EPR Spectra of Sintered Cd1−xCrxTe Powdered Crystals with Various Cr Content
Abstract
1. Introduction
2. Materials and Methods
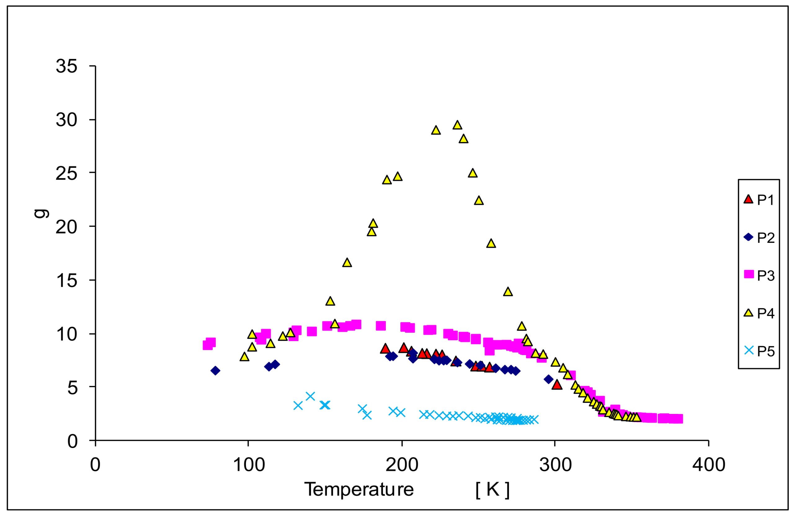
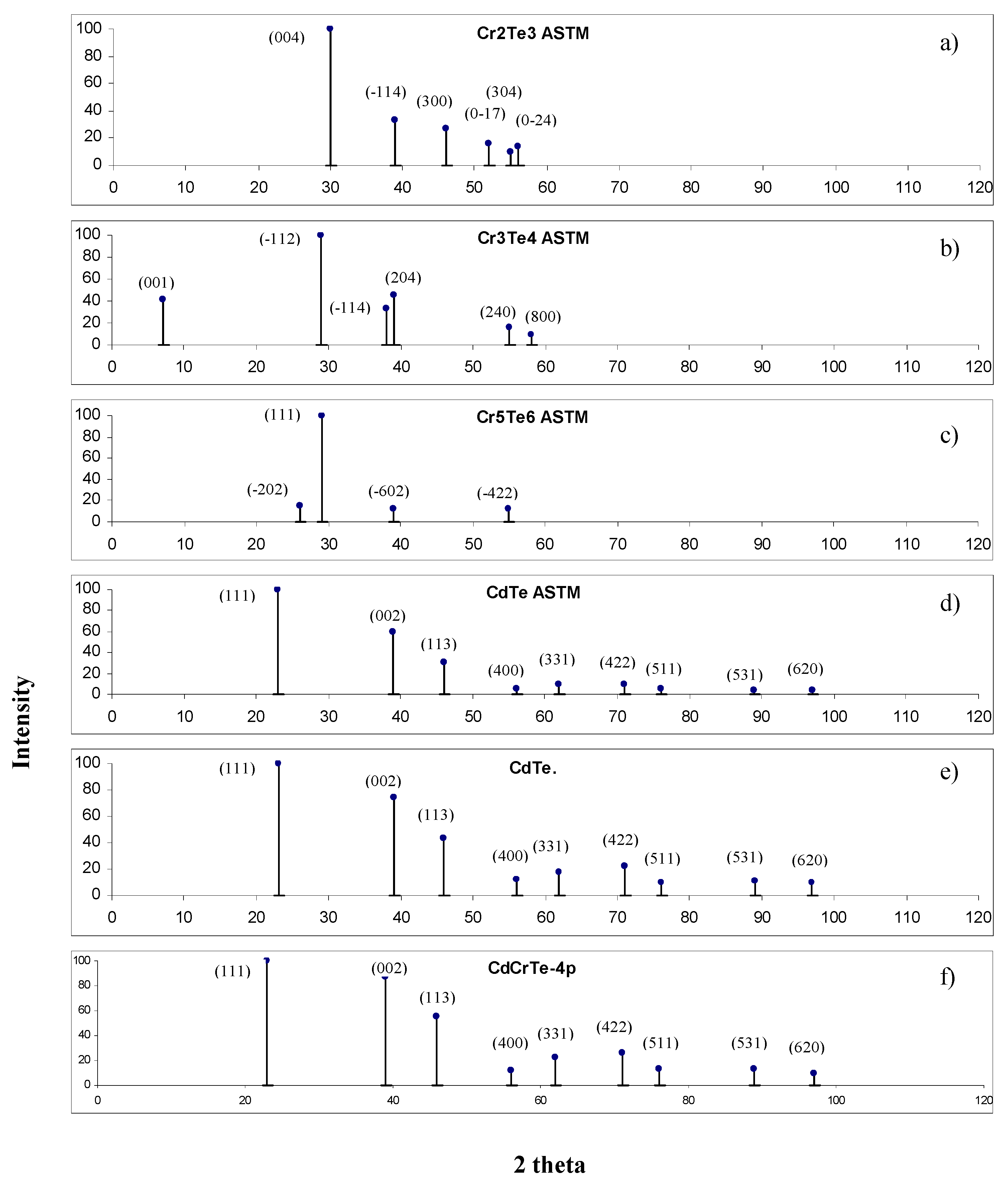
3. Results
4. Discussion
5. Conclusions
Author Contributions
Funding
Institutional Review Board Statement
Informed Consent Statement
Data Availability Statement
Conflicts of Interest
References
- Dobrowolski, W.; Kossut, J.; Story, T. II-VI and IV-VI Diluted Magnetic Semiconductors—New Bulk Materials and Low-Dimensional Quantum Structures. Handb. Magn. Mater. 2003, 15, 289–377. [Google Scholar]
- Kacman, P. Spin interactions in diluted magnetic semiconductors and magnetic semiconductor structures. Semicond. Sci. Technol. 2001, 16, R25–R39. [Google Scholar] [CrossRef]
- Awschalon, D.D.; Loss, D. Semiconductors Spintronics and Quantum Computation; Springer: Berlin/Heidelberg, Germany, 2002; ISBN 9783642075773. [Google Scholar]
- Ohno, H. Making nonmagnetic semiconductors ferromagnetic. Science 1998, 281, 951–956. [Google Scholar] [CrossRef] [PubMed]
- Wolf, S.A.; Awschalom, D.D.; Buhrman, R.A.; Daughton, J.M.; Von Molnár, S.; Roukes, M.L.; Chtchelkanova, A.Y.; Treger, D.M. Spintronics: A spin-based electronics vision for the future. Science 2001, 294, 1488–1495. [Google Scholar] [CrossRef]
- Laref, A.; AlMudlej, A.; Laref, S.; Yang, J.T.; Xiong, Y.C.; Luo, S.J. Ab-initio investigations of magnetic properties and induced half-metallicity in Ga1−xMnxP (x = 0.03, 0.25, 0.5, and 0.75) Alloys. Materials 2017, 10, 766. [Google Scholar] [CrossRef]
- Ohno, H.; Munekata, H.; Penney, T.; Von Molnar, S.; Chang, L.L. Magnetotransport properties of p-type (In,Mn)As diluted magnetic III–V semiconductors. Phys. Rev. Lett. 1992, 68, 2664–2667. [Google Scholar] [CrossRef] [PubMed]
- Ohno, H.; Shen, A.; Matsukura, F.; Oiwa, A.; Endo, A.; Katsumoto, S.; Iye, Y. (Ga,Mn)As: A new diluted magnetic semiconductor based on GaAs. Appl. Phys. Lett. 1996, 69, 363–365. [Google Scholar] [CrossRef]
- Yu, P.; Jiang, B.; Chen, Y.; Zheng, J.; Luan, L. Study on In-Doped CdMgTe Crystals Grown by a Modified Vertical Bridgman Method Using the ACRT Technique. Materials 2019, 12, 4236. [Google Scholar] [CrossRef] [PubMed]
