Assessing the Interfacial Dynamic Modulus of Biological Composites
Abstract
1. Introduction
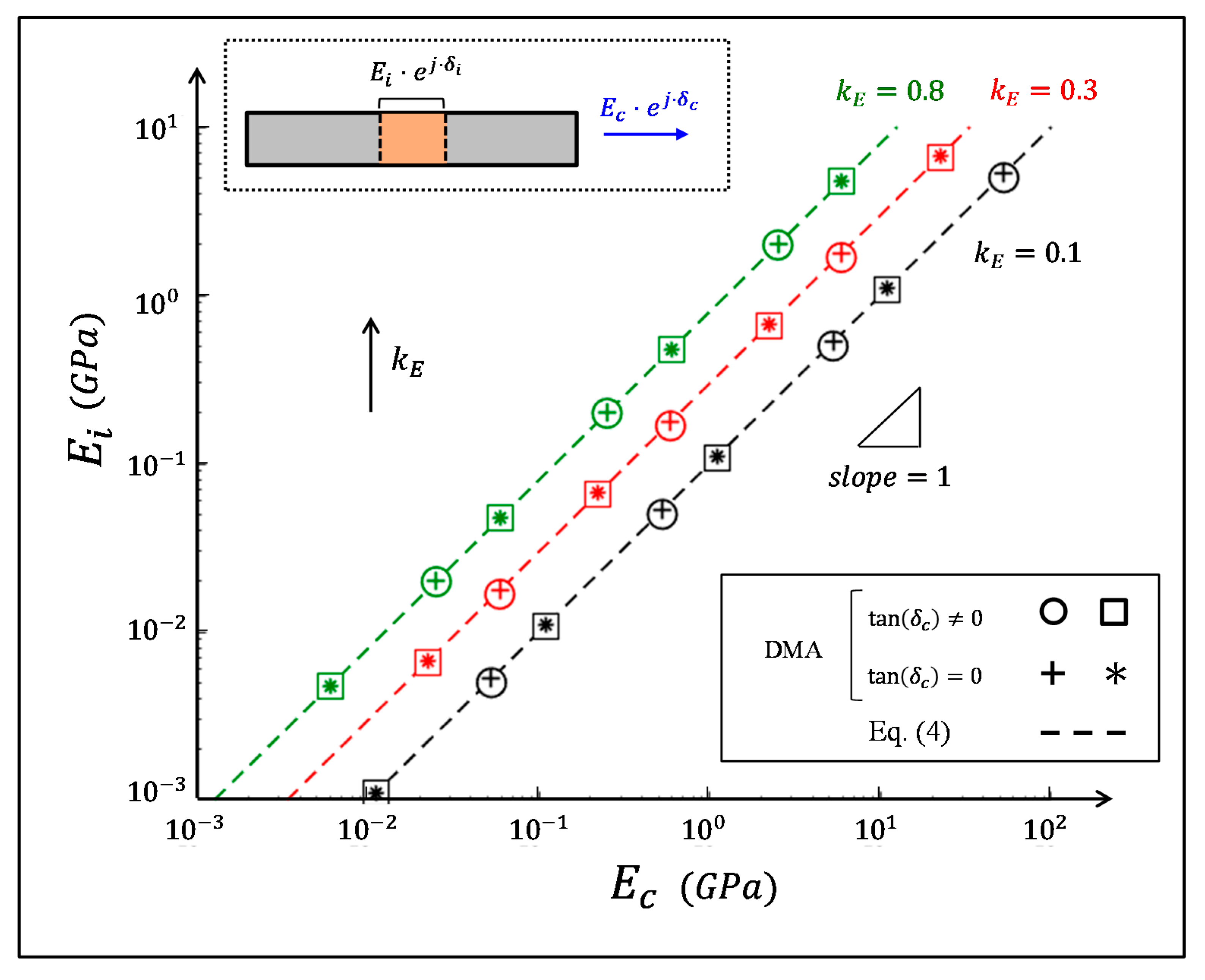
2. Analytical Relationships for the Interface–Biocomposite Dynamic Moduli
3. Assessing the Interfacial Dynamic Modulus from a Far-Field Dynamic Mechanical Analysis
3.1. Methodological Approach
- Step 1: Isolate a testing segment (length ) from the biocomposite complex and use microscopy observations to identify its underlying interfacial region (length ).
