Effect of Controlled Artificial Disorder on the Magnetic Properties of EuFe2(As1−xPx)2 Ferromagnetic Superconductor
Abstract
1. Introduction
2. Experimental
3. Results
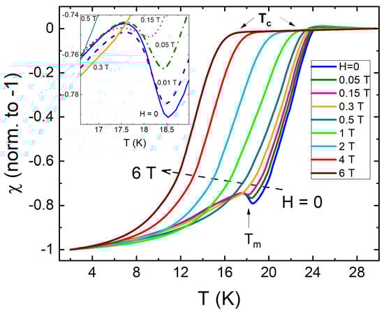
3.1. Electron Irradiation
3.2. Phase Diagram and Comparisons with Other Compounds and Irradiation
4. Conclusions
Author Contributions
Funding
Institutional Review Board Statement
Informed Consent Statement
Data Availability Statement
Acknowledgments
Conflicts of Interest
References
- Ginzburg, V.L. Ferromagnetic Superconductors. Sov. Phys. JETP 1957, 4, 153–160. [Google Scholar]
- Matthias, B.T.; Suhl, H.; Corenzwit, E. Ferromagnetic Superconductors. Phys. Rev. Lett. 1958, 1, 449. [Google Scholar] [CrossRef]
- Buzdin, A.I.; Bulaevskii, L.N.; Kulich, M.L.; Panyukov, S.V. Magnetic Superconductors. Sov. Phys. Uspekhi 1984, 27, 927–953. [Google Scholar] [CrossRef]
- Machida, K.; Nakanishi, H. Superconductivity under a Ferromagnetic Molecular Field. Phys. Rev. B 1984, 30, 122. [Google Scholar] [CrossRef]
- Bulaevskii, L.N.; Buzdin, A.I.; Kulić, M.L.; Panjukov, S.V. Coexistence of Superconductivity and Magnetism Theoretical Predictions and Experimental Results. Adv. Phys. 1985, 34, 175–261. [Google Scholar] [CrossRef]
- Buzdin, A.I.; Bulaevskii, L.N. Antiferromagnetic Superconductors. Sov. Phys. Uspekhi 1986, 29, 412–425. [Google Scholar] [CrossRef]
- Sinha, K.P.; Kakani, S.L. Magnetic Superconductors: Recent Developments; Nova Science Publishers: Harpak, NY, USA, 1989. [Google Scholar]
- Fischer, O. Magnetic Superconductors. In Handbook of Magnetic Materials; Buschow, K.H.J., Wohlfarth, E.P., Eds.; Elsevier: Amsterdam, The Netherlands, 1990; Volume 5. [Google Scholar]
- Maple, M.B. Interplay between Superconductivity and Magnetism. Phys. B Condens. Matter 1995, 215, 110–126. [Google Scholar] [CrossRef]
- Flouquet, J.; Buzdin, A. Ferromagnetic Superconductors. Phys. World 2002, 15, 41. [Google Scholar] [CrossRef]
- Ishikawa, M.; Fischer, O. Destruction of Superconductivity by Magnetic Ordering in Ho1.2Mo6S8. Solid State Commun. 1977, 23, 37–39. [Google Scholar] [CrossRef]
- Crabtree, G.W.; Behroozi, F.; Campbell, S.A.; Hinks, D.G. Anisotropic Superconducting and Magnetic Properties of a Single Crystal of Erbium Rhodium Boride (ErRh4B4). Phys. Rev. Lett. 1982, 49, 1342–1345. [Google Scholar] [CrossRef]
- Bulaevskii, L.N.; Buzdin, A.I.; Panyukov, S.V.; Kulic, M.L. Coexistence of Ferromagnetism and Superconductivity in Erbium Rhodium Boride (ErRh4B4) and Holmium Molybdenum Sulfide (HoMo6S8): Exchange or Electromagnetic Mechanism? Phys. Lett. A 1982, 89A, 93–95. [Google Scholar] [CrossRef]
- Prozorov, R.; Vannette, M.D.; Law, S.A.; Bud’ko, S.L.; Canfield, P.C. Interplay of Local-Moment Ferromagnetism and Superconductivity in ErRh4B4 Single Crystals. J. Phys. Conf. Ser. 2009, 150, 052218. [Google Scholar] [CrossRef]
- Aoki, D.; Ishida, K.; Flouquet, J. Review of U-Based Ferromagnetic Superconductors: Comparison between UGe2, URhGe, and UCoGe. J. Phys. Soc. Jpn. 2019, 88, 022001. [Google Scholar] [CrossRef]
