Abstract
Novel fluorescent dyes such as difluoroborane complexes of 1-phenylazonaphthalen-2-ol derivatives were successfully synthesized and characterized with a focus on the influence of a substituent and a solvent on the basic photophysical properties. 1H, 11B, 13C, 15N, and 19F nuclear magnetic resonance (NMR) spectra of substituted 1-phenylazonaphthalen-2-ol difluoroboranes and their parent azo dyes were recorded and discussed. The absorption and emission properties of synthesized compounds were investigated in solvents of varying polarity. They were found to be fluorescent despite the presence of the azo group. The azo group rotation was blocked by complexing with -BF2 to get a red shift in absorption. Solvent-dependent spectral properties of compounds were investigated using Lipper-Mataga and Bakhshiev plot. The calculated DFT energies and Frontier Molecular Orbitals calculations of the studied compounds were proved to be consistent with the experimental observations.
1. Introduction
Azobenzene with two phenyl rings linked by N=N double bond serves as the parent molecule for the abroad class of aromatic azo compounds. Azo compounds are attractive targets for organic synthesis methodology due to their widespread applications in many areas of technology and medicine. Azo dyes are the most important group of all synthetic dyes that are used extensively for textile dyeing [1,2], as pharmaceuticals [3,4,5,6,7] in organic synthesis [8,9]. Moreover, azobenzenes recently have been targeted for potential applications in areas of nonlinear optics [10], optical storage media [11], chemosensory [12,13], liquid crystals [14], photochemical molecular switches [15,16], and nanotubes [17].
Azobenzene derivatives of 2-naphthol are well-known dyes and can coexist in two tautomeric forms, i.e., azo (enol) and hydrazone (keto) (Scheme 1). These compounds show prototropic tautomerism by an intramolecular proton transfer, which occurs from the hydroxyl oxygen to the azo nitrogen in the case through intramolecular O–H…N hydrogen bond. This tautomerization is quite interesting from a theoretical standpoint because the two tautomers have different technical properties. In azonaphthols, the equilibrium depends on temperature, the solvent, and the substitution pattern [18,19,20,21,22].
Scheme 1.
Tautomeric equilibria of 1-arylazonaphthalen-2-ols (1–4).
Many azobenzene derivatives are used as photoresponsive molecular switches by taking advantage of their photoisomerization [23,24]. Their photoisomerization features inhibit another important property of chromophores, fluorescence. If azobenzenes could fluoresce, then they would be useful as fluorescent materials applicable to light-emitting devices, fluorescent probes, and molecular detection because of their easy synthesis and high modification capability.
Organoboron complexes are one of the most important types of fluorescent dyes. Boron complexation is a simple and effective strategy to express or enhance fluorescence. For example, although diketone [25], iminoketone [26], and mentioned earlier azo dyes [27,28] generally show no fluorescence, their boron complexes are known to be fluorescent. It is worth mentioning that many luminescent boron complexes, especially, the famous boron dipyrromethene (BODIPY) dyes, show small Stokes shift and rarely show fluorescence in the solid-state. An interesting alternative may be a new family of aggregation-induced emission (AIE)-active monoboron and bisboron complexes based on hydrazone chelates [27,28].
It is known that systematic change of substituent and benzoannulation have a fundamental impact (qualitative and quantitative) on the properties of compounds exhibiting tautomerism [29,30,31,32]. Presumably, the properties of BF2-carrying molecules may also be tuned in this way. This is due to the fact that the proton involved in intramolecular hydrogen bonding can be easily replaced by the BF2+ cation. The proton-to-BF2 exchange thus creates an opportunity for some new dyes also in azobenzene derivatives of 2-hydoxynaphthalene.
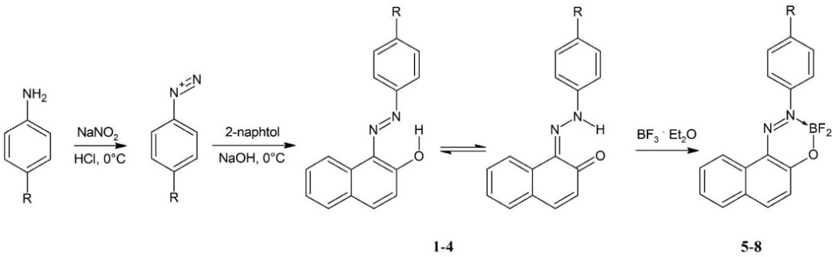
The main motivation to undertake the current study is to describe the photochemical properties of 1-phenylazonaphthalen-2-ols difluoroboranes (5–8) (Scheme 2) in solutions of different polarity and to compare them with non-BF2 chelated pattern compounds (1–4). In the present work, the synthesis of phenylazonaphthalen-2-ols (1–4) and their difluoroboranyl derivatives (5–8) was successfully performed. The structures of the newly synthesized dyes were confirmed by the spectroscopic technique of 1H, 11B, 13C, 15N, and 19F NMR. Additionally, we demonstrate how absorption and emission spectra (position, intensity, and shape) of investigated compounds are changed by the solvents in different polarity. The details about synthesis, characterization, solvatochromic, and photophysical properties of investigated compounds are presented and discussed below.
Scheme 2.
Structure and atom numbering in (5–8).
2. Materials and Methods
2.1. Materials
All reagents and solvents were purchased from Sigma-Aldrich (Poznań, Poland) and used without further purification. The highest (≥99%) purity of all used chemicals was required for spectroscopic studies.
2.2. Synthesis
2.2.1. Synthesis of 1-Arylazonaphthalen-2-ols (1–4)—General Procedure
The mixture of 1 mmol substituted aniline in 37% HCl (5 mL) was stirred in an ice-bath and then the solution of 1.1 mmol sodium nitrite in water (5 mL) was added slowly (the temperature was not allowed to rise above 5 °C) for the formation of diazonium salt, which was allowed to react with 1 mmol naphthalen-2-ol in 10% NaOH (15 mL) solution. The reaction mixture was stirred at 0–5 °C for 10 min and then under an ambient temperature for 30 min. The reaction progress was monitored by thin-layer chromatography (TLC) using a mixture of EtOAc and n-hexane (1:1; V/V) as a solvent. Following the disappearance of the starting materials, the reaction mixture was filtrated and washed with water. The crude solid was recrystallized from ethanol.
2.2.2. Elemental Analysis Is as Follows
1-(4-Dimethylamino)phenylazonaphthalen-2-ol (1) Dark brown solid, yield 80%, m.p. 172–173 °C (179–181 °C [33], 180–182 °C [34], 183–184 °C [35]). 1H NMR (CDCl3 from TMS) δ (ppm): 15.52 (s, 1H), 8.81 (d, 1H, 3JH,H = 8.44 Hz), 7.87 (m, 2H), 7.75 (m, 2H), 7,59 (m, 1H), 7.42 (m, 1H), 7.13 (d, 1H, 3JH,H = 9.04 Hz), 6.72 (s, 2H), 3.13 (s, 6H). 13C NMR δ (ppm): 156.5, 151.6, 139.7, 134.2, 133.0, 129.4, 128.2, 128.1, 127.5, 124.2, 123.1, 121.7, 121.1, 112.2, 40.4. 15N NMR (CDCl3 from MeNO2) δ (ppm): −121.88, −392.85 (NMe2). C18H17N3O, Calcd. C, 74.20; H, 5.88; N, 14.49. Found C, 74.31; H, 5.83; N, 14.44.
