The Thickness Effect of PSF Nanofibrous Mat on Fracture Toughness of Carbon/Epoxy Laminates
Abstract
:1. Introduction
2. Production of Polysulfone Nanofiber by the Electrospinning Method
3. Specimen Fabrication
4. Mode-I Quasi-Static Test
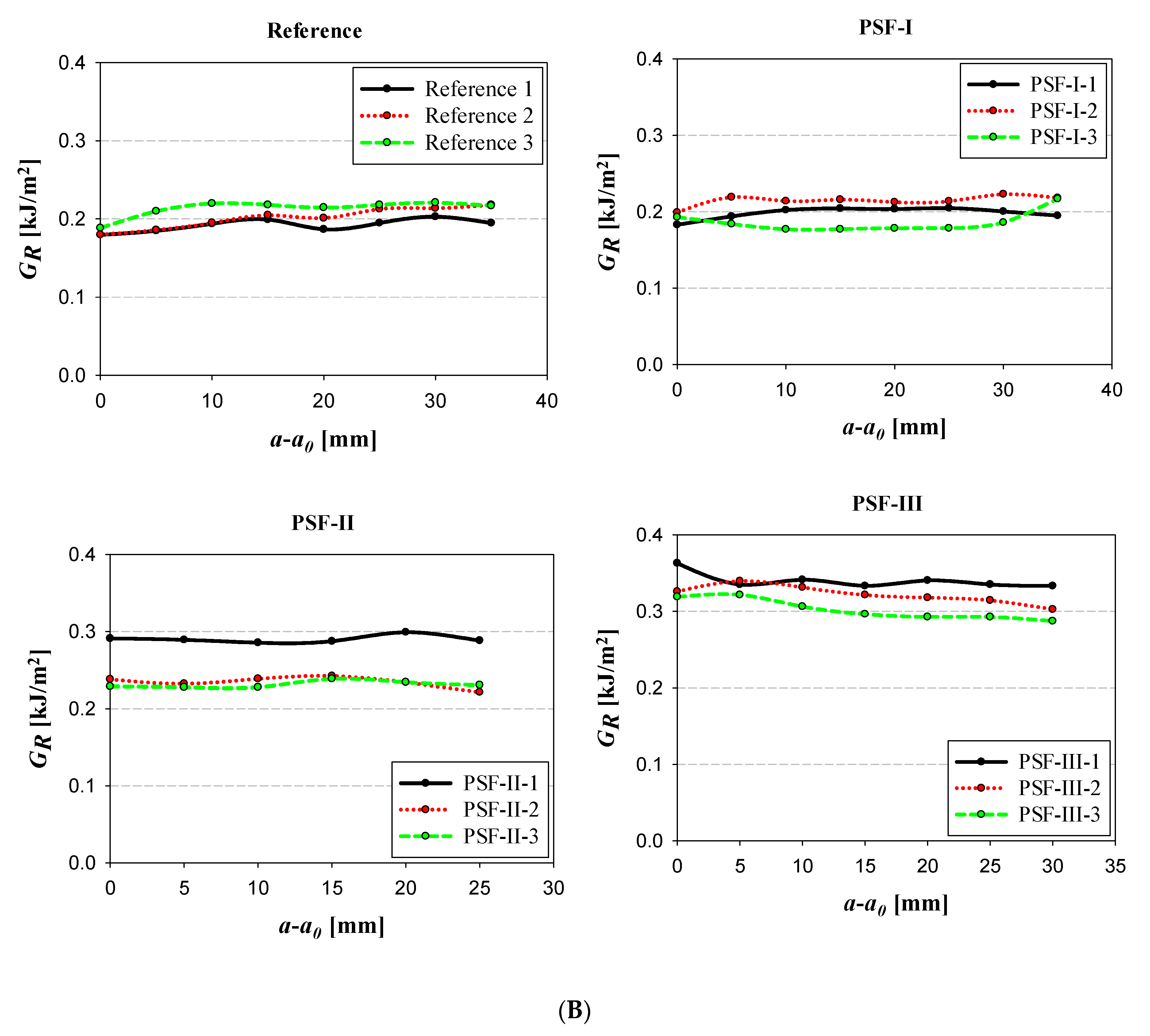
5. Results and Discussion
6. SEM Analysis
7. Conclusions
- The influence of 30 µm nanomat is negligible on fracture toughness;
- Increasing the mat thickness to 60 µm and 90 µm causes a 41% and 87% increase in the GIC, respectively;
- The fracture toughness of laminates is enhanced through the following mechanisms: bridging between layers, crack deviation, and the local plastic deformation of epoxy;
- Increasing the mat thickness leads to an increase in the number of PSF particles between composite layers. Thus, the possibility of the aforementioned toughening mechanisms occurring is also increased.