- Cava, R.J.; Takagi, H.; Zandbergen, H.W.; Krajewski, J.J.; Peck, W.F.; Siegrist, T.; Batlogg, B.; van Dover, R.B.; Felder, R.J.; Mizuhashi, K.; et al. Superconductivity in the Quaternary Intermetallic Compounds LnNi2B2C. Nature 1994, 367, 252–253. [Google Scholar] [CrossRef]
- Bud’ko, S.L.; Canfield, P.C. Magnetism and Superconductivity in Rare Earth-Nickel-Borocarbides. C. R. Phys. 2006, 7, 56–67. [Google Scholar] [CrossRef]
- Prozorov, R.; Vannette, M.D.; Gordon, R.T.; Martin, C.; Bud’ko, S.L.; Canfield, P.C. Coexistence of Long-Range Magnetic Order and Superconductivity from Campbell Penetration Depth Measurements. Superc. Sci. Technol. 2009, 22. [Google Scholar] [CrossRef]
- Canfield, P.C.; Bud’ko, S.L. FeAs-Based Superconductivity: A Case Study of the Effects of Transition Metal Doping on BaFe2As2. Annu. Rev. Condens. Matter Phys. 2010, 1, 27–50. [Google Scholar] [CrossRef]
- Johnston, D.C. The Puzzle of High Temperature Superconductivity in Layered Iron Pnictides and Chalcogenides. Adv. Phys. 2010, 59, 803–1061. [Google Scholar] [CrossRef]
- Paglione, J.; Greene, R. High-Temperature Superconductivity in Iron-Based Materials. Nat. Phys. 2010, 6, 645–658. [Google Scholar] [CrossRef]
- Basov, D.N.; Chubukov, A.V. Manifesto for a Higher Tc. Nat. Phys. 2011, 7, 272–276. [Google Scholar] [CrossRef]
- Hirschfeld, P.J.; Korshunov, M.M.; Mazin, I.I. Gap Symmetry and Structure of Fe-Based Superconductors. Rep. Prog. Phys. 2011, 74, 124508. [Google Scholar] [CrossRef]
- Prozorov, R.; Kogan, V.G. London Penetration Depth in Iron-Based Superconductors. Rep. Prog. Phys. 2011, 74, 124505. [Google Scholar] [CrossRef]
- Zapf, S.; Jeevan, H.S.; Ivek, T.; Pfister, F.; Klingert, F.; Jiang, S.; Wu, D.; Gegenwart, P.; Kremer, R.K.; Dressel, M. EuFe2(As,P)2: Reentrant Spin Glass and Superconductivity. Phys. Rev. Lett. 2013, 110, 237002. [Google Scholar] [CrossRef] [PubMed]
- Chubukov, A.; Hirschfeld, P.J. Iron-Based Superconductors, Seven Years Later. Phys. Today 2015, 68, 46–52. [Google Scholar] [CrossRef]
- Nandi, S.; Jin, W.T.; Xiao, Y.; Su, Y.; Price, S.; Shukla, D.K.; Strempfer, J.; Jeevan, H.S.; Gegenwart, P.; Brückel, T. Coexistence of Superconductivity and Ferromagnetism in P-Doped EuFe2As2. Phys. Rev. B 2014, 89, 014512. [Google Scholar] [CrossRef]
- Nandi, S.; Jin, W.T.; Xiao, Y.; Su, Y.; Price, S.; Schmidt, W.; Schmalzl, K.; Chatterji, T.; Jeevan, H.S.; Gegenwart, P.; et al. Magnetic Structure of the Eu2+ Moments in Superconducting EuFe2(As1−xPx)2 with x = 0.19. Phys. Rev. B 2014, 90, 094407. [Google Scholar] [CrossRef]
- Ding, Q.P.; Sangeetha, N.S.; Meier, W.R.; Xu, M.; Bud’ko, S.L.; Canfield, P.C.; Johnston, D.C.; Furukawa, Y. Magnetic Detwinning and Biquadratic Magnetic Interaction in EuFe2As2 revealed by 153Eu NMR. Phys. Rev. B 2020, 102, 2–6. [Google Scholar] [CrossRef]