- Step 2: Apply DMA testing on a biocomposite segment and quantify its modulus magnitude and loss coefficient ( and ).
- Step 3: Use nanomechanical testing (or the literature data) to determine the elastic modulus of the reinforcements () outside the interfacial region.
- Step 4: Calculate the interface–biocomposite scaling factors ( and ), and use them to back-calculate the modulus magnitude and the loss coefficient of the interfacial region from the corresponding biocomposite characteristics (, and ).
3.2. Example: Sutural Interfaces
4. Conclusions
Supplementary Materials
Author Contributions
Funding
Institutional Review Board Statement
Informed Consent Statement
Data Availability Statement
Acknowledgments
Conflicts of Interest
References
- Meyers, M.A.; Chen, P.Y.; Lin, A.Y.M.; Seki, Y. Biological materials: Structure and mechanical properties. Prog. Mater. Sci. 2008, 53, 1–206. [Google Scholar] [CrossRef]
- Dunlop, J.W.; Weinkamer, R.; Fratzl, P. Artful interfaces within biological materials. Mater. Today 2011, 14, 70–78. [Google Scholar] [CrossRef]
- Bar-On, B.; Wagner, H.D. Structural motifs and elastic properties of hierarchical biological tissues—A review. J. Struct. Biol. 2013, 183, 149–164. [Google Scholar] [CrossRef]
- Barthelat, F.; Yin, Z.; Buehler, M.J. Structure and mechanics of interfaces in biological materials. Nat. Rev. Mater. 2016, 1, 16007. [Google Scholar] [CrossRef]
- Shelef, Y.; Bar-On, B. Surface protection in bio-shields via a functional soft skin layer: Lessons from the turtle shell. J. Mech. Behav. Biomed. Mater. 2017, 73, 68–75. [Google Scholar] [CrossRef]
- Serrano, C.V.; Leemreize, H.; Bar-On, B.; Barth, F.G.; Fratzl, P.; Zolotoyabko, E.; Politi, Y. Ordering of protein and water molecules at their interfaces with chitin nano-crystals. J. Struct. Biol. 2016, 193, 124–131. [Google Scholar] [CrossRef] [PubMed]
- Bar-On, B. On the form and bio-mechanics of venom-injection elements. Acta Biomater. 2019, 85, 263–271. [Google Scholar] [CrossRef]
- Ampaw, E.; Owoseni, T.A.; Du, F.; Pinilla, N.; Obayemi, J.; Hu, J.; Nigay, P.-M.; Nzihou, A.; Uzonwanne, V.; Kana, Z.; et al. Compressive deformation and failure of trabecular structures in a turtle shell. Acta Biomater. 2019, 97, 535–543. [Google Scholar] [CrossRef]
- Ji, B.; Gao, H. Mechanical properties of nanostructure of biological materials. J. Mech. Phys. Solids 2004, 52, 1963–1990. [Google Scholar] [CrossRef]
- Smith, B.L.; Schäffer, T.E.; Viani, M.; Thompson, J.B.; Frederick, N.A.; Kindt, J.; Belcher, A.; Stucky, G.D.; Morse, D.E.; Hansma, P.K. Molecular mechanistic origin of the toughness of natural adhesives, fibres and composites. Nature 1999, 399, 761. [Google Scholar] [CrossRef]
- Lee, N.; Williams, L.N.; Mun, S.; Rhee, H.; Prabhu, R.; Bhattarai, K.R.; Horstemeyer, M.F. Stress wave mitigation at suture interfaces. Biomed. Phys. Eng. Express 2017, 3, 035025. [Google Scholar] [CrossRef]
