Effect of SWCNT-Tuball Paper on the Lightning Strike Protection of CFRPs and Their Selected Mechanical Properties
Abstract
1. Introduction
2. Materials and Methods
2.1. CFRP for Electrical and Mechanical Tests
2.2. Measurement Methods
3. Results and Discussion
3.1. Electrical Conductivity
3.2. Microstructure
3.3. Impact Resistance
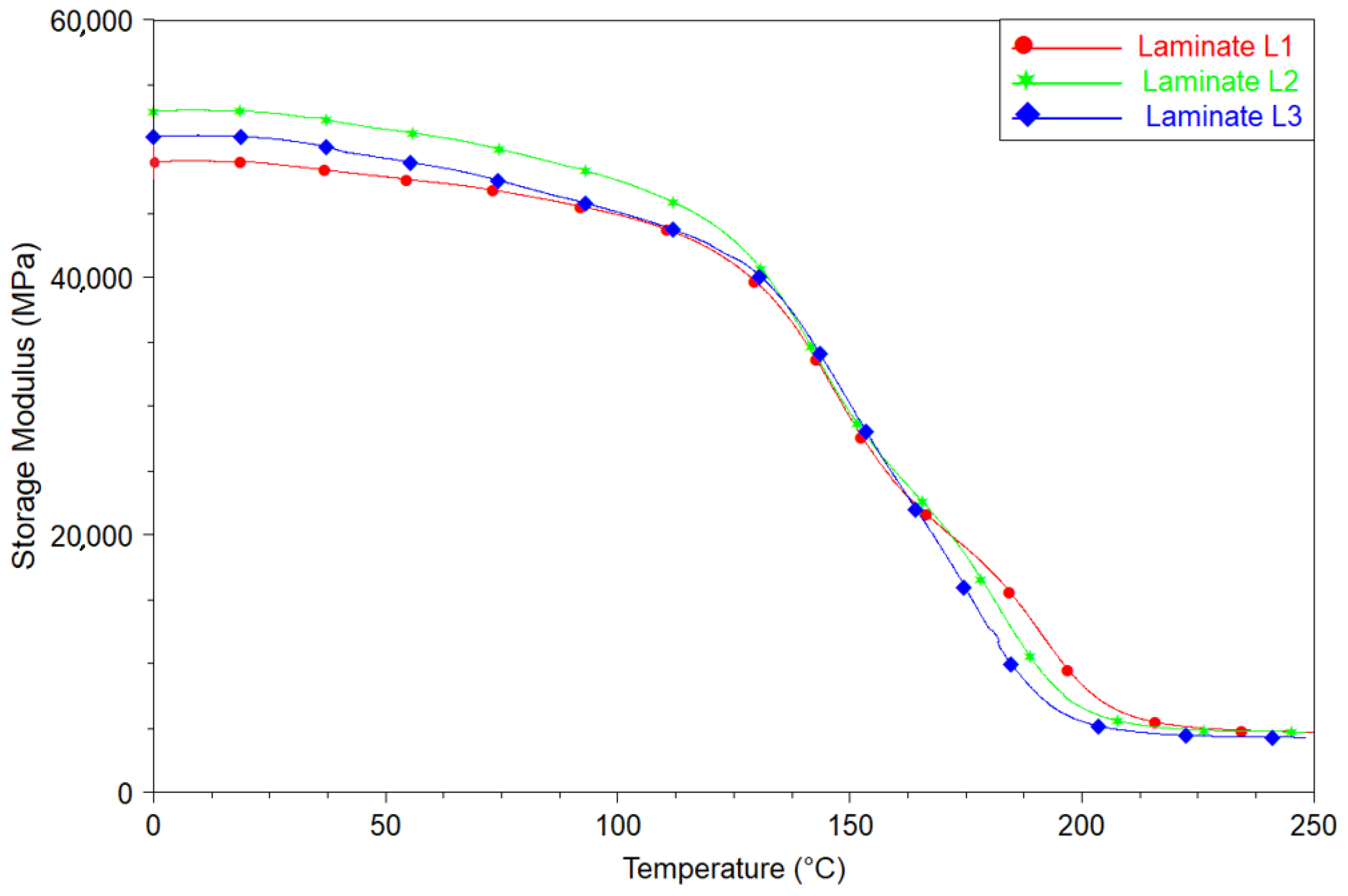
3.4. Dynamic Mechanical Analysis
3.5. Ultrasonic Tests after a Lightning Strike
4. Conclusions
Author Contributions
Funding
Institutional Review Board Statement
Informed Consent Statement
Data Availability Statement
Acknowledgments
Conflicts of Interest
References
- Hamer, S.; Leibovich, H.; Green, A.; Avrahami, R.; Zussman, E.; Siegmann, A.; Sherman, D. Mode I and Mode II fracture energy of MWCNT reinforced nanofibrilmats interleaved carbon/epoxy laminates. Compos. Sci. Technol. 2014, 90, 48–56. [Google Scholar] [CrossRef]
 - Zheng, N.; Huang, Y.; Liu, H.Y.; Gao, J.; Mai, Y.W. Improvement of interlaminar fracture toughness in carbon fiber/epoxy composites with carbon nanotubes/polysulfone interleaves. Compos. Sci. Technol. 2017, 140, 8–15. [Google Scholar] [CrossRef]
 - Kandare, E.; Khatibi, A.A.; Yoo, S.; Wang, R.; Ma, J.; Olivier, P.; Gleizes, N.; Wang, C.H. Improving the through-thickness thermal and electrical conductivity of carbon fibre/epoxy laminates by exploiting synergy between graphene and silver nano-inclusions. Compos. Part A Appl. Sci. Manuf. 2015, 69, 72–82. [Google Scholar] [CrossRef]
 - Hirano, Y.; Yamane, T.; Todoroki, A. Through-thickness electric conductivity of toughened carbon-fibre-reinforced polymer laminates with resin-rich layers. Compos. Sci. Technol. 2016, 122, 67–72. [Google Scholar] [CrossRef]
 - Li, Y.; Zhang, H.; Liu, Y.; Wang, H.; Huang, Z.; Peijs, T.; Bilotti, E. Synergistic effects of spray-coated hybrid carbon nanoparticles for enhanced electrical and thermal surface conductivity of CFRP laminates. Compos. Part A Appl. Sci. Manuf. 2018, 105, 9–18. [Google Scholar] [CrossRef]
 - Gagné, M.; Therriault, D. Lightning strike protection of composites. Prog. Aerosp. Sci. 2014, 64, 1–16. [Google Scholar] [CrossRef]
 - Hirano, Y.; Katsumata, S.; Iwahori, Y.; Todoroki, A. Artificial lightning testing on graphite/epoxy composite laminate. Compos. Part A Appl. Sci. Manuf. 2010, 41, 1461–1470. [Google Scholar] [CrossRef]
 - Morgan, D.; Hardwich, C.J.; Haigh, S.J.; Meakins, A.J. The Interaction of Lightning with Aircraft and the Challenges of Lightning Testing. J. Aerosp. Lab. 2012, 5, 1–10. [Google Scholar]
 - Zhao, Z.J.; Xian, G.J.; Yu, J.G.; Wang, J.; Tong, J.F.; Wei, J.H.; Wang, C.C.; Moreira, P.; Yi, X.S. Development of electrically conductive structural BMI based CFRPs for lightning strike protection. Compos. Sci. Technol. 2018, 167, 555–562. [Google Scholar] [CrossRef]