Author Contributions
Funding
Institutional Review Board Statement
Informed Consent Statement
Data Availability Statement
Conflicts of Interest
References
- Moallemzadeh, A.R.; Sabet, S.A.R.; Abedini, H.; Saghafi, H. Investigation into high velocity impact response of pre-loaded hybrid nanocomposite structure. Thin Walled Struct. 2019, 142, 405–413. [Google Scholar] [CrossRef]
- Liu, X.; Gu, W.; Liu, Q.; Lai, X.; Liu, L. Damage of hygrothermally conditioned carbon epoxy composites under high-velocity impact. Materials 2018, 11, 2525. [Google Scholar] [CrossRef] [Green Version]
- Romanowicz, P.; Muc, A. Estimation of notched composite plates fatigue life using residual strength model calibrated by step-wise tests. Materials 2018, 11, 2180. [Google Scholar] [CrossRef] [Green Version]
- D’Amore, A.; Grassia, L. Comparative Study of phenomenological residual strength models for composite materials sub-jected to fatigue: Predictions at constant amplitude (CA) loading. Materials 2019, 12, 3398. [Google Scholar] [CrossRef] [PubMed] [Green Version]
- Li, M.; Chen, P. A new FE model for predicting the bridging micromechanisms of a Z-pin. Compos. Struct. 2019, 223, 110957. [Google Scholar] [CrossRef]
- Bilisik, K.; Sapanci, E. Experimental determination of fracture toughness properties of nanostitched and nanoprepreg car-bon/epoxy composites. Eng. Fract. Mech. 2018, 189, 293–306. [Google Scholar] [CrossRef]
- Li, N.; Wang, G.D.; Melly, S.K.; Peng, T.; Li, Y.C.; Di Zhao, Q.; de Ji, S. Interlaminar properties of GFRP laminates toughened by CNTs buckypaper interlayer. Compos. Struct. 2019, 208, 13–22. [Google Scholar] [CrossRef]
- Saghafi, H.; Minak, G.; Zucchelli, A.; Brugo, T.M.; Heidary, H. Comparing various toughening mechanisms occurred in nano-modified laminates under impact loading. Compos. Part B Eng. 2019, 174, 106964. [Google Scholar] [CrossRef]
- Xuan, J.-Q.; Li, D.-S.; Jiang, L. Fabrication, properties and failure of 3D stitched carbon/epoxy composites with no stitching fibers damage. Compos. Struct. 2019, 220, 602–607. [Google Scholar] [CrossRef]
- Yudhanto, A.; Watanabe, N.; Iwahori, Y.; Hoshi, H. Compression properties and damage mechanisms of stitched carbon/epoxy composites. Compos. Sci. Technol. 2013, 86, 52–60. [Google Scholar] [CrossRef]
- Razavi, S.; Neisiany, R.E.; Khorasani, S.N.; Ramakrishna, S.; Berto, F. Effect of neat and reinforced polyacrylonitrile nanofibers incorporation on interlaminar fracture toughness of carbon/epoxy composite. Theor. Appl. Mech. Lett. 2018, 8, 126–131. [Google Scholar] [CrossRef]
- Klingler, A.; Bajpai, A.; Wetzel, B. The effect of block copolymer and core-shell rubber hybrid toughening on morphology and fracture of epoxy-based fibre reinforced composites. Eng. Fract. Mech. 2018, 203, 81–101. [Google Scholar] [CrossRef]
- Cheng, C.; Zhang, C.; Zhou, J.; Jiang, M.; Sun, Z.; Zhou, S.; Liu, Y.; Chen, Z.; Xu, L.; Zhang, H.; et al. Improving the interlaminar toughness of the carbon fiber/epoxy composites via interleaved with polyethersulfone porous films. Compos. Sci. Technol. 2019, 183, 107827. [Google Scholar] [CrossRef]
- Mohammadi, R.; Najafabadi, M.A.; Saghafi, H.; Saeedifar, M.; Zarouchas, D. The effect of mode II fatigue crack growth rate on the fractographic features of CFRP composite laminates: An acoustic emission and scanning electron microscopy analysis. Eng. Fract. Mech. 2021, 241, 107408. [Google Scholar] [CrossRef]