- Erko, M.; Younes-Metzler, O.; Rack, A.; Zaslansky, P.; Young, S.L.; Milliron, G.; Chyasnavichyus, M.; Barth, F.G.; Fratzl, P.; Tsukruk, T.; et al. Micro-and nano-structural details of a spider’s filter for substrate vibrations: Relevance for low-frequency signal transmission. J. R. Soc. Interface 2015, 12, 20141111. [Google Scholar] [CrossRef]
- Launey, M.E.; Buehler, M.J.; Ritchie, R.O. On the mechanistic origins of toughness in bone. Annu. Rev. Mater. Res. 2010, 40, 25–53. [Google Scholar] [CrossRef]
- Amini, S.; Tadayon, M.; Idapalapati, S.; Miserez, A. The role of quasi-plasticity in the extreme contact damage tolerance of the stomatopod dactyl club. Nat. Mater. 2015, 14, 943. [Google Scholar] [CrossRef]
- Huang, W.; Shishehbor, M.; Guarín-Zapata, N.; Kirchhofer, N.D.; Li, J.; Cruz, L.; Wang, T.; Bhowmick, S.; Stauffer, D.; Manimunda, P.; et al. A natural impact-resistant bicontinuous composite nanoparticle coating. Nat. Mater. 2020, 19, 1236–1243. [Google Scholar] [CrossRef]
- Xu, M.; An, B. Dynamic crack propagation in the turtle carapace. Mech. Mater. 2020, 151, 103614. [Google Scholar] [CrossRef]
- Jearanaisilawong, P.; Jongpairojcosit, N.; Glunrawd, C. Dynamic behaviors and protection mechanisms of sulcata tortoise carapace. Comput. Methods Biomech. Biomed. Eng. 2021, 1–13. [Google Scholar] [CrossRef] [PubMed]
- Zlotnikov, I.; Zolotoyabko, E.; Fratzl, P. Nano-scale modulus mapping of biological composite materials: Theory and practice. Prog. Mater. Sci. 2017, 87, 292–320. [Google Scholar] [CrossRef]
- Fratzl, P.; Weinkamer, R. Nature’s hierarchical materials. Prog. Mater. Sci. 2007, 52, 1263–1334. [Google Scholar] [CrossRef]
- Meyers, M.A.; McKittrick, J.; Chen, P.Y. Structural biological materials: Critical mechanics-materials connections. Science 2013, 339, 773–779. [Google Scholar] [CrossRef] [PubMed]
- Naleway, S.E.; Taylor, J.R.; Porter, M.M.; Meyers, M.A.; McKittrick, J. Structure and mechanical properties of selected protective systems in marine organisms. Mater. Sci. Eng. C 2016, 59, 1143–1167. [Google Scholar] [CrossRef] [PubMed]
- Politi, Y.; Bar-On, B.; Fabritius, H.O. Mechanics of Arthropod Cuticle-Versatility by Structural and Compositional Variation. In Architectured Materials in Nature and Engineering; Springer: Cham, Switzerland, 2019; pp. 287–327. [Google Scholar]
- Shtein, I.; Koyfman, A.; Eshel, A.; Bar-On, B. Autotomy in plants: Organ sacrifice in Oxalis leaves. J. R. Soc. Interface 2019, 16, 20180737. [Google Scholar] [CrossRef]
- Bentov, S.; Palmer, B.A.; Bar-On, B.; Shelef, Y.; Aflalo, E.D.; Sagi, A. Reinforcement of bio-apatite by zinc substitution in the incisor tooth of a prawn. Acta Biomater. 2021, 120, 116–123. [Google Scholar] [CrossRef]
- Shtein, I.; Bar-On, B.; Popper, Z.A. Plant and algal structure: From cell walls to biomechanical function. Physiol. Plant 2018, 164, 56–66. [Google Scholar] [CrossRef] [PubMed]
- Ebenstein, D.M.; Pruitt, L.A. Nanoindentation of biological materials. Nano Today 2006, 1, 26–33. [Google Scholar] [CrossRef]