1-(4-Ethoxy)phenylazonaphthalen-2-ol (2) Red solid, yield 82%, m.p. 132–134 °C (133–134 °C [36,37]). 1H NMR (CDCl3 from TMS) δ (ppm): 15.66 (s, 1H), 8.64 (d, 1H, 3JH,H = 8.40 Hz), 7.75 (m, 2H), 7.69 (d, 1H, 3JH,H = 9.16 Hz), 7,62 (d, 1H, 3JH,H = 7.88 Hz), 7.50 (m, 1H), 7.33 (m, 1H), 6.98 (s, 1H), 6.94 (m, 2H), 4.06 (q, 2H), 1.39 (t, 3H). 13C NMR δ (ppm): 161.1, 160.1, 141.8, 136.6, 133.3, 129.5, 128.3, 128.2, 128.1, 124.8, 122.1, 121.6, 115.3, 63.9, 14.8. 15N NMR (CDCl3 from MeNO2) δ (ppm): −129.44. C18H16N2O2, Calcd. C, 73.95; H, 5.52; N, 9.58. Found C, 73.82; H, 5.63; N, 9.60.
1-(4-Isopropylo)phenylazonaphthalen-2-ol (3) Red solid, yield 83%, m.p. 69–70 °C. 1H NMR (CDCl3 from TMS) δ (ppm): 16.24 (s, 1H), 8.64 (d, 1H, 3JH,H = 8.28 Hz), 7.74 (m, 3H), 7.66 (d, 1H, 3JH,H = 7.76 Hz), 7.59 (m, 1H), 7.42 (m, 1H), 7.37 (m, 2H), 6.95 (d, 1H, 3JH,H = 9.36 Hz), 3.00 (m, 1H), 1.32 (d, 6H, 3JH,H = 6.95 Hz). 13C NMR δ (ppm): 168.5, 149.3, 143.8, 138.9, 133.6, 129.8, 128.6, 128.5, 128.1, 127.6, 125.33, 124.0, 121.6, 119.3, 33.9, 23.9. 15N NMR (CDCl3 from MeNO2) δ (ppm): −117.27. C19H18N2O, Calcd. C, 8.59; H, 6.25; N, 9.65. Found C, 8.74; H, 6.10; N, 9.65.
1-Phenylazonaphthalen-2-ol (4) Red solid, yield 88%, m.p. 131–132 °C (130–132 °C [38], 130–131 °C [39]). 1H NMR (CDCl3 from TMS) δ (ppm): 16.30 (s, 1H), 8.59 (d, 1H, 3JH,H = 8.59 Hz), 7.76 (m, 3H), 7.63 (d, 1H, 3JH,H = 7.76 Hz), 7.58 (m, 1H), 7.51 (m, 2H), 7.42 (m, 1H), 7.33 (m, 1H), 6.89 (d, 1H, 3JH,H = 9,44 Hz). 13C NMR δ (ppm): 171.8, 144.8, 140.0, 133.6, 130.1, 129.6, 128.9, 128.6, 128.1, 127.4, 125.7, 124.8, 121.7, 118.6. 15N NMR (CDCl3 from MeNO2) δ (ppm): −120.36. C16H12N2O, Calcd. C, 77.40; H, 4.87; N, 11.28. Found C, 77.36; H, 4,95; N, 11,24.
2.2.3. Synthesis of 1-Phenylazonaphthalen-2-ols Difluoroboranes (5–8)—General Procedure
The typical procedure was as follows: BF3 etherate (five equivalents) was added to the magnetically stirred solution (nitrogen atmosphere) of substituted 1-phenylazonaphthalen-2-ol (1 g) in dry dichloromethane (15–20 mL) and N,N-diisopropylethylamine (five equivalents). Then the solution was stirred overnight at room temperature and concentrated Na2CO3 water solution (20 mL) was added slowly to the mixture. The organic fraction was separated, the water layer extracted with chloroform (two times using ca. 20–30 mL), dried (with Na2SO4), and evaporated under reduced pressure. The residual solids were washed by using a mixture of n-hexane and EtOAc (5:1; V/V) solution twice and purified by flash chromatography (SiO2) using dichloromethane (DCM) as the eluent.
2.2.4. Elemental Analysis Is as Follows
1-(4-Dimethylamino)phenylazonaphthalen-2-ole Difluoroborane (5) Dark purple solid, yield 38%, m.p. 207–209 °C. 1H NMR (CDCl3 from TMS) δ (ppm): 8.59 (d, 1H, 3JH,H = 8.36 Hz), 8.06 (d, 2H, 3JH,H = 9.36 Hz), 7.93 (d, 1H, 3JH,H = 9.00 Hz), 7.73 (d, 1H, 3JH,H = 8.04 Hz), 7.60 (m, 1H), 7.44 (m, 1H), 7.17 (d, 1H, 3JH,H = 9.04 Hz), 6.71 (m, 2H), 3.07 (s, 6H). 11B NMR (CDCl3 from BF3·Et2O) δ (ppm): −0.12 (t). 13C NMR δ (ppm): 152.1, 149.8, 139.6, 135.6, 131.7, 130.2, 129.2, 128.9, 128.7, 125.7, 125.1, 121.4, 119.7, 112.0, 40.3. 19F NMR (CDCl3 from CFCl3) δ (ppm): −134.05. 15N NMR (CDCl3 from MeNO2) δ (ppm): −90.10, −315.69 (NMe2). C18H16BF2N3O, Calcd. C, 63.75; H, 4.76; N, 12.39. Found C, 63.88; H, 4.50; N, 12.52.
1-(4-Ethoxy)phenylazonaphthalen-2-ole Difluoroborane (6) Red solid, yield 29%, m.p. 139–140 °C. 1H NMR (CDCl3 from TMS) δ (ppm): 8.58 (d, 1H, 3JH,H = 8.36 Hz), 8.04 (m, 3H), 7.76 (d, 1H, 3JH,H = 8.00 Hz), 7.65 (m, 1H), 7.48 (m, 1H), 7.18 (m, 2H), 6.95 (m, 2H), 4.08 (q, 2H), 1.42 (t, 3H). 11B NMR (CDCl3 from BF3·Et2O) δ (ppm): −0.10 (t). 13C NMR δ (ppm): 161.5, 151.5, 142.3, 138.8, 131.9, 130.5, 130.0, 129.0, 128.8, 126.3, 124.9, 121.3, 119.7, 115.1, 64.1, 14.7. 19F NMR (CDCl3 from CFCl3) δ (ppm): −93.11. 15N NMR (CDCl3 from MeNO2) δ (ppm): −93.11. C18H15BF2N2O2, Calcd. C, 63.19; H, 5.01; N, 8.19. Found C, 63.28; H, 5.08; N, 8.03.