- Liu, Y.; Liu, Y.B.; Tang, Z.T.; Jiang, H.; Wang, Z.C.; Ablimit, A.; Jiao, W.H.; Tao, Q.; Feng, C.M.; Xu, Z.A.; et al. Superconductivity and Ferromagnetism in Hole-Doped RbEuFe4As4. Phys. Rev. B 2016, 93, 214503. [Google Scholar] [CrossRef]
- Smylie, M.P.; Koshelev, A.E.; Willa, K.; Willa, R.; Kwok, W.K.; Bao, J.K.; Chung, D.Y.; Kanatzidis, M.G.; Singleton, J.; Balakirev, F.F.; et al. Anisotropic Upper Critical Field of Pristine and Proton-Irradiated Single Crystals of the Magnetically Ordered Superconductor RbEuFe4As4. Phys. Rev. B 2019, 100, 054507. [Google Scholar] [CrossRef]
- Chubukov, A. Pairing Mechanism in Fe-Based Superconductors. Annu. Rev. Condens. Matter Phys. 2012, 3, 57–92. [Google Scholar] [CrossRef]
- Maiwald, J.; Mazin, I.I.; Gegenwart, P. Microscopic Theory of Magnetic Detwinning in Iron-Based Superconductors with Large-Spin Rare Earths. Phys. Rev. X 2018, 8, 011011. [Google Scholar] [CrossRef]
- Devizorova, Z.; Buzdin, A. Superconductivity-Driven Helical Magnetic Structure in EuRbFe4As4 Ferromagnetic Superconductor. Phys. Rev. B 2019, 100, 104523. [Google Scholar] [CrossRef]
- Koshelev, A.E. Suppression of Superconducting Parameters by Correlated Quasi-Two-Dimensional Magnetic Fluctuations. Phys. Rev. B 2020, 102, 054505. [Google Scholar] [CrossRef]
- Lynton, E.A.; Serin, B.; Zucker, M. The Superconductive Critical Temperature and the Electronic Specific Heat of Impure Tin. J. Phys. Chem. Solids 1957, 3, 165–174. [Google Scholar] [CrossRef]
- Anderson, P.W. Theory of Dirty Superconductors. J. Phys. Chem. Solids 1959, 11, 26–30. [Google Scholar] [CrossRef]
- Abrikosov, A.A.; Gor’kov, L.P. Contribution to the Theory of Superconducting Alloys with Paramagnetic Impurities. Zh. Eksp. Teor. Fiz. 1960, 39, 1781–1796. [Google Scholar]
- Markowitz, D.; Kadanoff, L.P. Effect of Impurities upon Critical Temperature of Anisotropic Superconductors. Phys. Rev. 1963, 131, 563–575. [Google Scholar] [CrossRef]
- Hirschfeld, P.J.; Goldenfeld, N. Effect of Strong Scattering on the Low-Temperature Penetration Depth of a d-wave Superconductor. Phys. Rev. B 1993, 48, 4219–4222. [Google Scholar] [CrossRef]
- Golubov, A.A.; Mazin, I.I. Effect of Magnetic and Nonmagnetic Impurities on Highly Anisotropic Superconductivity. Phys. Rev. B 1997, 55, 15146–15152. [Google Scholar] [CrossRef]
- Sun, Y.; Maki, K. Impurity Effects in d-Wave Superconductors. Phys. Rev. B 1995, 51, 6059–6063. [Google Scholar] [CrossRef]
- Openov, L.A. Critical Temperature of an Anisotropic Superconductor Containing Both Nonmagnetic and Magnetic Impurities. Phys. Rev. B 1998, 58, 9468–9478. [Google Scholar] [CrossRef]
- Efremov, D.V.; Korshunov, M.M.; Dolgov, O.V.; Golubov, A.A.; Hirschfeld, P.J. Disorder-Induced Transition between s± and s++ States in Two-Band Superconductors. Phys. Rev. B 2011, 84, 180512. [Google Scholar] [CrossRef]
- Kogan, V.G.; Prozorov, R.; Mishra, V. London Penetration Depth and Pair Breaking. Phys. Rev. B 2013, 88, 224508. [Google Scholar] [CrossRef]