- Moshe-Drezner, H.; Shilo, D.; Dorogoy, A.; Zolotoyabko, E. Nanometer-Scale Mapping of Elastic Modules in Biogenic Composites: The Nacre of Mollusk Shells. Adv. Funct. Mater. 2010, 20, 2723–2728. [Google Scholar] [CrossRef]
- Zhou, X.; Miao, H.; Li, F. Nanoscale structural and functional mapping of nacre by scanning probe microscopy techniques. Nanoscale 2013, 5, 11885–11893. [Google Scholar] [CrossRef]
- Li, T.; Zeng, K. Nanoscale elasticity mappings of micro-constituents of abalone shell by band excitation-contact resonance force microscopy. Nanoscale 2014, 6, 2177–2185. [Google Scholar] [CrossRef]
- Zlotnikov, I.; Shilo, D.; Dauphin, Y.; Blumtritt, H.; Werner, P.; Zolotoyabko, E.; Fratzl, P. In situ elastic modulus measurements of ultrathin protein-rich organic layers in biosilica: Towards deeper understanding of superior resistance to fracture of biocomposites. RSC Adv. 2013, 3, 5798–5802. [Google Scholar] [CrossRef][Green Version]
- Labonte, D.; Lenz, A.K.; Oyen, M.L. On the relationship between indentation hardness and modulus, and the damage resistance of biological materials. Acta Biomater. 2017, 57, 373–383. [Google Scholar] [CrossRef] [PubMed]
- Shelef, Y.; Bar-On, B. Interfacial indentations in biological composites. J. Mech. Behav. Biomed. Mater. 2020, 114, 104209. [Google Scholar] [CrossRef] [PubMed]
- Ji, B.; Gao, H. Mechanical principles of biological nanocomposites. Annu. Rev. Mater. Res. 2010, 40, 77–100. [Google Scholar] [CrossRef]
- Bar-On, B.; Wagner, H.D. Mechanical model for staggered bio-structure. J. Mech. Phys. Solids 2011, 59, 1685–1701. [Google Scholar] [CrossRef]
- Bar-On, B.; Wagner, H.D. New insights into the Young’s modulus of staggered biological composites. Mater. Sci. Eng. C 2013, 33, 603–607. [Google Scholar] [CrossRef] [PubMed]
- Li, Y.; Ortiz, C.; Boyce, M.C. A generalized mechanical model for suture interfaces of arbitrary geometry. J. Mech. Phys. Solids 2013, 61, 1144–1167. [Google Scholar] [CrossRef]
- Zhang, P.; Heyne, M.A.; To, A.C. Biomimetic staggered composites with highly enhanced energy dissipation: Modeling, 3D printing, and testing. J. Mech. Phys. Solids 2015, 83, 285–300. [Google Scholar] [CrossRef]
- Qwamizadeh, M.; Zhou, K.; Zhang, Y.W. Damping behavior investigation and optimization of the structural layout of load-bearing biological materials. Int. J. Mech. Sci. 2017, 120, 263–275. [Google Scholar] [CrossRef]
- Wu, J.; Yuan, H.; Li, L.; Fan, K.; Qian, S.; Li, B. Viscoelastic shear lag model to predict the micromechanical behavior of tendon under dynamic tensile loading. J. Theor. Biol. 2018, 437, 202–213. [Google Scholar] [CrossRef]
- Liu, J.; Zhu, W.; Yu, Z.; Wei, X. Dynamic shear-lag model for understanding the role of matrix in energy dissipation in fiber-reinforced composites. Acta Biomater. 2018, 74, 270–279. [Google Scholar] [CrossRef]
- Yu, Z.; Liu, J.; Wei, X. Achieving outstanding damping performance through bio-inspired sutural tessellations. J. Mech. Phys. Solids 2020, 142, 104010. [Google Scholar] [CrossRef]