 - Dhanya, T.M.; Yerramalli, C.S. Lightning strike effect on carbon fiber reinforced composites—Effect of copper mesh protection. Mater. Today Commun. 2018, 16, 124–134. [Google Scholar] [CrossRef]
 - Hu, T.; Yu, X. Lightning performance of copper-mesh clad composite panels: Test and simulation. Coatings 2019, 9, 727. [Google Scholar] [CrossRef]
 - Katunin, A.; Krukiewicz, K.; Turczyn, R.; Sul, P.; Łasica, A.; Bilewicz, M. Synthesis and characterization of the electrically conductive polymeric composite for lightning strike protection of aircraft structures. Compos. Struct. 2016, 159, 773–783. [Google Scholar] [CrossRef]
 - Han, J.H.; Kim, C.G. Low earth orbit space environment simulation and its effects on graphite/epoxy composites. Compos. Struct. 2006, 72, 218–226. [Google Scholar] [CrossRef]
 - Srivastava, V.K.; Gries, T.; Veit, D.; Quadflieg, T.; Mohr, B.; Kolloch, M. Effect of nanomaterial on mode I and mode II interlaminar fracture toughness of woven carbon fabric reinforced polymer composites. Eng. Fract. Mech. 2017, 180, 73–86. [Google Scholar] [CrossRef]
 - Yanagi, K.; Udoguchi, H.; Sagitani, S.; Oshima, Y.; Takenobu, T.; Kataura, H.; Ishida, T.; Matsuda, K.; Maniwa, Y. Transport mechanisms in metallic and semiconducting single-wall carbon nanotube networks. ACS Nano 2010, 4, 4027–4032. [Google Scholar] [CrossRef]
 - Quan, D.; Urdániz, J.L.; Ivanković, A. Enhancing mode-I and mode-II fracture toughness of epoxy and carbon fibre reinforced epoxy composites using multi-walled carbon nanotubes. Mater. Des. 2018, 143, 81–92. [Google Scholar] [CrossRef]
 - Ciecierska, E.; Boczkowska, A.; Kurzydlowski, K.J.; Rosca, I.D.; Van Hoa, S. The effect of carbon nanotubes on epoxy matrix nanocomposites. J. Therm. Anal. Calorim. 2013, 111, 1019–1024. [Google Scholar] [CrossRef]
 - Mucha, M.; Krzyzak, A.; Kosicka, E.; Coy, E.; Koscinski, M.; Sterzynski, T.; Salacinski, M. Effect of MWCNTs on Wear Behavior of Epoxy Resin for Aircraft Applications. Materials 2020, 13, 2696. [Google Scholar] [CrossRef]
 - Pozegic, T.R.; Hamerton, I.; Anguita, J.V.; Tang, W.; Ballocchi, P.; Jenkins, P.; Silva, S.R.P. Low temperature growth of carbon nanotubes on carbon fibre to create a highly networked fuzzy fibre reinforced composite with superior electrical conductivity. Carbon 2014, 74, 319–328. [Google Scholar] [CrossRef]
 - Joshi, S.C.; Dikshit, V. Enhancing interlaminar fracture characteristics of woven CFRP prepreg composites through CNT dispersion. J. Compos. Mater. 2012, 46, 665–675. [Google Scholar] [CrossRef]
 - Mazinani, S.; Ajji, A.; Dubois, C. Morphology, structure and properties of conductive PS/CNT nanocomposite electrospun mat. Polyme 2009, 50, 3329–3342. [Google Scholar] [CrossRef]
 - Latko-Durałek, P.; Dydek, K.; Golonko, E.; Boczkowska, A. Mechanical properties of PETG fibres and their usage in carbon fibres/epoxy composite laminates. Fibres Text. East. Eur. 2018, 26, 61–65. [Google Scholar] [CrossRef]