- Monteserín, C.; Blanco, M.; Murillo, N.; Pérez-Márquez, A.; Maudes, J.; Gayoso, J.; Laza, J.M.; Hernáez, E.; Aranzabe, E.; Vilas, J.L. Novel antibacterial and toughened carbon-fibre/epoxy composites by the incorporation of TiO2 nanoparticles modified electrospun nanofibre veils. Polymers 2019, 11, 1524. [Google Scholar] [CrossRef] [PubMed] [Green Version]
- Mourad, A.-H.I.; Idrisi, A.H.; Zaaroura, N.; Sherif, M.M.; Fouad, H. Damage assessment of nanofiller-reinforced woven kevlar KM2plus/Epoxy resin laminated composites. Polym. Test. 2020, 86, 106501. [Google Scholar] [CrossRef]
- Kim, J.; Nam, J.; Jeon, J.; Lee, S. A study on machining performances of micro-drilling of multi-directional carbon fiber reinforced plastic (MD-CFRP) based on nano-solid dry lubrication using graphene nanoplatelets. Materials 2021, 14, 685. [Google Scholar] [CrossRef] [PubMed]
- Mahendrarajah, G.; Kandare, E.; Khatibi, A.A. Enhancing the fracture toughness properties by introducing anchored nano-architectures at the metal–FRP composite interface. J. Compos. Sci. 2019, 3, 17. [Google Scholar] [CrossRef] [Green Version]
- Li, G.; Li, P.; Zhang, C.; Yu, Y.; Liu, H.; Zhang, S.; Jia, X.; Yang, X.; Xue, Z.; Ryu, S. Inhomogeneous toughening of carbon fi-ber/epoxy composite using electrospun polysulfone nanofibrous membranes by in situ phase separation. Compos. Sci. Technol. 2008, 68, 987–994. [Google Scholar] [CrossRef]
- Yao, J.; Niu, K.; Niu, Y.; Zhang, T. Toughening efficiency and mechanism of carbon fibre epoxy matrix composites by PEK-C. Compos. Struct. 2019, 229, 111431. [Google Scholar] [CrossRef]
- Saghafi, H.; Ghaffarian, S.R.; Yademellat, H.; Heidary, H. Finding the best sequence in flexible and stiff composite laminates interleaved by nanofibers. J. Compos. Mater. 2019, 53, 4065–4076. [Google Scholar] [CrossRef]
- Ahmadloo, E.; Gharehaghaji, A.; Latifi, M.; Saghafi, H.; Mohammadi, N. Effect of PA66 nanofiber yarn on tensile fracture toughness of reinforced epoxy nanocomposite. Proc. Inst. Mech. Eng. Part. C J. Mech. Eng. Sci. 2018, 233, 2033–2043. [Google Scholar] [CrossRef]
- Yademellat, H.; Nikbakht, A.; Saghafi, H.; Sadighi, M. Experimental and numerical investigation of low velocity impact on electrospun nanofiber modified composite laminates. Compos. Struct. 2018, 200, 507–514. [Google Scholar] [CrossRef]
- Gholizadeh, A.; Najafabadi, M.A.; Saghafi, H.; Mohammadi, R. Considering damages to open-holed composite laminates modified by nanofibers under the three-point bending test. Polym. Test. 2018, 70, 363–377. [Google Scholar] [CrossRef]
- Garcia, C.; Trendafilova, I.; Zucchelli, A. The Effect of polycaprolactone nanofibers on the dynamic and impact behavior of glass fibre reinforced polymer composites. J. Compos. Sci. 2018, 2, 43. [Google Scholar] [CrossRef] [Green Version]
- Barzoki, P.K.; Latifi, M.; Rezadoust, A. The outstanding effect of nanomat geometry on the interlaminar fracture toughness behavior out of autoclave made glass/phenolic composites under mode-I loading. Eng. Fract. Mech. 2019, 205, 108–119. [Google Scholar] [CrossRef]
- Dzenis, Y.A.; Reneker, D.H. Delamination Resistant Composites Prepared by Small Diameter Fiber Reinforcement at Ply in-Terfaces. US Patent 6265333, 24 July 2001. [Google Scholar]