- Bar-On, B.; Wagner, H.D. Stiffness of the extrafibrillar phase in staggered biological arrays. Phys. Rev. Lett. 2012, 109, 078102. [Google Scholar] [CrossRef] [PubMed]
- Prapavesis, A.; Tojaga, V.; Östlund, S.; van Vuure, A.W. Back calculated compressive properties of flax fibers utilizing the Impregnated Fiber Bundle Test (IFBT). Compos. Part A Appl. Sci. Manuf. 2020, 135, 105930. [Google Scholar] [CrossRef]
- Khodayari, A.; Hirn, U.; Van Vuure, A.W.; Seveno, D. Inverse rule of mixtures at the nanoscale: Prediction of elastic properties of cellulose nanofibrils. Compos. Part A Appl. Sci. Manuf. 2020, 138, 106046. [Google Scholar] [CrossRef]
- An, B.; Sun, W. A theory of biological composites undergoing plastic deformations. J. Mech. Behav. Biomed. Mater. 2019, 93, 204–212. [Google Scholar] [CrossRef] [PubMed]
- Xu, M.; An, B. An analysis of fracture in staggered mineralized collagen fibril arrays. Int. J. Solids Struct. 2020, 193–194, 535–549. [Google Scholar] [CrossRef]
- Yu, L.; Ma, Y.; Zhou, C.; Xu, H. Damping efficiency of the coating structure. Int. J. Solids Struct. 2005, 42, 3045–3058. [Google Scholar] [CrossRef]
- Gusev, A.A.; Lurie, S.A. Loss amplification effect in multiphase materials with viscoelastic interfaces. Macromolecules 2009, 42, 5372–5377. [Google Scholar] [CrossRef]
- Lurie, S.; Minhat, M.; Tuchkova, N.; Soliaev, J. On remarkable loss amplification mechanism in fiber reinforced laminated composite materials. Appl. Compos. Mater. 2014, 21, 179–196. [Google Scholar] [CrossRef]
- Bar-On, B.; Bayerlein, B.; Blumtritt, H.; Zlotnikov, I. Dynamic response of a single interface in a biocomposite structure. Phys. Rev. Lett. 2015, 115, 238001. [Google Scholar] [CrossRef] [PubMed]
- Bayerlein, B.; Bertinetti, L.; Bar-On, B.; Blumtritt, H.; Fratzl, P.; Zlotnikov, I. Inherent Role of Water in Damage Tolerance of the Prismatic Mineral–Organic Biocomposite in the Shell of Pinna Nobilis. Adv. Funct. Mater. 2016, 26, 3663–3669. [Google Scholar] [CrossRef]
- Funari, M.F.; Greco, F.; Lonetti, P. Dynamic debonding in layered structures: A coupled ALE-cohesive approach. Frat. Integrita Strutt. 2017, 11, 524–535. [Google Scholar] [CrossRef]
- Cohen, Y.; Ronen, D.; Ya’akobovitz, A. Mechanical behavior of vertically aligned carbon nanotubes under electrostatic tension. Sens. Actuators A Phys. 2019, 292, 105–111. [Google Scholar] [CrossRef]
- Cohen, Y.; Ya’akobovitz, A. The influence of thermal loads on the physical properties of carbon nanotubes forests. Microelectron. Eng. 2021, 247, 111575. [Google Scholar] [CrossRef]
- Gibson, R.F. Principles of Composite Material Mechanics; CRC Press: Boca Raton, FL, USA, 2016. [Google Scholar]
- Seto, J.; Gupta, H.S.; Zaslansky, P.; Wagner, H.D.; Fratzl, P. Tough lessons from bone: Extreme mechanical anisotropy at the mesoscale. Adv. Funct. Mater. 2008, 18, 1905–1911. [Google Scholar] [CrossRef]
- Krauss, S.; Monsonego-Ornan, E.; Zelzer, E.; Fratzl, P.; Shahar, R. Mechanical function of a complex three-dimensional suture joining the bony elements in the shell of the red-eared slider turtle. Adv. Mater. 2009, 21, 407–412. [Google Scholar] [CrossRef]