1-(4-Isopropylo)phenylazonaphthalen-2-ole Difluoroborane (7) Red solid, yield 21%, m.p. 115–117 °C. 1H NMR (CDCl3 from TMS) δ (ppm): 8.57 (d, 1H, 3JH,H = 8.28 Hz), 8.06 (d, 1H, 3JH,H = 9.08 Hz), 7.97 (d, 2H, 3JH,H = 8.56 Hz), 7.53 (d, 1H, 3JH,H = 8.00 Hz), 7.65 (m, 1H), 7.49 (m, 1H), 7.33 (d, 2H, 3JH,H = 8.64 Hz), 7.18 (m, 1H) 2.94 (m, 1H), 1.24 (d, 6H, 3JH,H = 6.92 Hz). 11B NMR (CDCl3 from BF3·Et2O) δ (ppm): −0.06 (t). 13C NMR δ (ppm): 151.6, 151.4, 142.2, 131.0, 129.2, 128.1, 127.8, 126.6, 126.5, 125.4, 122.1, 120.4, 118.8, 33.1, 22.9. 19F NMR (CDCl3 from CFCl3) δ (ppm): −132.33. 15N NMR (CDCl3 from MeNO2) δ (ppm): −95.23. C19H17BF2N2O, Calcd. C, 67.08; H, 5.63; N, 8.24. Found C, 67.00; H, 5.55; N, 8.40.
1-Phenylazonaphthalen-2-ole Difluoroborane (8) Red solid, yield 40%, m.p. 143–145 °C (175–176 °C [40,41,42]). 1H NMR (CDCl3 from TMS) δ (ppm): 8.63 (d, 1H, 3JH,H = 7.84 Hz), 8.19 (d, 1H, 3JH,H = 9.08 Hz), 8.14 (m, 2H), 7.87 (d, 1H, 3JH,H = 8.00 Hz), 7.77 (m, 1H), 7.59 (m, 4H), 7.31 (s, 1H). 11B NMR (CDCl3 from BF3·Et2O) δ (ppm): −0.11 (t). 13C NMR δ (ppm): 152.9, 145.2, 143.9, 132.1, 131.2, 130.9, 130.4, 129.4, 129.2, 128.8, 126.6, 123.1, 121.4, 119.8. 19F NMR (CDCl3 from CFCl3) δ (ppm): −131.94. 15N NMR (CDCl3 from MeNO2) δ (ppm): −95.29. C16H11BF2N2O, Calcd. C, 64.91; H, 3.74; N, 9.46. Found C, 65.07; H, 3.84; N, 9.20.
2.3. Measurements
The 1H-NMR spectra were recorded using an Ascend III spectrometer operating at 400 MHz, Bruker (Bydgoszcz, Poland). Chloroform was used as a solvent and tetramethylsilane (TMS) as the internal standard. Chemical shifts (δ) were reported in ppm relative to TMS and coupling constants (J) in Hz.
The elemental analysis was made with a Vario MACRO 11.45–0000, Elemental Analyser System GmbH (Toruń, Poland), operating with the VARIOEL software (version 5.14.4.22) (Toruń, Poland)
The melting point was measured on the Melting Point M-565 Apparatus (Buchi) (Bydgoszcz, Poland) with a measuring speed of 5 °C/min.
The absorption and emission spectra were measured at room temperature in a quartz cuvette (1 cm) using an Agilent Technology UV–Vis Cary 60 Spectrophotometer (Bydgoszcz, Poland) and a Hitachi F-7000 Spectrofluorometer (Bydgoszcz, Poland), respectively.
The fluorescence quantum yields for the compounds in chloroform were determined as follows, the fluorescence spectrum of diluted (A ≈ 0.1) dyes solution was recorded by excitation at the absorption band maximum of the reference. Diluted rhodamine 6G in ethanol (ϕ = 0.88) [43] was used as a reference. The fluorescence spectrum of rhodamine 6G was obtained by excitation at its absorption peak at 488 nm. The quantum yield of the tested compounds (ϕdye) was calculated using the following equation [44]:
where ϕref is the fluorescence quantum yield of the reference sample rhodamine 6G in ethanol, Adye and Aref are the absorbance of the dye and reference samples at the excitation wavelengths (355 nm), Idye and Iref are the integrated emission intensity for the dyes and references sample, ndye and nref are the refractive indices of the solvents used for the dyes and reference, respectively. Cresyl violet in ethanol (ϕ = 0.51 [43] λex = 578 nm) and coumarin I in ethanol (ϕ = 0.64 [43] λex = 404 nm) were used as a reference standard for 1-(4-dimethylamino)phenylazonaphthalen-2-ole difluoroborane (5) and 1-(4-ethoxy)phenylazonaphthalen-2-ol (2), respectively.
The brightness was calculated using the following equation [45]:
where ϕ is the fluorescence quantum yield and ɛ is the molar extinction coefficient.
The experimental excited-state dipole moments of 1–8 in solvents of varying polarity were determined according to Lippert’s and Bakhshiev’s equations. Lippert’s equation [46,47] can be expressed as:
In which ∆v = vabs−vem stands for Stokes shift, vabs and vem are the absorption and emission frequency (cm−1), μg and μe refer to the dipole moments of the ground- and excited states, respectively, h is the Planck’s constant, c is the velocity of light in vacuum, a is the Onsager radius, ɛ is the refractive index, and n is the dielectric constant.
Bakhshiev’s equation [47] reads as:
2.4. Quantum-Mechanical Calculations
The geometry optimization and the Highest Occupied Molecular Orbital (HOMO) and Lowest Unoccupied Molecular Orbital (LUMO) energies were calculated based on density functional theory with the use of B3LYP [48,49,50] functional and the 6–311++G(d,p) basis set [51,52]. The calculations including solvation were realized with the use of a SCRF (self-consistent reaction field) approach [53] based on the Poisson–Boltzmann equation [54]. All calculations were realized with the use of Gaussian 09 software [55]. The Avogadro 1.2.0 application [56] was used during the analysis of the frontier orbitals.
3. Results and Discussion
3.1. Synthesis and Identification of 1-Phenylazonaphthalen-2-ols (1–4) and Their Difluoroboranes (5–8)
In recent years, several methods have been reported for the synthesis of aromatic azo components [8,57,58,59,60]. Although remarkable developments have been achieved in this field still the most important method for the preparation of these classes of compounds is the diazotization-azo coupling reaction. In the presented paper, azo compounds were synthesized by coupling 2-naphthol with the corresponding diazonium salt and recrystallization in ethanol. The tautomeric mixture of 1-phenylazonaphthalen-2-ols (1–4) was then allowed to react with the boron trifluoride diethyl ether complex in the presence of N,N-diisopropylethylamine (DIPEA) in dry dichloromethane to afford the corresponding BF2 complexes (5–8). The general route for the synthesis of NBF2O derivatives is presented in Scheme 3.
Scheme 3.
The schematic representation of the synthesis of difluoroboranes substituted 1-phenylazonaphthalen-2-ols. (1–8), where R = NMe2 (1,5), OEt (2,6), iPr (3,7), H (4,8).
The structures of (1–8) were confirmed by their 1H, 13C, and 15N NMR spectral analyses. Additionally, 11B and 19F NMR spectra were recorded for complexes (5–8) (see details in the Materials and Methods section). As previously reported [18,19,20,21,22], the compounds showed in Scheme 1 were present in solution as a proton transfer equilibrium. In all cases, their 1H NMR spectra showed a signal with chemical shift in the range of 15.66–16.62 ppm, corresponding to the O–H...N proton involved in the relevant intramolecular hydrogen bond. The 11B NMR signals showing near −0.10 ppm and quadruplet at around −132 ppm were observed in 19F NMR of each difluoroborane complex, confirm replacing the O–H...N proton in structures (5–8) by the BF2+ cation.