 - Latko-Durałek, P.; Dydek, K.; Bolimowski, P.; Golonko, E.; Duralek, P.; Kozera, R.; Boczkowska, A. Nonwoven fabrics with carbon nanotubes used as interleaves in CFRP. IOP Conf. Ser. Mater. Sci. Eng. 2018, 406, 012033. [Google Scholar] [CrossRef]
 - Latko, P.; Kozera, R.; Salinier, A.; Boczkowska, A. Non-woven veils manufactured from polyamides doped with carbon nanotubes. Fibres Text. East. Eur. 2013, 21, 45–49. [Google Scholar]
 - Fogel, M.; Parlevliet, P.; Olivier, P.; Dantras, E. Manufacturing of conductive structural composites through spraying of CNTs/epoxy dispersions on dry carbon fiber plies. Compos. Part A Appl. Sci. Manuf. 2017, 100, 40–47. [Google Scholar] [CrossRef]
 - Quan, D.; Mischo, C.; Li, X.; Scarselli, G.; Ivanković, A.; Murphy, N. Improving the electrical conductivity and fracture toughness of carbon fibre/epoxy composites by interleaving MWCNT-doped thermoplastic veils. Compos. Sci. Technol. 2019, 182, 107775. [Google Scholar] [CrossRef]
 - Panhuis, M.; Wu, J.; Ashraf, S.; Wallace, G.G. Conducting textiles from single-walled carbon nanotubes. Synth. Metals 2007, 157, 358–362. [Google Scholar] [CrossRef]
 - Siochi, E.J.; Harrison, J.S. Structural nanocomposites for aerospace applications. MRS Bull. 2015, 40, 829–835. [Google Scholar] [CrossRef]
 - Khan, S.U.; Kim, J.K. Improved interlaminar shear properties of multiscale carbon fiber composites with bucky paper interleaves made from carbon nanofibers. Carbon 2012, 50, 5265–5277. [Google Scholar] [CrossRef]
 - Han, J.H.; Zhang, H.; Chen, M.J.; Wang, D.; Liu, Q.; Wu, Q.L.; Zhang, Z. The combination of carbon nanotube buckypaper and insulating adhesive for lightning strike protection of the carbon fiber/epoxy laminates. Carbon 2015, 94, 101–113. [Google Scholar] [CrossRef]
 - Wang, S.; Downes, R.; Young, C.; Haldane, D.; Hao, A.; Liang, R.; Wang, B.; Zhang, C.; Maskell, R. Carbon Fiber/Carbon Nanotube Buckypaper Interply Hybrid Composites: Manufacturing Process and Tensile Properties. Adv. Eng. Mater. 2015, 17, 1442–1453. [Google Scholar] [CrossRef]
 - Han, J.H.; Zhang, H.; Chen, M.J.; Wang, G.R.; Zhang, Z. CNT buckypaper/thermoplastic polyurethane composites with enhanced stiffness, strength and toughness. Compos. Sci. Technol. 2014, 103, 63–71. [Google Scholar] [CrossRef]
 - Gaztelumendi, I.; Chapartegui, M.; Seddon, R.; Flórez, S.; Pons, F.; Cinquin, J. Enhancement of electrical conductivity of composite structures by integration of carbon nanotubes via bulk resin and/or buckypaper films. Compos. Part B Eng. 2017, 122, 31–40. [Google Scholar] [CrossRef]
 - Kumar, V.; Sharma, S.; Pathak, A.; Singh, B.P.; Dhakate, S.R.; Yokozeki, T.; Okada, T.; Ogasawara, T. Interleaved MWCNT buckypaper between CFRP laminates to improve through-thickness electrical conductivity and reducing lightning strike damage. Compos. Struct. 2019, 210, 581–589. [Google Scholar] [CrossRef]