- Timmons, E.I.; Teknowijoyo, S.; Końńczykowski, M.; Cavani, O.; Tanatar, M.A.; Ghimire, S.; Cho, K.; Lee, Y.; Ke, L.; Jo, N.H.; et al. Electron Irradiation Effects on Superconductivity in PdTe2: An Application of a Generalized Anderson Theorem. Phys. Rev. Res. 2020, 2, 023140. [Google Scholar] [CrossRef]
- Kogan, V.G.; Prozorov, R. Orbital Upper Critical Field of Type-II Superconductors with Pair Breaking. Phys. Rev. B 2013, 88, 024503. [Google Scholar] [CrossRef]
- Onari, S.; Kontani, H. Nonmagnetic Impurity Effects and Neutron Scattering Spectrum in Iron Pnictides. Phys. C Supercond. 2010, 470, 1007–1009. [Google Scholar] [CrossRef]
- Gordon, R.T.; Kim, H.; Tanatar, M.A.; Prozorov, R.; Kogan, V.G. London Penetration Depth and Strong Pair Breaking in Iron-Based Superconductors. Phys. Rev. B 2010, 81, 180501. [Google Scholar] [CrossRef]
- Fernandes, R.M.; Vavilov, M.G.; Chubukov, A.V. Enhancement of Tc by Disorder in Underdoped Iron Pnictide Superconductors. Phys. Rev. B 2012, 85, 140512. [Google Scholar] [CrossRef]
- Wang, Y.; Kreisel, A.; Hirschfeld, P.J.; Mishra, V. Using Controlled Disorder to Distinguish s± and s++ Gap Structure in Fe-Based Superconductors. Phys. Rev. B 2013, 87, 094504. [Google Scholar] [CrossRef]
- Ghigo, G.; Torsello, D.; Ummarino, G.A.; Gozzelino, L.; Tanatar, M.A.; Prozorov, R.; Canfield, P.C. Disorder-Driven Transition from s± to s++ Superconducting Order Parameter in Proton Irradiated Ba(Fe1−xRhx)2As2 Single Crystals. Phys. Rev. Lett. 2018, 121, 107001. [Google Scholar] [CrossRef] [PubMed]
- Torsello, D.; Ummarino, G.; Bekaert, J.; Gozzelino, L.; Gerbaldo, R.; Tanatar, M.A.; Canfield, P.C.; Prozorov, R.; Ghigo, G. Tuning the Intrinsic Anisotropy with Disorder in the CaKFe4As4 Superconductor. Phys. Rev. Appl. 2020, 13, 064046. [Google Scholar] [CrossRef]
- Torsello, D.; Cho, K.; Joshi, K.R.; Ghimire, S.; Ummarino, G.A.; Nusran, N.M.; Tanatar, M.A.; Meier, W.R.; Xu, M.; Bud’ko, S.L.; et al. Analysis of the London Penetration Depth in Ni-doped CaKFe4As4. Phys. Rev. B 2019, 100, 094513. [Google Scholar] [CrossRef]
- Torsello, D.; Gerbaldo, R.; Gozzelino, L.; Laviano, F.; Takahashi, A.; Park, A.; Pyon, S.; Ichinose, A.; Tamegai, T.; Ghigo, G. Twofold Role of Columnar Defects in Iron Based Superconductors. Supercond. Sci. Technol. 2020, 33, 094012. [Google Scholar] [CrossRef]
- Finnemore, D.K.; Johnson, D.L.; Ostenson, J.E.; Spedding, F.H.; Beaudry, B.J. Superconductivity in Pure La and La-Gd. Phys. Rev. 1965, 137, A550–A556. [Google Scholar] [CrossRef]
- Satoh, T.; Ohtsuka, T. The Specific Heat and Superconductivity of La-Y Alloys. J. Phys. Soc. Jpn. 1967, 23, 9–18. [Google Scholar] [CrossRef]
- Torsello, D.; Gozzelino, L.; Gerbaldo, R.; Tamegai, T.; Ghigo, G. Scaling laws for ion irradiation effects in iron-based superconductors. Sci. Rep. 2021, 11, 1–10. [Google Scholar] [CrossRef] [PubMed]
- Cho, K.; Kończykowski, M.; Teknowijoyo, S.; Tanatar, M.A.; Prozorov, R. Using Electron Irradiation to Probe Iron-Based Superconductors. Supercond. Sci. Technol. 2018, 31, 064002. [Google Scholar] [CrossRef]