3.2. Spectroscopic Properties
The compounds were studied for their photophysical properties in solvents of various polarity and nature. The absorption properties of compounds 1–4 were summarized in Table 1. Generally, the electronic absorption spectra of these compounds in solution exhibit two types of bands. The shorter wavelength band in the UV region of 247–326 nm was ascribed mainly to the π–π* transition of the aromatic system present in the structure of the studied dyes. The second band observed in the region of 335–635 nm (Figure 1a) was assigned to n–π* transition with a considerable charge-transfer character (CT transition) [61]. The charge-transfer nature of this band was deduced from its broadness, as from the sensitivity of its λmax to the type of substituent attached to the azo coupler [62]. Based on the results presented in Table 1, the solvent polarity only weakly affected the position of the maximum absorption band. The increase in solvent polarity caused a slight bathochromic shift of the long-wave absorption band. The highest absorption intensity of azo dyes 1–4 was observed in dichloromethane, acetonitrile and tetrahydrofuran (Figure 2a). As expected, compound 1 has the biggest redshift (at around 500 nm) in all solvents as compared to the rest compounds (Figure 3a). It was previously indicated that the presence of both electron-withdrawing and electron-donating groups caused a redshift in these compounds [46]. It was accompanied by an increase in the absorption intensity (Figure 2b). The molar extinction the dyes 1–4 did not achieve relatively high values. This parameter ranged from 0.76 × 104 to 2.85 × 104 M−1 cm−1 (Table 1). It did not show any clear correlation between the solvent polarities and the molar extinction coefficients.
Table 1.
Photophysical properties of compounds 1–4.
Figure 1.
The normalized UV–Vis absorption of main bands (a) and fluorescence (b) spectra of 1–4 in DMSO.
Figure 2.
Absorption intensity spectra of 1-(4-isopropylo)phenylazonaphthalen-2-ol (3) in solvents of different polarity. (a) and absorption intensity spectra of 1–4 in acetonitrile (b) (5 × 10−5 M).
Figure 3.
Normalized absorption (a) and fluorescence (b) spectra of 1-(4-dimethylamino)phenylazonaphthalen-2-ol (1) in solvents of different polarity.
The emission wavelengths of the dyes 1–4, similar to absorption wavelengths, were not solvent dependent. The emissions of all described compounds ranged between 540 and 800 nm (Figure 1b). The changes in Stokes shifts related to the nature of the substituent in phenyl ring were also reflected in changes in the fluorescence quantum yields (Scheme 1). The unsubstituted compound 4 (R = H), e.g., in tetrahydrofuran had a fluorescence quantum yield of 1.01 × 10−4 and exhibited a Stokes’ shift of 4163 cm−1. Introducing an electron-donating substituent enhanced the fluorescence quantum yields and Stokes’ shift, e.g., for –NMe2 (1) the ϕfl = 0.0084 and Stokes’ shift equal to 5547 cm−1 (in THF), respectively. The same dependence of the substituent effect on the fluorescence intensity (Figure 4) as on the absorption intensity was observed for compounds 1–4.
Figure 4.
Fluorescence intensity spectra of 1–4 in dichloromethane (a) and in acetonitrile (b) (5 × 10−5 M).
The dyes 5–8 are the BF2-complex derivatives of the dyes 1–4 absorbed at a longer wavelength. The differences between the two kinds of chromophores are the rigidization of the azo group and the presence of an electron-deficient BF2-core, which formed a more efficient acceptor [46] in the case of dyes 5–8. The biggest bathochromic shift was observed for dyes 5 and 6 (with the most electron-donating substituent) [42]. They absorbed at about 60–100 nm longer wavelengths compared to their parent, non-complexed dyes (Figure 5a). In this case, the maximum of absorbance shifted towards higher wavelength values as the polarity of solvent increased (Figure 6a). The fluorescence emission of 5–8 exceeded 550 nm in all the solvents tested. The emission spectra (Figure 5b) were broad with the single maximum of fluorescence (λfl) at about 570–610 nm for 6–8 and at about 690–760 nm for 5. The polarity of the solvent did not significantly influence the position of the fluorescence band (Figure 6b). The highest absorption and fluorescence intensity of 5–8 were observed in dichloromethane, acetonitrile, and tetrahydrofuran (Figure 7). The fluorescence quantum yield has drastically improved in azo-BF2-complexes over the azo compounds, the order of the increase in quantum yield was about 10–100 folds. The quantum yields were the highest in the –NH2 and −OEt substituted derivatives (5 and 6) in their respective series and all solvents. The calculated brightness confirmed the trend shown. Table 2 collected the values of the absorption maximum positions (λab), the fluorescence maximum positions (λfl), Stokes shifts, the molar extinction coefficient (ɛ), the fluorescence quantum yields (ϕfl), and the brightness of substituted difluoroboranes of 1-phenylazonaphthalen-2-ols (5–8).
Figure 5.
The normalized UV–Vis absorption of main bands (a) and fluorescence (b) spectra of 5–8 in DCM.
Figure 6.
Normalized absorption (a) and fluorescence (b) spectra of 1-(4-ethoxy)phenylazonaphthalen-2-ole difluoroborane (6) in solvents of different polarity.
Figure 7.
Absorption (a) and fluorescence (b) intensity spectra of 1-(4-ethoxy)phenylazonaphthalen-2-ole difluoroborane (6) in solvents of different polarity.
Table 2.
Photophysical properties of compounds 5–8.
3.3. Solvatochromism
The solvatochromic behavior of the dyes 1–4 and 5–8 was studied with the help of Lippert [46,63] and Bakhshiev [63] plots. Lippert’s theory assumes that general solvent effects are present in the solvent medium and the polarizability of the solute molecule is neglected. This model does not contain any chemical interactions. The direction of ground- and excited-dipole moments is parallel to each other, namely, it is collinear. Deviations from Lippert’s theory occur due to specific solute–solvent interactions such as hydrogen bonding or a formation of charge-transfer states [47,64].
Bakhshiev’s theory takes into account the solute polarizability besides specific solute–solvent interactions [64]. The direction of dipole moments of ground- and excited-dipole state is not collinear, but the linearity of the dipoles is close to each other. Deviations from the linearity of Bakhshiev’s equation may result from an incomplete solvent relaxation before to fluorescence emission or specific solute–solvent interactions, such as hydrogen bonding [65].
Lippert-Mataga and Bakhshiev plots showed nonlinear nature of the plot, which was observed in N-methyl-2-pyrrolidone for all compounds 1–8, while such behavior for BF2-complexes 5–8 was observed additionally in methanol. Deviations from linearity they occurred especially in the presence of polar solvents. These deviations were related to the extent of interactions between the solute and solvent molecules, in this case the formation of hydrogen bonds between them. Only compound 3 exhibited similar nature to that of 4 (Lippert-Mataga and Bakhshiev plots of compounds 1–8 in different solvents are available in Supplementary Materials).
Lippert-Mataga and Bakhshiev plots showed unsatisfactory linearity of Stokes shift vs. f1 (Lippert plots) and f2 (Bakhshiev plots), respectively functions with low regression coefficients (R2 ≤ 0.5654) suggested a slight effect of solvent polarity on Stokes shift. Stokes shift decreased for 3 and 8, while increased for 1, 5, and 6 with increasing solvent polarity (Figures S19 and S20 in Supplementary Materials).