 - Fu, K.; Ye, L.; Chang, L.; Yang, C.; Zhang, Z. Modelling of lightning strike damage to CFRP composites with an advanced protection system. Part I: Thermal–electrical transition. Compos. Struct. 2017, 165, 83–90. [Google Scholar] [CrossRef]
 - Xia, Q.; Mei, H.; Zhang, Z.; Liu, Y.; Liu, Y.; Leng, J. Fabrication of the silver modified carbon nanotube film/carbon fiber reinforced polymer composite for the lightning strike protection application. Compos. Part B Eng. 2020, 180, 107563. [Google Scholar] [CrossRef]
 - Kumar, V.; Yokozeki, T.; Karch, C.; Hassen, A.A.; Hershey, C.J.; Kim, S.; Lindahl, J.M.; Barne, A.; Bandari, Y.K.; Kunc, V. Factors affecting direct lightning strike damage to fiber reinforced composites: A review. Compos. Part B Eng. 2020, 183, 107688. [Google Scholar] [CrossRef]
 - Shin, Y.C.; Novin, E.; Kim, H. Electrical and thermal conductivities of carbon fiber composites with high concentrations of carbon nanotubes. Int. J. Precis. Eng. Manuf. 2015, 16, 465–470. [Google Scholar] [CrossRef]
 - Yourdkhani, M.; Liu, W.; Baril-Gosselin, S.; Robitaille, F.; Hubert, P. Carbon nanotube-reinforced carbon fibre-epoxy composites manufactured by resin film infusion. Compos. Sci. Technol. 2018, 166, 169–175. [Google Scholar] [CrossRef]
 - Laurenzi, S.; Pastore, R.; Giannini, G.; Marchetti, M. Experimental study of impact resistance in multi-walled carbon nanotube reinforced epoxy. Compos. Struct. 2013, 99, 62–68. [Google Scholar] [CrossRef]
 - Tehrani, M.; Boroujeni, A.Y.; Hartman, T.B.; Haugh, T.P.; Case, S.W.; Al-Haik, M.S. Mechanical characterization and impact damage assessment of a woven carbon fiber reinforced carbon nanotube-epoxy composite. Compos. Sci. Technol. 2013, 75, 42–45. [Google Scholar] [CrossRef]
 - Gkikas, G.; Barkoula, N.M.; Paipetis, A.S. Effect of dispersion conditions on the thermo-mechanical and toughness properties of multi walled carbon nanotubes-reinforced epoxy. Compos. Part B Eng. 2012, 43, 2697–2705. [Google Scholar] [CrossRef]
 - Liao, Y.H.; Marietta-Tondin, O.; Liang, Z.; Zhang, C.; Wang, B. Investigation of the dispersion process of SWNTs/SC-15 epoxy resin nanocomposites. Mater. Sci. Eng. A 2004, 385, 175–181. [Google Scholar] [CrossRef]
 - Miyagawa, H.; Drzal, L.T. Thermo-physical and impact properties of epoxy nanocomposites reinforced by single-wall carbon nanotubes. Polymer 2004, 45, 5163–5170. [Google Scholar] [CrossRef]
 - Dehghan, M.; Al-Mahaidi, R.; Sbarski, I.; Mohammadzadeh, E. Surfactant-assisted dispersion of MWCNTs in epoxy resin used in CFRP strengthening systems. J. Adhes. 2014, 91, 461–480. [Google Scholar] [CrossRef]