- Yavorskiy, D.; Szoła, M.; Karpierz, K.; Rudniewski, R.; Bozek, R.; Karczewski, G.; Wojtowicz, T.; Wróbel, J.; Łusakowski, J. Polarization of magnetoplasmons in grating metamaterials based on CdTe/CdMgTe quantum wells. Materials 2020, 13, 1811. [Google Scholar] [CrossRef]
- Furdyna, J.K.; Kossut, J. Semiconductors and Semimetals; Willardson, R.K., Beer, A.C., Eds.; Academic Press, Inc.: Cambridge, MA, USA, 1988; Volume 25, ISBN 9780080864228. [Google Scholar]
- Sayad, H.A.; Bhagat, S.M. Dynamic random fields in diluted magnetic semiconductors: Cd1−xMnxTe. Phys. Rev. B 1985, 31, 591–593. [Google Scholar] [CrossRef]
- Oseroff, S.B. Magnetic susceptibility and EPR measurements in concentrated spin-glasses: Cd1−xMnxTe and Cd1−xMnxSe. Phys. Rev. B 1982, 25, 6584–6594. [Google Scholar] [CrossRef]
- Matsukura, F.; Ohno, H.; Shen, A.; Sugawara, Y. Transport properties and origin of ferromagnetism in (Ga, Mn)As. Phys. Rev. B Condens. Matter Mater. Phys. 1998, 57, R2037–R2040. [Google Scholar] [CrossRef]
- Dietl, T.; Ohno, H.; Matsukura, F.; Cibert, J.; Ferrand, D. Zener Model Description of Ferromagnetism in Zinc-Blende Magnetic Semiconductors. Science 2000, 287, 1019–1022. [Google Scholar] [CrossRef]
- Dietl, T. Ferromagnetic semiconductors. Semicond. Sci. Technol. 2002, 17, 377–392. [Google Scholar] [CrossRef]
- Jungwirth, T.; König, J.; Sinova, J.; Kučera, J.; MacDonald, A.H. Curie temperature trends in (III,Mn)V ferromagnetic semiconductors. Phys. Rev. B Condens. Matter Mater. Phys. 2002, 66, 124021–124024. [Google Scholar] [CrossRef]
- Lu, X.; Tsoi, S.; Miotkowski, I.; Rodriguez, S.; Ramdas, A.K.; Alawadhi, H. Raman electron paramagnetic resonance in Zn1−xCrxTe and Cd1−xCrxTe. Phys. Rev. B Condens. Matter Mater. Phys. 2007, 75, 155206. [Google Scholar] [CrossRef]
- Lu, X.; Miotkowski, I.; Rodriguez, S.; Ramdas, A.K.; Alawadhi, H.; Pekarek, T.M. Magnetization and spin-flip Raman scattering in Cd1−xCrxSe and Cd1−xVxSe. Phys. Rev. B Condens. Matter Mater. Phys. 2012, 86, 115213. [Google Scholar] [CrossRef]
- Blinowski, J.; Kacman, P.; Majewski, J.A. Ferromagnetism in Cr-based diluted magnetic semiconductors. J. Cryst. Growth 1996, 159, 972–975. [Google Scholar] [CrossRef]
- Sajjad, M.; Zhang, H.X.; Noor, N.A.; Alay-E-Abbas, S.M.; Shaukat, A.; Mahmood, Q. Study of half-metallic ferromagnetism in V-doped CdTe alloys by using first-principles calculations. J. Magn. Magn. Mater. 2013, 343, 177–183. [Google Scholar] [CrossRef]