It is worth noting that the BF2 complexes of azo dyes, i.e., 5–8 showed no correlation with the polarity of the solvent. Plots of the Stokes shift in cm−1 versus the solvent polarity parameter f1 (Lippert plots) and f2 (Bakhshiev plots) were with very low regression coefficients. This implied that in the boron complexes due to rigidity the emissive state was not an ICT state but a local relaxed excited state. The lower (as compared to compound 1–4) Stokes shift exhibited by the dyes in all the solvents added to the justification [46].
3.4. Computational Details
The 1-phenylazonaphthalen-2-ols considered (1–4) in this work can coexist in two tautomeric forms. The energetic characteristics of azo and hydrazone forms estimated during optimization in DMSO solvent were presented in Table 3. All obtained energies unambiguously showed that hydrazone forms were characterized by lower energy values and were more stable than corresponding azo structures. The analysis of all values indicated that the presence of chemical groups with higher electron-donating character caused a decrease of energy differences between compared tautomeric forms. This supports previous reports [18,19,20,21,22].
Table 3.
Energies of azo and hydrazone forms of 1-phenylazonaphthalen-2-ols (1–4) estimated in DMSO at the B3LYP/6-311++G(d,p) level of theory. ∆E represents the difference between azo and hydrazone form (∆E = Ea−Eh).
The characteristics of frontier molecular orbital properties including energy levels of HOMO, LUMO, and other descriptors [66] gave insight into spectroscopic properties of considered dyes. Complex presentation of such data was presented in Figure 8, Figure 9 and Figure 10 respectively, and in Table 4. Based on the accumulated values, for all considered sets of molecules, including both tautomeric forms of native dyes and their difluoroborane derivatives, analogous relation between the presence of electron-donating groups and increase of energy levels of frontal orbitals (NMe2 > OEt > iPr > H) was observed. The observed increase in energy for the HOMO and LUMO orbitals is accompanied by a simultaneous reduction in the difference in energy levels between the mentioned types of orbitals, which translated into a simultaneous decrease of energy gap and hardness values. The observed relationship was intensified for the considered groups of molecules in the following order azo < hydrazono < difluoroborane derivatives. The presence of substituents with strong electron-donating character (–NMe2; –OEt) was the source of strong bathochromic shift, which confirmed the decrease of energy gap values of substituted dyes relative to the native molecules (ΔE gap (5–8) = 0.667 eV; ΔE gap (6–8) = 0.220 eV). The computational data well correlate with outcomes obtained during the experimental stage, which are presented in Figure 5 and Table 2. Analysis of the absorbance maximum values clearly confirms dependencies identified during the computational stage (λab5 (–NMe2) = 591 nm; λab6 (–OEt) = 502 nm; λab8 (–H) = 482 nm). Calculations taking into account solvents with extreme polarity values, namely DMSO and DCM, allowed us to assess their influence on spectroscopic properties of considered dyes (Table 4). In order to verify the influence of hydrogen bonds in the solvation environment on the spectroscopic properties of the analyzed compounds, calculations were also performed for methanol.
Figure 8.
Graphic representation of HOMO and LUMO orbitals for azo forms of 1-phenylazonaphthalen-2-ols (1–4) calculated in DMSO.
Figure 9.
Graphic representation of HOMO and LUMO orbitals for hydrazone forms of 1-phenylazonaphthalen-2-ols (1–4) calculated in DMSO.
Figure 10.
Graphic representation of HOMO and LUMO orbitals for difluoroboranes of 1-phenylazonaphthalen-2-ols (5–8) calculated in DMSO.
Table 4.
The values of hardness (η), energy gap, and energies of HOMO and LUMO orbitals estimated for all compounds 1–8.
Obtained values showed that dyes with –NMe2 (1 and 5) active group exhibited noticeable changes of energy gap values indicating the correlation of increase of solvent polarity with positive solvatochromism of considered molecules (5 from Eg (DCM) = 2.366 eV to Eg (DMSO) = 2.336 eV). The confirmation of these observations lies in experimental values of absorbance maximum for the analyzed dye λab DMSO = 610 nm and λab DCM = 591 nm (Compound 5 Table 2). Similar relationships, but of much lower intensity, were observed for the other dyes.
4. Conclusions
Four novel difluoroborane complexes dyes (5–8) based on 1-phenylazonaphthalen-2-ol derivatives were successfully synthesized. Complexes were identified using a magnetic atomic nucleus 1H, 11B, 13C, 15N, and 19F isotope resonance spectra. The BF2-complexes 5–8 exhibited red-shifted absorption maxima from 458 to 610 nm and a slightly higher molar extinction coefficient as compared to parent dyes 1–4, respectively. All of 1-phenylazonaphthalen-2-ols difluoroboranes emitted in the far-red region (550–760 nm) whereas only 1 weakly emitted at 673–727 nm. Among all derivatives, only 1-(4-dimethylamino)phenylazonaphthalen-2-ole difluoroborane 5 (the NMe2 group was the strongest electron donor in the series) demonstrated relatively high fluorescence. Dye 3 and 8 showed negative solvatochromism, while dyes 1, 5, and 6 showed positive solvatochromism. It was shown that the BF2-complexes (5–8), which are the rigidized versions of the azo dyes (1–4), did not show any linear relations with the solvent polarity parameters based on dielectric constant and refractive index. Transformation of azo compounds with electron-withdrawing substituents (R = Br, F, and NO2) into their BF2 complexes turned out to be impossible. The calculated DFT energies and the frontier molecular orbital calculations of the studied compounds showed to be consistent with the experimental observations and confirmed the insignificant influence of the polarity of the solvents on the spectroscopic properties.
Supplementary Materials
The following are available online at https://www.mdpi.com/article/10.3390/ma14123387/s1, Figure S1: 1H NMR spectrum (400 MHz) of 1-(4-dimethylamino)phenylazonaphthalen-2-ol (1) in CDCl3, Figure S2: 13C NMR spectrum (400 MHz) of 1-(4-dimethylamino)phenylazonaphthalen-2-ol (1) in CDCl3, Figure S3: 1H NMR spectrum (400 MHz) of 1-(4-ethoxy)phenylazonaphthalen-2-ol (2) in CDCl3, Figure S4: 13C NMR spectrum (400 MHz) of 1-(4-ethoxy)phenylazonaphthalen-2-ol (2) in CDCl3, Figure S5: 1H NMR spectrum (400 MHz) of 1-(4-isopropylo)phenylazonaphthalen-2-ol (3) in CDCl3, Figure S6: 13C NMR spectrum (400 MHz) of 1-(4-isopropylo)phenylazonaphthalen-2-ol (3) in CDCl3, Figure S7: 1H NMR spectrum (400 MHz) of 1-phenylazonaphthalen-2-ol (4) in CDCl3, Figure S8: 13C NMR spectrum (400 MHz) of 1-phenylazonaphthalen-2-ol (4) in CDCl3, Figure S9: 1H NMR spectrum (400 MHz) of 1-(4-dimethylamino)phenylazonaphthalen-2-ole difluoroborane (5) in CDCl3, Figure S10: 13C NMR spectrum (400 MHz) of 1-(4-dimethylamino)phenylazonaphthalen-2-ole difluoroborane (5) in CDCl3, Figure S11: 1H NMR spectrum (400 MHz) of 1-(4-ethoxy)phenylazonaphthalen-2-ole difluoroborane (6) in CDCl3, Figure S12: 13C NMR spectrum (400 MHz) of 1-(4-ethoxy)phenylazonaphthalen-2-ole difluoroborane (6) in CDCl3, Figure S13: 1H NMR spectrum (400 MHz) of 1-(4-isopropylo)phenylazonaphthalen-2-ole difluoroborane (7) in CDCl3, Figure S14: 13C NMR spectrum (400 MHz) of 1-(4-isopropylo)phenylazonaphthalen-2-ole difluoroborane (7) in CDCl3, Figure S15: 1H NMR spectrum (400 MHz) of 1-phenylazonaphthalen-2-ole difluoroborane (8) in CDCl3, Figure S16: 13C NMR spectrum (400 MHz) of 1-phenylazonaphthalen-2-ole difluoroborane (8) in CDCl3, Figure S17: Lippert-Mataga plot of compounds 1–8, Figure S18: Bakhshiev plot of compounds 1–8, Figure S19: Lippert-Mataga plots of compounds 1–4 (a) and 5–8 (b), Figure S20: Bakhshiev plots of compounds 1–4 (a) and 5–8 (b).
