Materials, 14(13), 3487. https://doi.org/10.3390/ma14133487






