Determination of Load-Carrying Capacity of C-Profile Glued Ti-Al Column under Temperature Environment
Abstract
1. Introduction
2. Problem Description
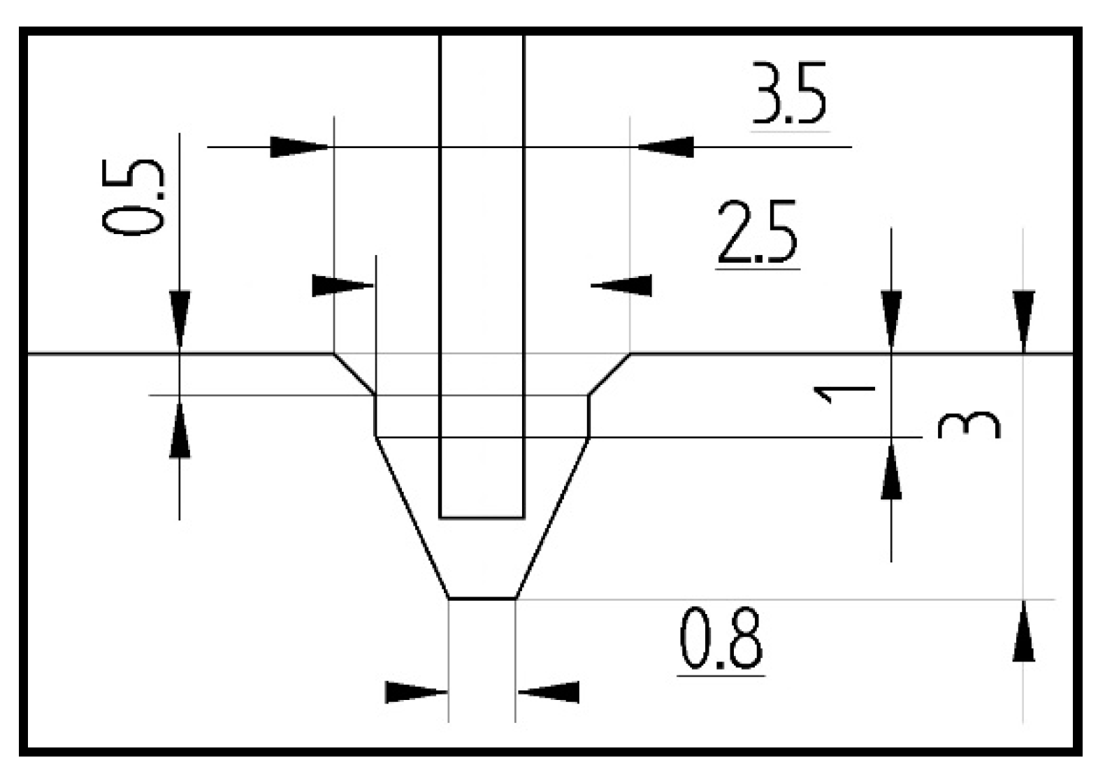
2.1. The Study Object
2.2. Material Data
2.3. FE Model 1
2.4. FE Model 2
3. Results
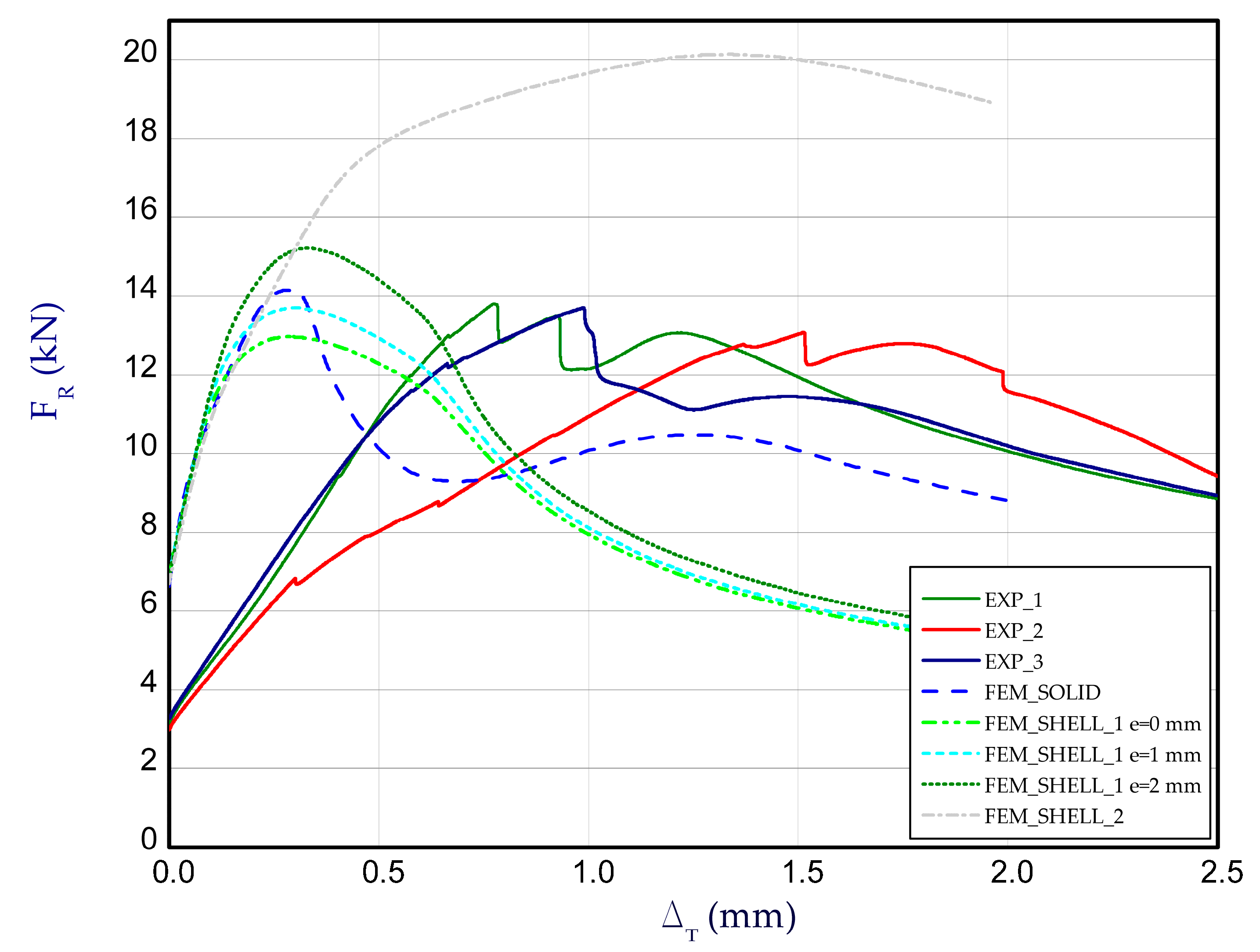
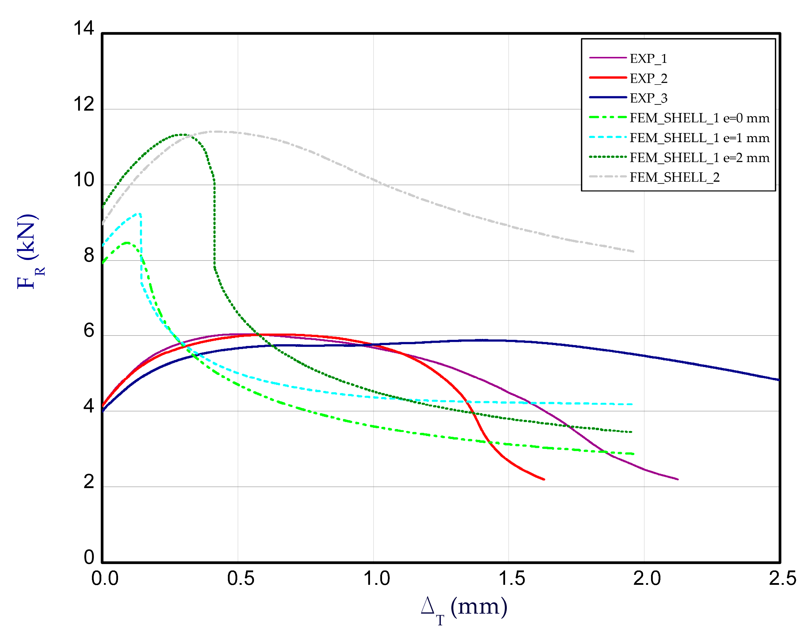
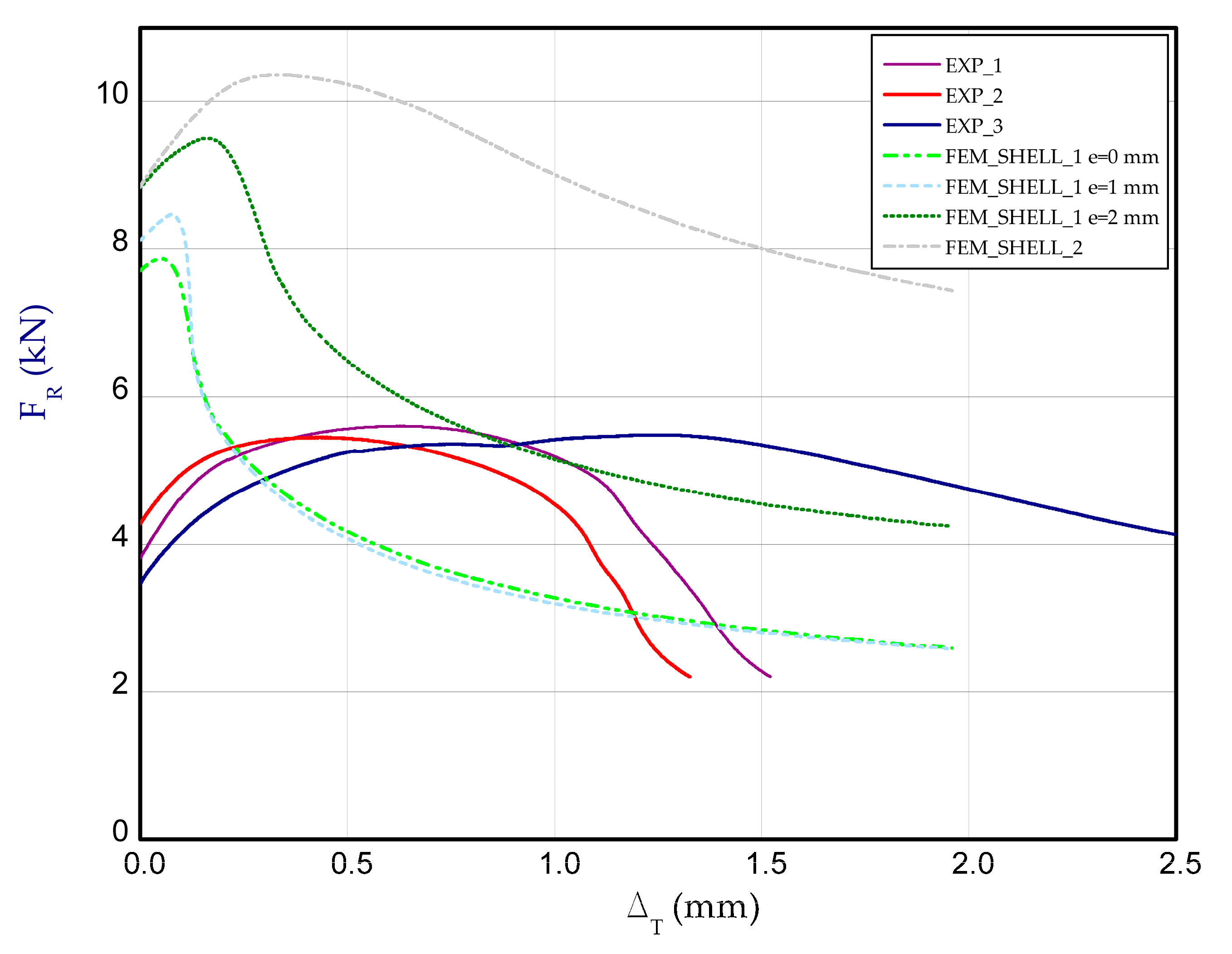
3.1. Compression at Ambient Temperature
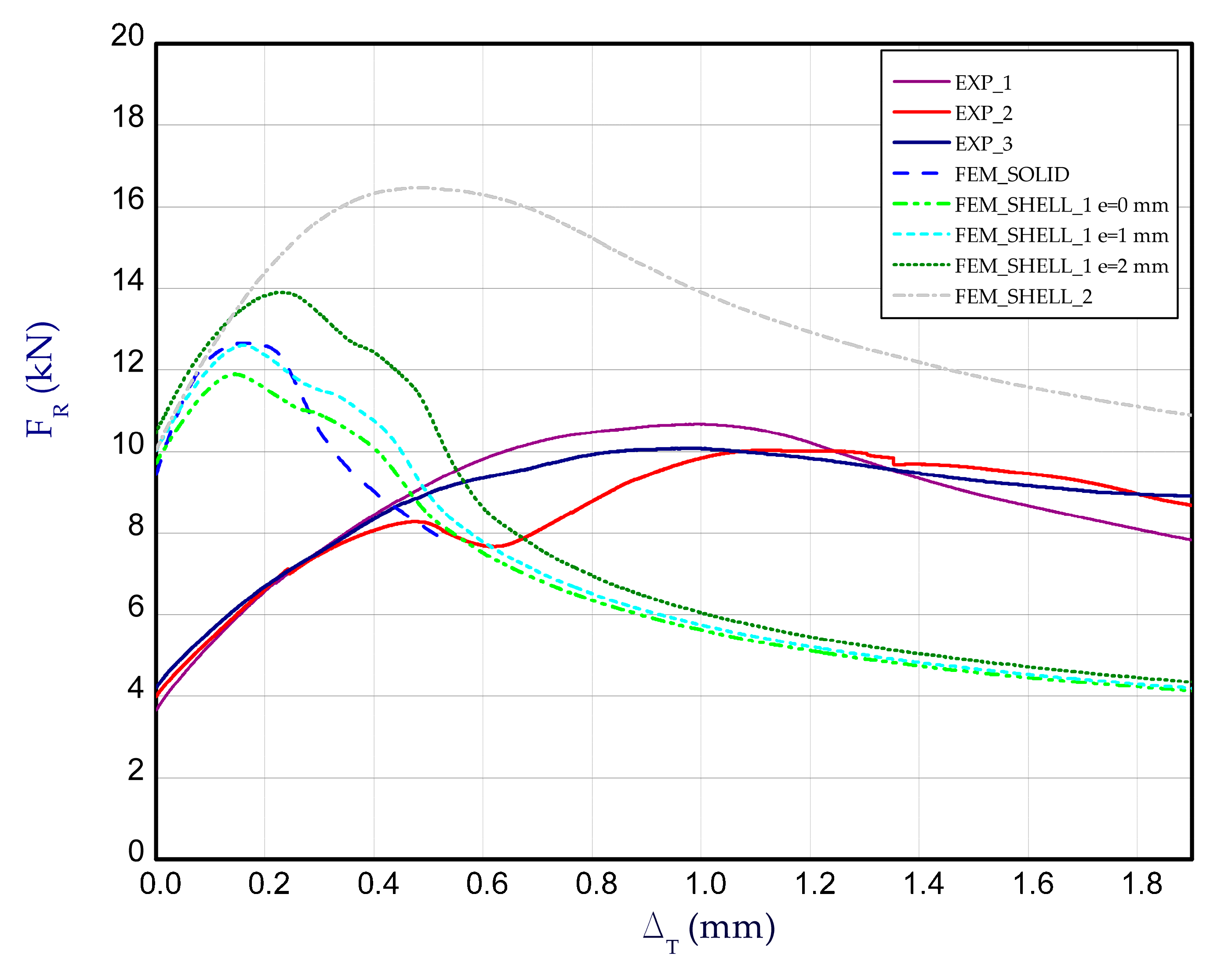
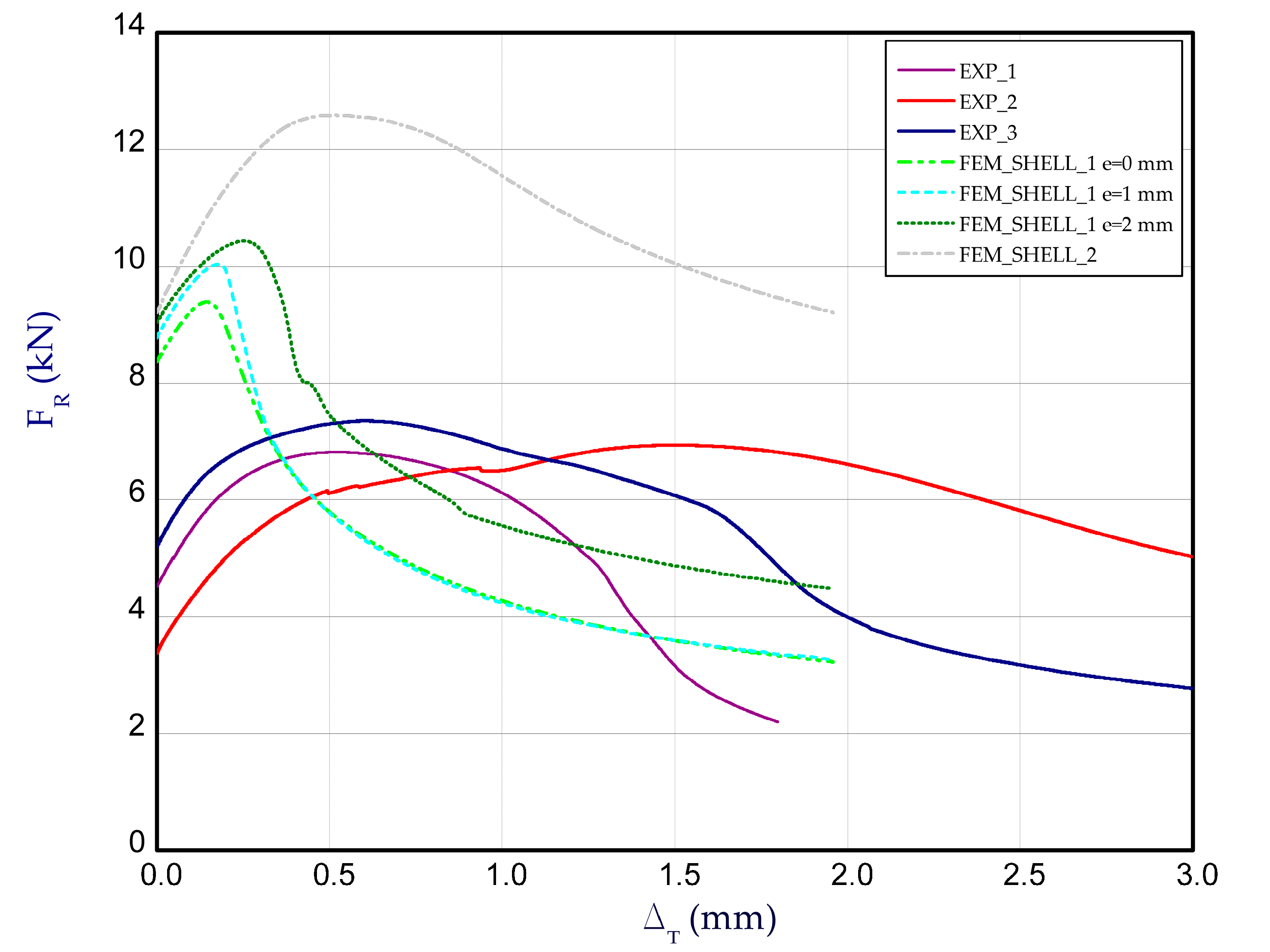
3.2. Compression at Elevated Temperature