Author Contributions
conceptualization, methodology, investigation, writing, review, A.S.; performed DFT calculations, writing the computational part P.C. All authors have read and agreed to the published version of the manuscript.
Funding
This research was funded by Ministry of Science and Higher Education.
Institutional Review Board Statement
Not applicable.
Informed Consent Statement
Not applicable.
Data Availability Statement
Data sharing is not applicable for this article.
Acknowledgments
This research was supported in part by PLGrid Infrastructure.
Conflicts of Interest
The authors declare no conflict of interest. The funders had no role in the design of the study; in the collection, analyses or interpretation of data; in the writing of the manuscript or in the decision to publish the results.
References
- Mohamed, F.A.; Bashandy, M.S.; Abd El-Wahab, H.; Sheier, M.B.; El-Molla, M.M.; Bedair, A.H. Synthesis of Several Newly Acid Dyes and their Application in Textile Dyeing. Int. J. Adv. Res. 2014, 2, 248–260. [Google Scholar]
- Karci, F.; Demirçali, A.; Şener, I.; Tilki, T. Synthesis of 4-amino-1H-benzo[4,5]imidazo[1,2-a]pyrimidin-2-one and its disperse azo dyes. Part 1: Phenylazo derivatives. Dye. Pigment. 2006, 71, 90–96. [Google Scholar] [CrossRef]
- Zhao, R.; Tan, C.; Xie, Y.; Gao, C.; Liu, H.; Jiang, Y. One step synthesis of azo compounds from nitroaromatics and anilines. Tetrahedron Lett. 2011, 52, 3805–3809. [Google Scholar] [CrossRef]
- Roldo, M.; Barbu, E.; Brown, J.F.; Laight, D.W.; Smart, J.D.; Tsibouklis, J. Azo compounds in colon-specific drug delivery. Expert Opin. Drug Deliv. 2007, 4, 547–560. [Google Scholar] [CrossRef] [PubMed]
- Sandborn, W. Rational selection of oral 5-aminosalicylate formulations and prodrugs for the treatment of ulcerative colitis. Am. J. Gastroenterol. 2002, 97, 2939–2941. [Google Scholar] [CrossRef] [PubMed]
- Sharma, P.; Rane, N.; Gurram, V.K. Synthesis and QSAR studies of pyrimido[4,5-d]pyrimidine-2,5-dione derivatives as potential antimicrobial agents. Bioorg. Med. Chem. Lett. 2004, 14, 4185–4190. [Google Scholar] [CrossRef] [PubMed]
- Doran, T.M.; Anderson, E.A.; Latchney, S.E.; Opanashuk, L.A.; Nilsson, B.L. An azobenzene photoswitch sheds light on turn nucleation in amyloid-β self-assembly. ACS Chem. Neurosci. 2012, 3, 211–220. [Google Scholar] [CrossRef] [PubMed]
- Koukabi, N.; Otokesh, S.; Kolvari, E.; Amoozadeh, A. Convenient and rapid diazotization and diazo coupling reaction via aryl diazonium nanomagnetic sulfate under solvent-free conditions at room temperature. Dye. Pigment. 2016, 124, 12–17. [Google Scholar] [CrossRef]
- Zhang, Y.; Liu, Y.; Ma, X.; Ma, X.; Wang, B.; Li, H.; Huang, Y.; Liu, C. An environmentally friendly approach to the green synthesis of azo dyes with aryltriazenes via ionic liquid promoted C-N bonds formation. Dye. Pigment. 2018, 158, 438–444. [Google Scholar] [CrossRef]
- Yesodha, S.K.; Sadashiva Pillai, C.K.; Tsutsumi, N. Stable polymeric materials for nonlinear optics: A review based on azobenzene systems. Prog. Polym. Sci. 2004, 29, 45–74. [Google Scholar] [CrossRef]
- Hvilsted, S.; Sánchez, C.; Alcalá, R. The volume holographic optical storage potential in azobenzene containing polymers. J. Mater. Chem. 2009, 19, 6641–6648. [Google Scholar] [CrossRef]
- Li, T.R.; Du, X.K.; Huo, T.L. Magnetic resonance urography and X-ray urography findings of congenital megaureter. Chin. Med. Sci. J. 2011, 26, 103–108. [Google Scholar] [CrossRef]
- Cheng, X.; Li, Q.; Li, C.; Qin, J.; Li, Z. Azobenzene-based colorimetric chemosensors for rapid naked-eye detection of mercury(II). Chem. A Eur. J. 2011, 17, 7276–7281. [Google Scholar] [CrossRef]
- Smart Light-Responsive Materials: Azobenzene-Containing Polymers and Liquid. Available online: https://books.google.pl/books?hl=pl&lr=&id=pBy3vMNmwOgC&oi=fnd&pg=PR5&ots=qCvU7hbLLD&sig=j4e9TgnyZCwOr_q11DjEdLY5k00&redir_esc=y#v=onepage&q&f=false (accessed on 25 January 2021).