- Saghafi, H.; Fotouhi, M.; Minak, G. Improvement of the impact properties of composite laminates by means of nano-modification of the matrix—A review. Appl. Sci. 2018, 8, 2406. [Google Scholar] [CrossRef] [Green Version]
- Aljarrah, M.T.; Abdelal, N.R. Improvement of the mode I interlaminar fracture toughness of carbon fiber composite rein-forced with electrospun nylon nanofiber. Compos. Part B Eng. 2019, 165, 379–385. [Google Scholar] [CrossRef]
- Kelkar, A.D.; Mohan, R.; Bolick, R.; Shendokar, S. Effect of nanoparticles and nanofibers on Mode I fracture toughness of fiber glass reinforced polymeric matrix composites. Mater. Sci. Eng. B 2010, 168, 85–89. [Google Scholar] [CrossRef]
- Ahmadloo, E.; Gharehaghaji, A.A.; Latifi, M.; Mohammadi, N.; Saghafi, H. How fracture toughness of epoxy-based nano-composite is affected by PA66 electrospun nanofiber yarn. Eng. Fract. Mech. 2017, 182, 62–73. [Google Scholar] [CrossRef]
- Saghafi, H.; Brugo, T.; Minak, G.; Zucchelli, A. Improvement the impact damage resistance of composite materials by inter-leaving Polycaprolactone nanofibers. Eng. Solid Mech. 2015, 3, 21–26. [Google Scholar] [CrossRef]
- Mohammadi, R.; Najafabadi, M.A.; Saghafi, H.; Zarouchas, D. Fracture and fatigue behavior of carbon/epoxy laminates modified by nanofibers. Compos. Part. A Appl. Sci. Manuf. 2020, 137, 106015. [Google Scholar] [CrossRef]
- Zhang, J.; Yang, T.; Lin, T.; Wang, C.H. Phase morphology of nanofibre interlayers: Critical factor for toughening car-bon/epoxy composites. Compos. Sci. Technol. 2012, 72, 256–262. [Google Scholar] [CrossRef]
- Magniez, K.; De Lavigne, C.; Fox, B.L. The effects of molecular weight and polymorphism on the fracture and ther-mo-mechanical properties of a carbon-fibre composite modified by electrospun poly (vinylidene fluoride) membranes. Polymer 2010, 51, 2585–2596. [Google Scholar] [CrossRef]
- Saghafi, H.; Moallemzadeh, A.R.; Zucchelli, A.; Brugo, T.; Minak, G. Shear mode of fracture in composite laminates toughened by polyvinylidene fluoride nanofibers. Compos. Struct. 2019, 227, 111327. [Google Scholar] [CrossRef]
- Saghafi, H.; Palazzetti, R.; Heidary, H.; Brugo, T.M.; Zucchelli, A.; Minak, G. Toughening behavior of carbon/epoxy laminates interleaved by PSF/PVDF composite nanofibers. Appl. Sci. 2020, 10, 5618. [Google Scholar] [CrossRef]
- Hamer, S.; Leibovich, H.; Green, A.; Avrahami, R.; Zussman, E.; Siegmann, A.; Sherman, D. Mode I and Mode II fracture energy of MWCNT reinforced nanofibrilmats interleaved carbon/epoxy laminates. Compos. Sci. Technol. 2014, 90, 48–56. [Google Scholar] [CrossRef]
- Daelemans, L.; Van Der Heijden, S.; De Baere, I.; Rahier, H.; Van Paepegem, W.; De Clerck, K. Damage-resistant composites using electrospun nanofibers: A multiscale analysis of the toughening mechanisms. ACS Appl. Mater. Interfaces 2016, 8, 11806–11818. [Google Scholar] [CrossRef]
- Daelemans, L.; Cohades, A.; Meireman, T.; Beckx, J.; Spronk, S.; Kersemans, M.; De Baere, I.; Rahier, H.; Michaud, V.; Van Paepegem, W.; et al. Electrospun nanofibrous interleaves for improved low velocity impact resistance of glass fibre rein-forced composite laminates. Mater. Des. 2018, 141, 170–184. [Google Scholar] [CrossRef]
- Gholizadeh, A.; Najafabadi, M.A.; Saghafi, H.; Mohammadi, R. Considering damage during fracture tests on nanomodified laminates using the acoustic emission method. Eur. J. Mech. A Solids 2018, 72, 452–463. [Google Scholar] [CrossRef]