- Torsello, D.; Gerbaldo, R.; Gozzelino, L.; Tanatar, M.A.; Prozorov, R.; Canfield, P.C.; Ghigo, G. Electrodynamic Response of Ba (Fe1−xRhx)2As2 across the s± to s++ order parameter transition. Eur. Phys. J. Spec. Top. 2019, 228, 719–723. [Google Scholar] [CrossRef]
- Torsello, D.; Ummarino, G.A.; Gerbaldo, R.; Gozzelino, L.; Ghigo, G. Eliashberg Analysis of the Electrodynamic Response of Ba(Fe1−xRhx)2As2 Across the s± to s++ Order Parameter Transition. J. Supercond. Nov. Magn. 2020, 33, 2319–2324. [Google Scholar] [CrossRef]
- Demirdiş, S.; Fasano, Y.; Kasahara, S.; Terashima, T.; Shibauchi, T.; Matsuda, Y.; Konczykowski, M.; Pastoriza, H.; van der Beek, C.J. Disorder, Critical Currents, and Vortex Pinning Energies in Isovalently Substituted BaFe2(As1−xPx)2. Phys. Rev. B 2013, 87, 094506. [Google Scholar] [CrossRef]
- Mizukami, Y.; Konczykowski, M.; Matsuura, K.; Watashige, T.; Kasahara, S.; Matsuda, Y.; Shibauchi, T. Impact of Disorder on the Superconducting Phase Diagram in BaFe2(As1−xPx)2. J. Phys. Soc. Jpn. 2017, 86, 083706. [Google Scholar] [CrossRef]
- Mizukami, Y.; Konczykowski, M.; Kawamoto, Y.; Kurata, S.; Kasahara, S.; Hashimoto, K.; Mishra, V.; Kreisel, A.; Wang, Y.; Hirschfeld, P.; et al. Disorder-Induced Topological Change of the Superconducting Gap Structure in Iron Pnictides. Nat. Commun. 2014, 5, 5657. [Google Scholar] [CrossRef] [PubMed]
- Sun, Y.; Park, A.; Pyon, S.; Tamegai, T.; Kitamura, H. Symmetry-Unprotected Nodes or Gap Minima in the s++ state of Monocrystalline FeSe. Phys. Rev. B 2017, 96, 140505. [Google Scholar] [CrossRef]
- Ghigo, G.; Torsello, D.; Gerbaldo, R.; Gozzelino, L.; Pyon, S.; Veshchunov, I.S.; Tamegai, T.; Cao, G. Effects of Proton Irradiation on the Magnetic Superconductor EuFe2(As,P)2. Supercond. Sci. Technol. 2020, 33, 094011. [Google Scholar] [CrossRef]
- Xu, X.; Jiao, W.H.; Zhou, N.; Li, Y.K.; Chen, B.; Cao, C.; Dai, J.; Bangura, A.F.; Cao, G. Electronic Nematicity Revealed by Torque Magnetometry in EuFe2(As,P)2. Phys. Rev. B 2014, 89, 104517. [Google Scholar] [CrossRef]
- Prozorov, R.; Giannetta, R.W.; Carrington, A.; Araujo-Moreira, F.M. Meissner-London state in Superconductors of Rectangular Cross Section in a Perpendicular Magnetic Field. Phys. Rev. B 2000, 62, 115–118. [Google Scholar] [CrossRef]
- Prozorov, R.; Giannetta, R.W.; Carrington, A.; Fournier, P.; Greene, R.L.; Guptasarma, P.; Hinks, D.G.; Banks, A.R. Measurements of the Absolute Value of the Penetration Depth in High-Tc Superconductors using a Low-Tc Superconductive Coating. Appl. Phys. Lett. 2000, 77, 4202–4204. [Google Scholar] [CrossRef]
- Prozorov, R.; Giannetta, R.W. Magnetic Penetration Depth in Unconventional Superconductors. Supercond. Sci. Technol. 2006, 19, R41–R67. [Google Scholar] [CrossRef]
- Prozorov, R. Meissner-London Susceptibility of Superconducting Right Circular Cylinders in an Axial Magnetic Field. arXiv 2021, arXiv:2105.00998. [Google Scholar]