- Amari, S.; Méçabih, S.; Abbar, B.; Bouhafs, B. Half-metallic ferromagnetism in ZnCrTe and CdCrTe: Ab initio study. Comput. Mater. Sci. 2011, 50, 2785–2792. [Google Scholar] [CrossRef]
- Ge, X.F.; Zhang, Y.M. First-principles study of half-metallic ferromagnetism in Zn1−xCrxSe. J. Magn. Magn. Mater. 2009, 321, 198–202. [Google Scholar] [CrossRef]
- Saito, H.; Yamagata, S.; Ando, K. Magnetoresistance in a room temperature ferromagnetic diluted magnetic semiconductor Zn1−xCrxTe. AIP J. Appl. Phys. 2004, 95, 7175–7177. [Google Scholar] [CrossRef]
- Jia, X.; Qin, M.; Yang, W. Magnetism in Cr-doped ZnS: Density-functional theory studies. J. Phys. D. Appl. Phys. 2009, 42, 235001. [Google Scholar] [CrossRef][Green Version]
- Soundararajan, D.; Mangalaraj, D.; Nataraj, D.; Dorosinskii, L.; Santoyo-Salazar, J.; Jeon, H.C.; Kang, T.W. Magnetic studies on ZnTe:Cr film grown on glass substrate by thermal evaporation method. Appl. Surf. Sci. 2009, 255, 7517–7523. [Google Scholar] [CrossRef]
- Nazir, S.; Ikram, N.; Siddiqi, S.A.; Saeed, Y.; Shaukat, A.; Reshak, A.H. First principles density functional calculations of half-metallic ferromagnetism in Zn1−xCrxS and Cd1−xCrxS. Curr. Opin. Solid State Mater. Sci. 2010, 14, 1–6. [Google Scholar] [CrossRef]
- Noor, N.A.; Ali, S.; Shaukat, A. First principles study of half-metallic ferromagnetism in Cr-doped CdTe. J. Phys. Chem. Solids 2011, 72, 836–841. [Google Scholar] [CrossRef]
- Ludwig, G.W.; Lorenz, M.R. Paramagnetic resonance of chromium in CdTe. Phys. Rev. 1963, 131, 601–604. [Google Scholar] [CrossRef]
- Vallin, J.T.; Watkins, G.D. EPR of Cr2+ in II–VI lattices. Phys. Rev. B 1974, 9, 2051–2072. [Google Scholar] [CrossRef]
- Stefaniuk, I.; Bester, M.; Virt, I.S.; Kuzma, M. EPR spectra of Cr in CdTe crystals. Acta Phys. Pol. A 2005, 108, 413–418. [Google Scholar] [CrossRef]
- Stefaniuk, I.; Bester, M.; Kuzma, M. Ferromagnetic resonance in CdCrTe solid solution. J. Phys. Conf. Ser. 2008, 104, 012010. [Google Scholar] [CrossRef]
- Mac, W.; Twardowski, A.; Eggenkamp, P.J.T.; Swagten, H.J.M.; Shapira, Y.; Demianiuk, M. Magnetic properties of Cr-based diluted magnetic semiconductors. Phys. Rev. B 1994, 50, 14144–14154. [Google Scholar] [CrossRef] [PubMed]