- Mohammadi, R.; Najafabadi, M.A.; Saghafi, H.; Saeedifar, M.; Zarouchas, D. A quantitative assessment of the damage mechanisms of CFRP laminates interleaved by PA66 electrospun nanofibers using acoustic emission. Compos. Struct. 2021, 258, 113395. [Google Scholar] [CrossRef]
- Mohammadi, R.; Najafabadi, M.A.; Saghafi, H.; Zarouchas, D. Mode-II fatigue response of AS4/8552 carbon /epoxy composite laminates interleaved by electrospun nanofibers. Thin Walled Struct. 2020, 154, 106811. [Google Scholar] [CrossRef]
- Ekhtiyari, A.; Shokrieh, M.M.; Alderliesten, R. Loading rate effects on mode-I delamination in glass/epoxy and glass/CNF/epoxy laminated composites. Eng. Fract. Mech. 2020, 228, 106908. [Google Scholar] [CrossRef] [Green Version]
- Wang, P.; Liu, W.; Zhang, X.; Lu, X.; Yang, J. Enhanced fracture toughness of carbon fabric/epoxy laminates with pristine and functionalized stacked-cup carbon nanofibers. Eng. Fract. Mech. 2015, 148, 73–81. [Google Scholar] [CrossRef]
- Brugo, T.; Palazzetti, R. The effect of thickness of Nylon 6,6 nanofibrous mat on Modes I–II fracture mechanics of UD and woven composite laminates. Compos. Struct. 2016, 154, 172–178. [Google Scholar] [CrossRef] [Green Version]
- Saghafi, H.; Ghaffarian, S.; Brugo, T.; Minak, G.; Zucchelli, A.; Saghafi, H. The effect of nanofibrous membrane thickness on fracture behaviour of modified composite laminates—A numerical and experimental study. Compos. Part. B Eng. 2016, 101, 116–123. [Google Scholar] [CrossRef]
- Barzoki, P.K.; Rezadoust, A.; Latifi, M.; Saghafi, H.; Minak, G. Effect of nanofiber diameter and arrangement on fracture toughness of out of autoclave glass/phenolic composites—Experimental and numerical study. Thin Walled Struct. 2019, 143, 106251. [Google Scholar] [CrossRef]
- Zheng, N.; Huang, Y.; Liu, H.-Y.; Gao, J.; Mai, Y.-W. Improvement of interlaminar fracture toughness in carbon fiber/epoxy composites with carbon nanotubes/polysulfone interleaves. Compos. Sci. Technol. 2017, 140, 8–15. [Google Scholar] [CrossRef] [Green Version]
- Li, P.; Liu, D.; Zhu, B.; Li, B.; Jia, X.; Wang, L.; Li, G.; Yang, X. Synchronous effects of multiscale reinforced and toughened CFRP composites by MWNTs-EP/PSF hybrid nanofibers with preferred orientation. Compos. Part. A Appl. Sci. Manuf. 2015, 68, 72–80. [Google Scholar] [CrossRef]
- Li, G.; Li, P.; Yu, Y.; Jia, X.; Zhang, S.; Yang, X.; Ryu, S. Novel carbon fiber/epoxy composite toughened by electrospun poly-sulfone nanofibers. Mater. Lett. 2008, 62, 511–514. [Google Scholar] [CrossRef]
- Zheng, N.; Sun, W.; Liu, H.-Y.; Huang, Y.; Gao, J.; Mai, Y.-W. Effects of carboxylated carbon nanotubes on the phase separation behaviour and fracture-mechanical properties of an epoxy/polysulfone blend. Compos. Sci. Technol. 2018, 159, 180–188. [Google Scholar] [CrossRef]
- Zarei, H.; Brugo, T.; Belcari, J.; Bisadi, H.; Minak, G.; Zucchelli, A. Low velocity impact damage assessment of GLARE fi-ber-metal laminates interleaved by Nylon 6,6 nanofiber mats. Compos. Struct. 2017, 167, 123–131. [Google Scholar] [CrossRef]
- Hexcel Product Data. HexPly® 8552 Epoxy Matrix (180°C/356°F Curing Matrix); FTA 072e; Hexcel Composites Publication: Stamford, CT, USA, 2013. [Google Scholar]
- ASTM D5528-94a, Standard Test Method for Mode I Interlaminar Fracture Toughness of Unidirectional Fiber-Reinforced Polymer Matrix Compo-Sites; ASTM International: West Conshohocken, PA, USA, 1994.