- Prozorov, R.; Kogan, V.G. Effective Demagnetizing Factors of Diamagnetic Samples of Various Shapes. Phys. Rev. Appl. 2018, 10, 014030. [Google Scholar] [CrossRef]
- Ghigo, G.; Ummarino, G.A.; Gozzelino, L.; Gerbaldo, R.; Laviano, F.; Torsello, D.; Tamegai, T. Effects of disorder induced by heavy-ion irradiation on (Ba1−xKx)Fe2As2 single crystals, within the three-band Eliashberg s± wave model. Sci. Rep. 2017, 7, 13029. [Google Scholar] [CrossRef] [PubMed]
- Torsello, D.; Ummarino, G.A.; Gozzelino, L.; Tamegai, T.; Ghigo, G. Comprehensive Eliashberg Analysis of Microwave Conductivity and Penetration Depth of K-, Co-, and P-substituted BaFe2As2. Phys. Rev. B 2019, 99, 134518. [Google Scholar] [CrossRef]
- Ghigo, G.; Ummarino, G.A.; Gozzelino, L.; Tamegai, T. Penetration depth of Ba1−xKxFe2As2 single crystals explained within a multiband Eliashberg s± approach. Phys. Rev. B 2017, 96, 014501. [Google Scholar] [CrossRef]
- Ghigo, G.; Torsello, D.; Gozzelino, L.; Tamegai, T.; Veshchunov, I.S.; Pyon, S.; Jiao, W.; Cao, G.H.; Grebenchuk, S.Y.; Golovchanskiy, I.A.; et al. Microwave Analysis of the Interplay between Magnetism and Superconductivity in EuFe22(As,P)2 Single Crystals. Phys. Rev. Res. 2019, 1, 033110. [Google Scholar] [CrossRef]
- Prozorov, R.; Końńczykowski, M.; Tanatar, M.A.; Thaler, A.; Bud’ko, S.L.; Canfield, P.C.; Mishra, V.; Hirschfeld, P.J. Effect of Electron Irradiation on Superconductivity in Single Crystals of Ba(Fe1−xRux)2As2 (x = 0.24). Phys. Rev. X 2014, 4, 041032. [Google Scholar] [CrossRef]
- Prozorov, R.; Kończykowski, M.; Tanatar, M.A.; Wen, H.H.; Fernandes, R.M.; Canfield, P.C. Interplay between Superconductivity and Itinerant Magnetism in Underdoped Ba1−xKxFe2As2 (x = 0.2) Probed by the Response to Controlled Point-like Disorder. NPJ Quantum Mater. 2019, 4, 34. [Google Scholar] [CrossRef]
- Cooper, J.R. Power-Law Dependence of the ab-Plane Penetration Depth in Nd1.85Ce0.15CuO4−y. Phys. Rev. B 1996, 54, R3753–R3755. [Google Scholar] [CrossRef]
- Prozorov, R.; Giannetta, R.W.; Fournier, P.; Greene, R.L. Evidence for Nodal Quasiparticles in Electron-Doped Cuprates from Penetration Depth Measurements. Phys. Rev. Lett. 2000, 85, 3700–3703. [Google Scholar] [CrossRef]
- Stolyarov, V.S.; Veshchunov, I.S.; Grebenchuk, S.Y.; Baranov, D.S.; Golovchanskiy, I.A.; Shishkin, A.G.; Zhou, N.; Shi, Z.; Xu, X.; Pyon, S.; et al. Domain Meissner State and Spontaneous Vortex—Antivortex Generation in the Ferromagnetic Superconductor. Sci. Adv. 2018, 4. [Google Scholar] [CrossRef] [PubMed]
- Devizorova, Z.; Mironov, S.; Buzdin, A. Theory of Magnetic Domain Phases in Ferromagnetic Superconductors. Phys. Rev. Lett. 2019, 122, 117002. [Google Scholar] [CrossRef]
- Koshelev, A.E. Helical Structures in Layered Magnetic Superconductors due to Indirect Exchange Interactions Mediated by Interlayer Tunneling. Phys. Rev. B 2019, 100, 1–12. [Google Scholar] [CrossRef]