- Ko, K.Y.; Blamire, M.G. Temperature dependent magnetization in Cr-doped CdTe crystals. Appl. Phys. Lett. 2006, 88, 172101. [Google Scholar] [CrossRef]
- Ko, K.Y.; Blamire, M.G. Temperature-induced magnetic phase transition in bulk Cr-doped CdTe Crystals. J. Korean Phys. Soc. 2006, 49, 591–595. [Google Scholar]
- Sonoda, S.; Shimizu, S.; Sasaki, T.; Yamamoto, Y.; Hori, H. Molecular beam epitaxy of wurtzite (Ga, Mn)N films on sapphire(0 0 0 1) showing the ferromagnetic behaviour at room temperature. J. Cryst. Growth 2002, 237–239, 1358–1362. [Google Scholar] [CrossRef]
- Theodoropoulou, N.; Hebard, A.F.; Overberg, M.E.; Abernathy, C.R.; Pearton, S.J.; Chu, S.N.G.; Wilson, R.G. Magnetic and structural properties of Mn-implanted GaN. Appl. Phys. Lett. 2001, 78, 3475–3477. [Google Scholar] [CrossRef]
- Reed, M.L.; El-Masry, N.A.; Stadelmaier, H.H.; Ritums, M.K.; Reed, M.J.; Parker, C.A.; Roberts, J.C.; Bedair, S.M. Room temperature ferromagnetic properties of (Ga, Mn)N. Appl. Phys. Lett. 2001, 79, 3473–3475. [Google Scholar] [CrossRef]
- Hashimoto, M.; Zhou, Y.K.; Kanamura, M.; Asahi, H. High temperature (>400 K) ferromagnetism in III–V-based diluted magnetic semiconductor GaCrN grown by ECR molecular-beam epitaxy. Solid State Commun. 2002, 122, 37–39. [Google Scholar] [CrossRef]
- Pekarek, T.M.; Luning, J.E.; Miotkowski, I.; Crooker, B.C. Magnetization and heat-capacity measurements on Zn1−xCrxTe. Phys. Rev. B 1994, 50, 16914–16920. [Google Scholar] [CrossRef]
- Pekarek, T.M.; Arenas, D.J.; Crooker, B.C.; Miotkowski, I.; Ramdas, A.K. Magnetic measurements on ferromagnetic behavior in the bulk II–VI diluted magnetic semiconductor Zn1−xCrxTe. J. Appl. Phys. 2004, 95, 7178–7180. [Google Scholar] [CrossRef]
- Saito, H.; Zayets, V.; Yamagata, S.; Ando, K. Room-temperature ferromagnetism in highly Cr-doped II–VI diluted magnetic semiconductor Zn1−xCrxTe. AIP J. Appl. Phys. 2003, 93, 6796–6798. [Google Scholar] [CrossRef]
- Dahal, J.N.; Ali, K.S.; Mishra, S.R.; Alam, J. Structural, Magnetic, and Mössbauer Studies of Transition Metal-Doped Gd2Fe16Ga0.5TM0.5 Intermetallic Compounds (TM = Cr, Mn, Co, Ni, Cu, and Zn). Magnetochemistry 2018, 4, 54. [Google Scholar] [CrossRef]