- Barzoki, P.K.; Rezadoust, A.; Latifi, M.; Saghafi, H. The experimental and numerical study on the effect of PVB nanofiber mat thickness on interlaminar fracture toughness of glass/phenolic composites. Eng. Fract. Mech. 2018, 194, 145–153. [Google Scholar] [CrossRef]
- Cai, S.; Li, Y.; Liu, H.-Y.; Mai, Y.-W. Effect of electrospun polysulfone/cellulose nanocrystals interleaves on the interlaminar fracture toughness of carbon fiber/epoxy composites. Compos. Sci. Technol. 2019, 181, 107673. [Google Scholar] [CrossRef]






| Sample Specifications | Abbreviation | Nanofiber Thickness (µm) |
|---|---|---|
| Specimens without toughener(reference) | Ref | 0 |
| Specimens with 1 layer of polysulfone nanofibers | PSF-I | 30 ± 2 |
| Specimens with 2 layers of polysulfone nanofibers | PSF-II | 60 ± 3 |
| Specimens with 3 layers of polysulfone nanofibers | PSF-III | 90 ± 5 |
| Specimen Code | δ1cr (mm) | Pcr (N) | Δ (mm) | GIC (kJ/m2) | δcr (Ave.) | Pcr (Ave.) | Δ (Ave.) | GIC (Ave.) | Increase Percent(%) |
|---|---|---|---|---|---|---|---|---|---|
| Ref-1 | 1.87 | 84.8 | 8.36 | 0.19613 | 1.9 ± 0.037 | 79.52 ± 5.1 | 10.46 ± 2.57 | 0.179 ± 0.017 | |
| Ref-2 | 1.88 | 79.2 | 9.69 | 0.17917 | |||||
| Ref-3 | 1.94 | 74.6 | 13.33 | 0.16213 | |||||
| PSF-I-1 | 2.02 | 75.1 | 9.61 | 0.18311 | 2.07 ± 0.045 | 75.68 ± 1.9 | 8.91 ± 1.16 | 0.191 ± 0.007 | 6 |
| PSF-I-2 | 2.11 | 77.8 | 9.56 | 0.19816 | |||||
| PSF-I-3 | 2.08 | 74.1 | 7.58 | 0.19395 | |||||
| PSF-II-1 | 2.51 | 95.9 | 9.35 | 0.29181 | 2.39 ± 0.108 | 88.17 ± 6.9 | 9.88 0.739 | 0.253 ± 0.033 | 41 |
| PSF-II-2 | 2.30 | 86.2 | 9.58 | 0.23896 | |||||
| PSF-II-3 | 2.36 | 82.5 | 10.73 | 0.22971 | |||||
| PSF-III-1 | 2.63 | 108.4 | 6.89 | 0.36335 | 2.63 ± 0.015 | 103.15 ± 4.9 | 8.22 ± 1.15 | 0.336 ± 0.023 | 87 |
| PSF-III-2 | 2.61 | 102.4 | 8.93 | 0.32649 | |||||
| PSF-III-3 | 2.64 | 98.7 | 8.85 | 0.31918 |
Publisher’s Note: MDPI stays neutral with regard to jurisdictional claims in published maps and institutional affiliations. |
© 2021 by the authors. Licensee MDPI, Basel, Switzerland. This article is an open access article distributed under the terms and conditions of the Creative Commons Attribution (CC BY) license (https://creativecommons.org/licenses/by/4.0/).
Share and Cite
Saghafi, H.; Nikbakht, A.; Mohammadi, R.; Zarouchas, D. The Thickness Effect of PSF Nanofibrous Mat on Fracture Toughness of Carbon/Epoxy Laminates. Materials 2021, 14, 3469. https://doi.org/10.3390/ma14133469
Saghafi H, Nikbakht A, Mohammadi R, Zarouchas D. The Thickness Effect of PSF Nanofibrous Mat on Fracture Toughness of Carbon/Epoxy Laminates. Materials. 2021; 14(13):3469. https://doi.org/10.3390/ma14133469
Chicago/Turabian StyleSaghafi, Hamed, Ali Nikbakht, Reza Mohammadi, and Dimitrios Zarouchas. 2021. "The Thickness Effect of PSF Nanofibrous Mat on Fracture Toughness of Carbon/Epoxy Laminates" Materials 14, no. 13: 3469. https://doi.org/10.3390/ma14133469
APA StyleSaghafi, H., Nikbakht, A., Mohammadi, R., & Zarouchas, D. (2021). The Thickness Effect of PSF Nanofibrous Mat on Fracture Toughness of Carbon/Epoxy Laminates. Materials, 14(13), 3469. https://doi.org/10.3390/ma14133469