- Vlasko-Vlasov, V.K.; Koshelev, A.E.; Smylie, M.; Bao, J.K.; Chung, D.Y.; Kanatzidis, M.G.; Welp, U.; Kwok, W.K. Self-induced Magnetic Flux Structure in the Magnetic Superconductor RbEuFe4As4. Phys. Rev. B 2019, 99, 1–6. [Google Scholar] [CrossRef]
- Vannette, M.D.; Sefat, A.S.; Jia, S.; Law, S.A.; Lapertot, G.; Bud’ko, S.L.; Canfield, P.C.; Schmalian, J.; Prozorov, R. Precise Measurements of Radio-Frequency Magnetic Susceptibility in Ferromagnetic and Antiferromagnetic Materials. J. Magn. Magn. Mater. 2008, 320, 354–363. [Google Scholar] [CrossRef][Green Version]
- Damask, A.C.; Dienes, G.J. Point Defects in Metals; Gordon & Breach Science Publishers Ltd.: London, UK, 1963. [Google Scholar]
- Konobeyev, A.; Fischer, U.; Korovin, Y.; Simakov, S. Evaluation of Effective Threshold Displacement Energies and other Data Required for the Calculation of Advanced Atomic Displacement Cross-sections. Nucl. Energy Technol. 2017, 3, 169–175. [Google Scholar] [CrossRef]
- Torsello, D.; Mino, L.; Bonino, V.; Agostino, A.; Operti, L.; Borfecchia, E.; Vittone, E.; Lamberti, C.; Truccato, M. Monte Carlo Analysis of the Oxygen Knock-on Effects Induced by Synchrotron x-ray Radiation in the Bi2Sr2CaCu2O8+δ superconductor. Phys. Rev. Mater. 2018, 2, 014801. [Google Scholar] [CrossRef]
- Prozorov, R.; Shaulov, A.; Wolfus, Y.; Yeshurun, Y. Frequency Dependence of the Local ac Magnetic Response in Type-II Superconductors. Phys. Rev. B 1995, 52, 12541–12544. [Google Scholar] [CrossRef] [PubMed]
- Yeshurun, Y.; Malozemoff, A.P.; Shaulov, A. Magnetic Relaxation in High-temperature Superconductors. Rev. Mod. Phys. 1996, 68, 911. [Google Scholar] [CrossRef]
- Blatter, G.; Feigel’man, M.V.; Geshkenbein, V.B.; Larkin, A.I.; Vinokur, V.M. Vortices in High-temperature Superconductors. Rev. Mod. Phys. 1994, 66, 1125–1388. [Google Scholar] [CrossRef]
- Konczykowski, M.; van der Beek, C.J.; Tanatar, M.A.; Luo, H.; Wang, Z.; Shen, B.; Wen, H.H.; Prozorov, R. Vortex Creep and Critical Current Densities in Superconducting (Ba,K)Fe2As2 single crystals. Phys. Rev. B 2012, 86, 024515. [Google Scholar] [CrossRef]
- Prozorov, R.; Tillman, M.E.; Mun, E.D.; Canfield, P.C. Intrinsic Magnetic Properties of the Superconductor NdFeAsO0.9F0.1 from Local and Global Measurements. New J. Phys. 2009, 11, 035004. [Google Scholar] [CrossRef][Green Version]
- Prozorov, R.; Ni, N.; Tanatar, M.A.; Kogan, V.G.; Gordon, R.T.; Martin, C.; Blomberg, E.C.; Prommapan, P.; Yan, J.Q.; Bud’ko, S.L.; et al. Vortex Phase Diagram of Ba(Fe0.93Co0.07)2As2 single crystals. Phys. Rev. B 2008, 78, 224506. [Google Scholar] [CrossRef]
- Teknowijoyo, S.; Cho, K.; Tanatar, M.A.; Gonzales, J.; Böhmer, A.E.; Cavani, O.; Mishra, V.; Hirschfeld, P.J.; Bud’ko, S.L.; Canfield, P.C.; et al. Enhancement of Superconducting Transition Temperature by Pointlike Disorder and Anisotropic Energy Gap in FeSe Single Crystals. Phys. Rev. B 2016, 94, 064521. [Google Scholar] [CrossRef]