- Bahrenburg, J.; Sievers, C.M.; Schönborn, J.B.; Hartke, B.; Renth, F.; Temps, F.; Näther, C.; Sönnichsen, F.D. Photochemical properties of multi-azobenzene compounds. Photochem. Photobiol. Sci. 2013, 12, 511–518. [Google Scholar] [CrossRef]
- Szymański, W.; Beierle, J.M.; Kistemaker, H.A.V.; Velema, W.A.; Feringa, B.L. Reversible photocontrol of biological systems by the incorporation of molecular photoswitches. Chem. Rev. 2013, 113, 6114–6178. [Google Scholar] [CrossRef]
- Banerjee, I.A.; Yu, L.; Matsui, H. Application of host-guest chemistry in nanotube-based device fabrication: Photochemically controlled immobilization of azobenzene nanotubes on patterned α-CD monolayer/Au substrates via molecular recognition. J. Am. Chem. Soc. 2003, 125, 9542–9543. [Google Scholar] [CrossRef]
- Alarcón, S.H.; Olivieri, A.C.; Sanz, D.; Claramunt, R.M.; Elguero, J. Substituent and solvent effects on the proton transfer equilibrium in anils and azo derivatives of naphthol. Multinuclear NMR study and theoretical calculations. J. Mol. Struct. 2004, 705, 1–9. [Google Scholar] [CrossRef]
- Olivieri, A.C.; Wilson, R.B.; Paul, I.C.; Curtin, D.Y. 13C NMR and X-ray Structure Determination of 1-(Arylazo)-2-naphthols. Intramolecular Proton Transfer between Nitrogen and Oxygen Atoms in the Solid State. J. Am. Chem. Soc. 1989, 111, 5525–5532. [Google Scholar] [CrossRef]
- Schmidt, M.U.; Brüning, J.; Wirth, D.; Bolte, M. Two azo pigments based on Β-naphthol. Acta Crystallogr. Sect. C Cryst. Struct. Commun. 2008, 64, o474–o477. [Google Scholar] [CrossRef]
- Lin, Y.C.; Chen, C.C.; Ding, M.F.; Lin, S.T. The substituent effect of 1-arylazonaphthen-2-ols on azo-hydrazone tautomerization according to NMR analysis. J. Chin. Chem. Soc. 2015, 62, 335–341. [Google Scholar] [CrossRef]
- Lin, S.-T.; Lin, L.-H.; Lin, Y.-C.; Ding, M.-F. Substituent Effect on the Tautomerization of 1-Arylazonaphthalen-2-ols by Mass Spectrometric Analysis. J. Chin. Chem. Soc. 2015, 62, 257–262. [Google Scholar] [CrossRef]
- Bandara, H.M.D.; Burdette, S.C. Photoisomerization in different classes of azobenzene. Chem. Soc. Rev. 2012, 41, 1809–1825. [Google Scholar] [CrossRef] [PubMed]
- Yang, Y.; Hughes, R.P.; Aprahamian, I. Near-Infrared Light Activated Azo-BF 2 Switches. J. Am. Chem. Soc. 2014, 136. [Google Scholar] [CrossRef] [PubMed]
- Avobenzone, D.; Zhang, G.; Lu, J.; Sabat, M.; Fraser, C.L. Polymorphism and reversible mechanochromic luminescence for solid-state. J. Am. Chem. Soc. 2010, 132, 2160–2162. [Google Scholar] [CrossRef]
- Kubota, Y.; Tanaka, S.; Funabiki, K.; Matsui, M. Synthesis and fluorescence properties of thiazole-boron complexes bearing a β-ketoiminate ligand. Org. Lett. 2012, 14, 4682–4685. [Google Scholar] [CrossRef]
- Yoshino, J.; Furuta, A.; Kambe, T.; Itoi, H.; Kano, N.; Kawashima, T.; Ito, Y.; Asashima, M. Intensely fluorescent azobenzenes: Synthesis, crystal structures, effects of substituents, and application to fluorescent vital stain. Chem. A Eur. J. 2010, 16, 5026–5035. [Google Scholar] [CrossRef]
- Yoshino, J.; Kano, N.; Kawashima, T. Synthesis of the most intensely fluorescent azobenzene by utilizing the B-N interaction. Chem. Commun. 2007, 559–561. [Google Scholar] [CrossRef]
- Skotnicka, A.; Kolehmainen, E.; Czeleń, P.; Valkonen, A.; Gawinecki, R. Synthesis and structural characterization of substituted 2-phenacylbenzoxazoles. Int. J. Mol. Sci. 2013, 14, 4444–4460. [Google Scholar] [CrossRef]
- Skotnicka, A.; Czeleń, P.; Gawinecki, R. Tautomeric equilibria in solutions of 2-phenacylbenzimidazoles. Heteroat. Chem. 2019, 2019. [Google Scholar] [CrossRef]
- Skotnicka, A.; Czeleń, P.; Gawinecki, R. Tautomeric equilibria in solutions of 1-methyl-2-phenacylbenzimidazoles. J. Mol. Struct. 2017, 1134, 546–551. [Google Scholar] [CrossRef]
- Gawinecki, R.; Kuczek, A.; Kolehmainen, E.; Ośmiałowski, B.; Krygowski, T.M.; Kauppinen, R. Influence of bond fixation in benzo-annulated N-salicylideneanilines and their ortho-C(=O)X derivatives (X = CH3, NH2, OCH3) on tautomeric equilibria in solution. J. Org. Chem. 2007, 72, 5598–5607. [Google Scholar] [CrossRef]
- Sakamoto, T.; Terao, Y.; Sekiya, M. N-[(N-nitrosoarylamino)methyl]succinimide as a new agent generating aromatic diazotate. Chem. Pharm. Bull. 1977, 25, 731–739. [Google Scholar] [CrossRef][Green Version]
- Tedder, J.M. The direct introduction of the diazonium group into aromatic nuclei. Part I. The basic reaction, yielding diazonium salts from polyalkylbenzenes, phenol ethers, phenols, and aromatic tertiary amines. J. Chem. Soc. 1957, 4003–4008. [Google Scholar] [CrossRef]
- Schreiber, J.; Večeřa, M. Reaktivität organischer Azoverbindungen V. Scheinbare Dissoziationskonstanten der 1-Phenylazo-2-naphthole in 50%igem Äthanol. Collect. Czechoslov. Chem. Commun. 1969, 34, 2145–2150. [Google Scholar] [CrossRef]
- Rahimizadeh, M.; Eshghi, H.; Shiri, A.; Ghadamyari, Z.; Matin, M.M.; Oroojalian, F.; Pordeli, P. Fe(HSO4)3 as an Efficient Catalyst for Diazotization and Diazo Coupling Reactions. J. Korean Chem. Soc. 2012, 56. [Google Scholar] [CrossRef]
- Safari, J.; Zarnegar, Z. An environmentally friendly approach to the green synthesis of azo dyes in the presence of magnetic solid acid catalysts. RSC Adv. 2015, 5, 17738–17745. [Google Scholar] [CrossRef]
- Shomali, A.; Valizadeh, H.; Noorshargh, S. New Generation of Nitrite Functionalized Star-like Polyvinyl Imidazolium Compound: Application as a Nitrosonium Source and Three Dimensional Nanocatalyst for the Synthesis of Azo Dyes. Lett. Org. Chem. 2017, 14, 409–418. [Google Scholar] [CrossRef]
- Valizadeh, H.; Shomali, A.; Nourshargh, S.; Mohammad-Rezaei, R. Carboxyl and nitrite functionalized graphene quantum dots as a highly active reagent and catalyst for rapid diazotization reaction and synthesis of azo-dyes under solvent-free conditions. Dye. Pigment. 2015, 113, 522–528. [Google Scholar] [CrossRef]
- Barrett, G.C.; El-Abadelah, M.M.; Hargreaves, M.K. Cleavage of 2-acetyl-2-phenylazopropionanilide and related compounds by boron trifluoride. New Japp-Klingemann reactions. J. Chem. Soc. C Org. 1989, 1986–1989. [Google Scholar] [CrossRef]
- Umland, F.; Hohaus, E.; Brodte, K. Borchelate und Bormetallchelate, II. Über die Bildung von Fluorborchelaten. Chem. Ber. 1973, 106, 2427–2437. [Google Scholar] [CrossRef]