- Popovych, V.D.; Virt, I.S.; Sizov, F.F.; Tetyorkin, V.V.; Tsybrii (Ivasiv), Z.F.; Darchuk, L.O.; Parfenjuk, O.A.; Ilashchuk, M.I. The effect of chlorine doping concentration on the quality of CdTe single crystals grown by the modified physical vapor transport method. J. Cryst. Growth 2007, 308, 63–70. [Google Scholar] [CrossRef]
- Larson, B.E.; Ehrenreich, H. Anisotropic superexchange and spin-resonance linewidth in diluted magnetic semiconductors. Phys. Rev. B 1989, 39, 1747–1759. [Google Scholar] [CrossRef] [PubMed]
- Son, P.K.; Heo, K.C.; Ok, C.I.; Jeen, G.S.; Kim, J.W. EPR lineshape and g-factor of Cd1−xMnxTe. J. Korean Phys. Soc. 2000, 37, 287–289. [Google Scholar]
- Shames, A.I.; Rozenberg, E.; Martin, C.; Maignan, A.; Raveau, B.; André, G.; Gorodetsky, G. Crystallographic structure and magnetic ordering in CaMn1−xRuxO3 (x ≤ 0.40) manganites: Neutron diffraction, ac susceptibility, and electron magnetic resonance studies. Phys. Rev. B Condens. Matter Mater. Phys. 2004, 70, 134433. [Google Scholar] [CrossRef]
- Joshi, J.P.; Sood, A.K.; Bhat, S.V.; Parashar, S.; Raju, A.R.; Rao, C.N.R. An electron paramagnetic resonance study of phase segregation in Nd0.5Sr0.5MnO3. J. Magn. Magn. Mater. 2004, 279, 91–102. [Google Scholar] [CrossRef][Green Version]
- Abragam, A.; Bleaney, B. Electron Paramagnetic Resonance of Transition Ions; Oxford University Press: Oxford, UK, 2012; ISBN 9780199651528. [Google Scholar]
- Weil, J.A.; Bolton, J.R.; Wertz, J.E. Electron Paramagnetic Resonance: Elementary Theory and Practical Applications; John Wiley & Sons, Interscience: Hoboken, NJ, USA, 1994; Volume 113, ISBN 0471572349. [Google Scholar]
- Kittel, C. On the theory of ferromagnetic resonance absorption. Phys. Rev. 1948, 73, 155–161. [Google Scholar] [CrossRef]
- Dijkstra, J.; Weitering, H.H.; Van Bruggen, C.F.; Haas, C.; De Groot, R.A. Band-structure calculations, and magnetic and transport properties of ferromagnetic chromium tellurides (CrTe, Cr3Te4, Cr2Te3). J. Phys. Condens. Matter 1989, 1, 9141–9161. [Google Scholar] [CrossRef]
- Dyck, J.S.S.; Drašar, Č.; Lošt’ák, P.; Uher, C. Low-temperature ferromagnetic properties of the diluted magnetic semiconductor Sb2−xCrxTe3. Phys. Rev. B Condens. Matter Mater. Phys. 2005, 71, 115214. [Google Scholar] [CrossRef]