- Yang, W.; Chen, I.H.; Gludovatz, B.; Zimmermann, E.A.; Ritchie, R.O.; Meyers, M.A. Natural flexible dermal armor. Adv. Mater. 2013, 25, 31–48. [Google Scholar] [CrossRef]
- Lee, N.; Horstemeyer, M.F.; Rhee, H.; Nabors, B.; Liao, J.; Williams, L.N. Hierarchical multiscale structure–property relationships of the red-bellied woodpecker (Melanerpes carolinus) beak. J. R. Soc. Interface 2014, 11, 20140274. [Google Scholar] [CrossRef]
- Gao, C.; Hasseldine, B.P.; Li, L.; Weaver, J.C.; Li, Y. Amplifying strength, toughness, and auxeticity via wavy sutural tessellation in plant seedcoats. Adv. Mater. 2018, 30, 1800579. [Google Scholar] [CrossRef] [PubMed]
- Achrai, B.; Bar-On, B.; Wagner, H.D. Biological armors under impact—Effect of keratin coating, and synthetic bio-inspired analogues. Bioinspirat. Biomim. 2015, 10, 016009. [Google Scholar] [CrossRef] [PubMed]
- Liu, L.; Jiang, Y.; Boyce, M.; Ortiz, C.; Baur, J.; Song, J.; Li, Y. The effects of morphological irregularity on the mechanical behavior of interdigitated biological sutures under tension. J. Biomech. 2017, 58, 71–78. [Google Scholar] [CrossRef]
- Yin, Z.; Hannard, F.; Barthelat, F. Impact-resistant nacre-like transparent materials. Science 2019, 364, 1260–1263. [Google Scholar] [CrossRef]
- Serra, M.; Arenal, R.; Tenne, R. An overview of the recent advances in inorganic nanotubes. Nanoscale 2019, 11, 8073–8090. [Google Scholar] [CrossRef] [PubMed]
- Reddy, S.K.; Ya’akobovitz, A. Electromechanical behavior of graphene foams. Appl. Phys. Lett. 2019, 115, 211902. [Google Scholar] [CrossRef]
- Ben-Shimon, Y.; Ya’akobovitz, A. Flexible and bio-compatible temperature sensors based on carbon nanotube composites. Measurement 2021, 172, 108889. [Google Scholar] [CrossRef]





Publisher’s Note: MDPI stays neutral with regard to jurisdictional claims in published maps and institutional affiliations. |
© 2021 by the authors. Licensee MDPI, Basel, Switzerland. This article is an open access article distributed under the terms and conditions of the Creative Commons Attribution (CC BY) license (https://creativecommons.org/licenses/by/4.0/).
Share and Cite
Shelef, Y.; Uzan, A.Y.; Braunshtein, O.; Bar-On, B. Assessing the Interfacial Dynamic Modulus of Biological Composites. Materials 2021, 14, 3428. https://doi.org/10.3390/ma14123428
Shelef Y, Uzan AY, Braunshtein O, Bar-On B. Assessing the Interfacial Dynamic Modulus of Biological Composites. Materials. 2021; 14(12):3428. https://doi.org/10.3390/ma14123428
Chicago/Turabian StyleShelef, Yaniv, Avihai Yosef Uzan, Ofer Braunshtein, and Benny Bar-On. 2021. "Assessing the Interfacial Dynamic Modulus of Biological Composites" Materials 14, no. 12: 3428. https://doi.org/10.3390/ma14123428
APA StyleShelef, Y., Uzan, A. Y., Braunshtein, O., & Bar-On, B. (2021). Assessing the Interfacial Dynamic Modulus of Biological Composites. Materials, 14(12), 3428. https://doi.org/10.3390/ma14123428