- Jiménez, C.; Farfan, N.; Romero-Avila, M.; Santillan, R.; Malfant, I.; Lacroix, P.G. Light induced nonlinear optical switch in boronated chromophores: A theoretical search towards high contrast switches in the azobenzene series. J. Organomet. Chem. 2015, 799–800, 215–222. [Google Scholar] [CrossRef]
- Olmsted, J. Calorimetric Determinations of Absolute Fluorescence Quantum Yields. J. Phys. Chem. 1979, 83, 2581–2584. [Google Scholar] [CrossRef]
- Brouwer, A.M. Standards for photoluminescence quantum yield measurements in solution (IUPAC Technical Report). Pure Appl. Chem. 2011, 83, 2213–2228. [Google Scholar] [CrossRef]
- Piatkevich, K.D.; Verkhusha, V. V Guide to Red Fluorescent Proteins and Biosensors for Flow Cytometry. Methods Cell Biol. 2011, 102, 431–461. [Google Scholar] [CrossRef]
- Tathe, A.B.; Sekar, N. Red Emitting Coumarin-Azo Dyes: Synthesis, Characterization, Linear and Non-linear Optical Properties-Experimental and Computational Approach. J. Fluoresc. 2016, 26, 1279–1293. [Google Scholar] [CrossRef]
- Acemioğlu, B.; Onganer, Y. Determination of Ground-and Excited-State Dipole Moments of Pyronin B Using the Solvatochromic Method and Quantum-Chemical Calculations. Acta Phys. Pol. A 2020, 138. [Google Scholar] [CrossRef]
- Lee, C.; Yang, W.; Parr, R.G. Development of the Colle-Salvetti correlation-energy formula into a functional of the electron density. Phys. Rev. B 1988, 37, 785–789. [Google Scholar] [CrossRef]
- Becke, A.D. Density-functional thermochemistry. III. The role of exact exchange. J. Chem. Phys. 1993, 98, 5648. [Google Scholar] [CrossRef]
- Ong, B.K.; Woon, K.L.; Ariffin, A. Evaluation of various density functionals for predicting the electrophosphorescent host HOMO, LUMO and triplet energies. Synth. Met. 2014, 195, 54–60. [Google Scholar] [CrossRef]
- Petersson, G.A.; Bennett, A.; Tensfeldt, T.G.; Al-Laham, M.A.; Shirley, W.A.; Mantzaris, J. A complete basis set model chemistry. I. The total energies of closed-shell atoms and hydrides of the first-row elements. J. Chem. Phys. 1988, 89, 2193–2218. [Google Scholar] [CrossRef]
- Petersson, G.A.; Al-Laham, M.A. A complete basis set model chemistry. II. Open-shell systems and the total energies of the first-row atoms. J. Chem. Phys. 1991, 94, 6081–6090. [Google Scholar] [CrossRef]
- Marten, B.; Kim, K.; Cortis, C.; Friesner, R.A.; Murphy, R.B.; Ringnalda, M.N.; Sitkoff, D.; Honig, B. New model for calculation of solvation free energies: Correction of self-consistent reaction field continuum dielectric theory for short-range hydrogen-bonding effects. J. Phys. Chem. 1996, 100, 11775–11788. [Google Scholar] [CrossRef]
- Barone, V.; Cossi, M.; Tomasi, J. A new definition of cavities for the computation of solvation free energies by the polarizable continuum model. J. Chem. Phys. 1997, 107, 3210–3221. [Google Scholar] [CrossRef]
- Frisch, M.J.; Trucks, G.W.; Schlegel, H.B.; Scuseria, G.E.; Robb, M.A.; Cheeseman, J.R.; Scalmani, G.; Barone, V.; Petersson, G.A.; Nakatsuji, H.; et al. Gaussian 09, Revision A.02; Gaussian Inc.: Wallingford, UK, 2016. [Google Scholar]
- Hanwell, M.D.; Curtis, D.E.; Lonie, D.C.; Vandermeerschd, T.; Zurek, E.; Hutchison, G.R. Avogadro: An advanced semantic chemical editor, visualization, and analysis platform. J. Cheminform. 2012, 4, 17. [Google Scholar] [CrossRef]
- Towns, A.D. Developments in azo disperse dyes derived from heterocyclic diazo components. Dye. Pigment. 1999, 42, 3–28. [Google Scholar] [CrossRef]
- Merino, E. Synthesis of azobenzenes: The coloured pieces of molecular materials. Chem. Soc. Rev. 2011, 40, 3835–3853. [Google Scholar] [CrossRef]
- Hamon, F.; Djedaini-Pilard, F.; Barbot, F.; Len, C. Azobenzenes-synthesis and carbohydrate applications. Tetrahedron 2009, 65, 10105–10123. [Google Scholar] [CrossRef]
- Valizadeh, H.; Shomali, A.; Ghorbani, J.; Noorshargh, S. Synthesis of a nitrite functionalized star-like poly ionic compound as a highly efficient nitrosonium source and catalyst for the diazotization of anilines and subsequent facile synthesis of azo dyes under solvent-free conditions. Dye. Pigment. 2015, 117, 64–71. [Google Scholar] [CrossRef]
- Masoud, M.S.; Elsamra, R.M.I.; Hemdan, S.S. Solvent, substituents and pH effects towards the spectral shifts of some highly coloured indicators. J. Serb. Chem. Soc. 2017, 82, 851–864. [Google Scholar] [CrossRef]
- Dakiky, M.; Kanan, K.; Khamis, M. Aggregation of o, o H-dihydroxyazo dyes II. Interaction of 2-hydroxy-4-nitrophenylazoresorcinol in DMSO and DMF. Dye. Pigment. 1999, 41, 199–209. [Google Scholar] [CrossRef]
- Jadhav, A.G.; Shinde, S.S.; Sekar, N. Red Emitting Monoazo Disperse Dyes with Phenyl(1H-benzoimidazol-5-yl) Methanone as Inbuilt Photostabilizing Unit: Synthesis, Spectroscopic, Dyeing and DFT Studies. J. Fluoresc. 2018, 28, 639–653. [Google Scholar] [CrossRef] [PubMed]
- Józefowicz, M.; Milart, P.; Heldt, J.R. Determination of ground and excited state dipole moments of 4,5′-diamino[1,1′:3′,1″-terphenyl]-4′,6′-dicarbonitrile using solvatochromic method and quantum-chemical calculations. Spectrochim. Acta Part. A Mol. Biomol. Spectrosc. 2009, 74, 959–963. [Google Scholar] [CrossRef] [PubMed]
- Párkányi, C.; Boniface, C.; Aaron, J.J.; Gaye, M.D.; Ghosh, R.; von Szentpály, L.; RaghuVeer, K.S. Electronic absorption and fluorescence spectra and excited singlet-state dipole moments of biologically important pyrimidines. Struct. Chem. 1992, 3, 277–289. [Google Scholar] [CrossRef]
- Vennila, P.; Govindaraju, M.; Venkatesh, G.; Kamal, C. Molecular structure, vibrational spectral assignments (FT-IR and FT-RAMAN), NMR, NBO, HOMO-LUMO and NLO properties of O-methoxybenzaldehyde based on DFT calculations. J. Mol. Struct. 2016, 1111, 151–156. [Google Scholar] [CrossRef]
Publisher’s Note: MDPI stays neutral with regard to jurisdictional claims in published maps and institutional affiliations. |
© 2021 by the authors. Licensee MDPI, Basel, Switzerland. This article is an open access article distributed under the terms and conditions of the Creative Commons Attribution (CC BY) license (https://creativecommons.org/licenses/by/4.0/).