- Huber, D.L.; Alejandro, G.; Caneiro, A.; Causa, M.T.; Prado, F.; Tovar, M.; Oseroff, S.B. EPR linewidths in La1−xCaxMnO3 0 < x < 1. Phys. Rev. B 1999, 60, 12155–12161. [Google Scholar] [CrossRef]
- de Biasi, R.S.; Gondim, E.C. Use of ferromagnetic resonance to determine the size distribution of γ-Fe2O3 nanoparticles. Solid State Commun. 2006, 138, 271–274. [Google Scholar] [CrossRef]
- Vargas, J.M.; Zysler, R.D.; Butera, A. Order-disorder transformation in FePt nanoparticles studied by ferromagnetic resonance. Appl. Surf. Sci. 2007, 254, 274–277. [Google Scholar] [CrossRef]
- Yalcin, O. Ferromagnetic Resonance—Theory and Applications; InTech: Rijeka, Croatia, 2013. [Google Scholar]












| Sample | Growth Temperature, °C | The Concentration of Cr in Cd1−xCrxTe | |
|---|---|---|---|
| Charge, x | XFA Measurement, x | ||
| 1p | 1280 | 0.04 | 0.002 |
| 2p | 1300 | 0.01 | 0.008 |
| 3p | 1300–1310 | 0.05 | 0.04 |
| 4p | 1320 | 0.05 | 0.05 |
| 5p | 1320 | 0.1 | 0.08 |
Publisher’s Note: MDPI stays neutral with regard to jurisdictional claims in published maps and institutional affiliations. |
© 2021 by the authors. Licensee MDPI, Basel, Switzerland. This article is an open access article distributed under the terms and conditions of the Creative Commons Attribution (CC BY) license (https://creativecommons.org/licenses/by/4.0/).
Share and Cite
Stefaniuk, I.; Obermayr, W.; Popovych, V.D.; Cieniek, B.; Rogalska, I. EPR Spectra of Sintered Cd1−xCrxTe Powdered Crystals with Various Cr Content. Materials 2021, 14, 3449. https://doi.org/10.3390/ma14133449
Stefaniuk I, Obermayr W, Popovych VD, Cieniek B, Rogalska I. EPR Spectra of Sintered Cd1−xCrxTe Powdered Crystals with Various Cr Content. Materials. 2021; 14(13):3449. https://doi.org/10.3390/ma14133449
Chicago/Turabian StyleStefaniuk, Ireneusz, Werner Obermayr, Volodymyr D. Popovych, Bogumił Cieniek, and Iwona Rogalska. 2021. "EPR Spectra of Sintered Cd1−xCrxTe Powdered Crystals with Various Cr Content" Materials 14, no. 13: 3449. https://doi.org/10.3390/ma14133449
APA StyleStefaniuk, I., Obermayr, W., Popovych, V. D., Cieniek, B., & Rogalska, I. (2021). EPR Spectra of Sintered Cd1−xCrxTe Powdered Crystals with Various Cr Content. Materials, 14(13), 3449. https://doi.org/10.3390/ma14133449