 - Guo, Y.; Xu, Y.; Zhang, L.; Wei, X.; Dong, Q.; Yi, X.; Jia, Y. Implementation of fiberglass in carbon fiber composites as an isolation layer that enhances lightning strike protection. Compos. Sci. Technol. 2019, 174, 117–124. [Google Scholar] [CrossRef]
 













| Tuball Paper Designation | Content of SWCNT (wt.%) | Thickness (µm)  | Areal Weight (g/m2)  | 
|---|---|---|---|
| TP1 | 90 | 27.4 ± 3.11 | 41.5 | 
| TP2 | 75 | 51.5 ± 7.23 | 45.0 | 
| Materials | CFRP Designation | Thickness (mm) | 
|---|---|---|
| CFRP reference | L1 | 2.29 ± 0.004 | 
| CFRP + TP1 | L2 | 2.31 ± 0.007 | 
| CFRP + TP2 | L3 | 2.33 ± 0.011 | 
| Material | CFRP Designation | Thickness (mm) | 
|---|---|---|
| CFRP reference | L_ref | 3.22 | 
| CFRP + Tuball paper | L_TP | 3.28 | 
| CFRP + expanded copper foil | L_ECF | 3.26 | 
| Test Panel | Test ID | Peak Current (kA)  | Specific Energy (MJ/Ω)  | DC Charge (C)  | Simulating | 
|---|---|---|---|---|---|
| L_ref | 1.1 | 100 ± 10% | 0.25 ± 20% | - | D-component | 
| L_TP | 2.1 | 100 ± 10% | 0.25 ± 20% | - | D-component | 
| L_ECF | 3.1 | 100 ± 10% | 0.25 ± 20% | - | D-component | 
| Test Specimen | Test ID | Peak Current (kA)  | Specific Energy (MJ/Ω)  | DC Charge (C)  | Simulating | 
|---|---|---|---|---|---|
| L_ref | 1.2 | - | - | 10 + 200 + 20% | B/C component | 
| L_TP | 2.2 | - | - | 10 + 200 + 20% | B/C component | 
| L_ECF | 3.2 | - | - | 10 + 200 + 20% | B/C component | 
Publisher’s Note: MDPI stays neutral with regard to jurisdictional claims in published maps and institutional affiliations.  | 
© 2021 by the authors. Licensee MDPI, Basel, Switzerland. This article is an open access article distributed under the terms and conditions of the Creative Commons Attribution (CC BY) license (https://creativecommons.org/licenses/by/4.0/).
Share and Cite
Dydek, K.; Boczkowska, A.; Kozera, R.; Durałek, P.; Sarniak, Ł.; Wilk, M.; Łogin, W. Effect of SWCNT-Tuball Paper on the Lightning Strike Protection of CFRPs and Their Selected Mechanical Properties. Materials 2021, 14, 3140. https://doi.org/10.3390/ma14113140
Dydek K, Boczkowska A, Kozera R, Durałek P, Sarniak Ł, Wilk M, Łogin W. Effect of SWCNT-Tuball Paper on the Lightning Strike Protection of CFRPs and Their Selected Mechanical Properties. Materials. 2021; 14(11):3140. https://doi.org/10.3390/ma14113140
Chicago/Turabian StyleDydek, Kamil, Anna Boczkowska, Rafał Kozera, Paweł Durałek, Łukasz Sarniak, Małgorzata Wilk, and Waldemar Łogin. 2021. "Effect of SWCNT-Tuball Paper on the Lightning Strike Protection of CFRPs and Their Selected Mechanical Properties" Materials 14, no. 11: 3140. https://doi.org/10.3390/ma14113140
APA StyleDydek, K., Boczkowska, A., Kozera, R., Durałek, P., Sarniak, Ł., Wilk, M., & Łogin, W. (2021). Effect of SWCNT-Tuball Paper on the Lightning Strike Protection of CFRPs and Their Selected Mechanical Properties. Materials, 14(11), 3140. https://doi.org/10.3390/ma14113140
        
                                                