- Teknowijoyo, S.; Cho, K.; Kończykowski, M.; Timmons, E.I.; Tanatar, M.A.; Meier, W.R.; Xu, M.; Bud’ko, S.L.; Canfield, P.C.; Prozorov, R. Robust s± Pairing in CaK(Fe,Ni)4As4 (x = 0 and 0.05) from the Response to Electron Irradiation. Phys. Rev. B 2018, 97, 140508. [Google Scholar] [CrossRef]
- Ren, Z.; Tao, Q.; Jiang, S.; Feng, C.; Wang, C.; Dai, J.; Cao, G.; Xu, Z. Superconductivity Induced by Phosphorus Doping and Its Coexistence with Ferromagnetism in EuFe2(As0.7P0.3)2. Phys. Rev. Lett. 2009, 102, 137002. [Google Scholar] [CrossRef]
- Kurita, N.; Kimata, M.; Kodama, K.; Harada, A.; Tomita, M.; Suzuki, H.S.; Matsumoto, T.; Murata, K.; Uji, S.; Terashima, T. Upper Critical Field of the Pressure-induced Superconductor EuFe2As2. Phys. Rev. B 2011, 83, 100501. [Google Scholar] [CrossRef]
- Kogan, V.G.; Prozorov, R. Interband Coupling and Nonmagnetic Interband Scattering in s± Superconductors. Phys. Rev. B 2016, 93, 224515. [Google Scholar] [CrossRef]
- Ziegler, J.F.; Ziegler, M.; Biersack, J. SRIM—The Stopping and Range of Ions in Matter (2010). Nucl. Instrum. Meth. B 2010, 268, 1818–1823. [Google Scholar] [CrossRef]
- Park, A.; Pyon, S.; Sun, Y.; Veshchunov, I.; Chen, J.; Ito, N.; Suwa, T.; Tamegai, T.; Kitamura, H.; Ichinose, A. Quasiparticle Scattering in 3 MeV Proton Irradiated BaFe2(As0.67P0.33)2. Phys. Rev. B 2018, 98, 054512. [Google Scholar] [CrossRef]









Publisher’s Note: MDPI stays neutral with regard to jurisdictional claims in published maps and institutional affiliations. |
© 2021 by the authors. Licensee MDPI, Basel, Switzerland. This article is an open access article distributed under the terms and conditions of the Creative Commons Attribution (CC BY) license (https://creativecommons.org/licenses/by/4.0/).
Share and Cite
Ghimire, S.; Kończykowski, M.; Cho, K.; Tanatar, M.A.; Torsello, D.; Veshchunov, I.S.; Tamegai, T.; Ghigo, G.; Prozorov, R. Effect of Controlled Artificial Disorder on the Magnetic Properties of EuFe2(As1−xPx)2 Ferromagnetic Superconductor. Materials 2021, 14, 3267. https://doi.org/10.3390/ma14123267
Ghimire S, Kończykowski M, Cho K, Tanatar MA, Torsello D, Veshchunov IS, Tamegai T, Ghigo G, Prozorov R. Effect of Controlled Artificial Disorder on the Magnetic Properties of EuFe2(As1−xPx)2 Ferromagnetic Superconductor. Materials. 2021; 14(12):3267. https://doi.org/10.3390/ma14123267
Chicago/Turabian StyleGhimire, Sunil, Marcin Kończykowski, Kyuil Cho, Makariy A. Tanatar, Daniele Torsello, Ivan S. Veshchunov, Tsuyoshi Tamegai, Gianluca Ghigo, and Ruslan Prozorov. 2021. "Effect of Controlled Artificial Disorder on the Magnetic Properties of EuFe2(As1−xPx)2 Ferromagnetic Superconductor" Materials 14, no. 12: 3267. https://doi.org/10.3390/ma14123267
APA StyleGhimire, S., Kończykowski, M., Cho, K., Tanatar, M. A., Torsello, D., Veshchunov, I. S., Tamegai, T., Ghigo, G., & Prozorov, R. (2021). Effect of Controlled Artificial Disorder on the Magnetic Properties of EuFe2(As1−xPx)2 Ferromagnetic Superconductor. Materials, 14(12), 3267. https://doi.org/10.3390/ma14123267