4. Summary
- Mechanical properties of glued titanium-aluminium column depend on temperature therefore to validate numerical simulations in reference to experiment, mechanical parameters in a function of temperature should absolutely be taken into consideration.
- The load-carrying capacity of columns at temperature 200 °C decreased by 2.5 times in a comparison to maximum loads attained at ambient temperature. Apart from a decrease in the material properties at higher temperatures, meaningful drop could be caused additionally due to a separation of metals, because after test distinct dissection was noticed.
- Results of numerical model FEM_SOLID with similar boundary conditions (as in experiment) can be better referred to the experimental ones, whereas the discrepancies are additionally observed especially at higher temperature. Moreover, in contrast to FEM_SHELL simulation, FEM_SOLID calculations were more complex but they took significantly more time.
- The possible creeping of single metals (an intensification of this phenomenon grows with a growth of temperature) could occur while heating studied models which might have had an influence on the behaviour and the load-carrying capacity of columns.
- The process of separation metals at elevated temperatures through a long load action could play essential role in the change of the support conditions because apparently at big loads, sheets separately carried the compression forces.
- The maximum loads obtained numerically (FEM_SOLID, FEM_SHELL_1 with e = 1 mm) are slightly close to experimental ones, especially for lower temperatures. The bigger differences between experiment and simulation appear at higher temperatures. It should be mentioned that pursued analysis of the behaviour of thin-walled glued columns in thermal field is very complex because many parameters can matter. Firstly, analysed models could be imperfect based on a tolerance of thicknesses and dimensions, e.g., Secondly, mechanical properties of titanium, aluminum and glue are very temperature-dependent, whereas implemented one-directional tensile test curves (graded every 25 °C) into simulations were based on linear interpolation. Thirdly, the steel plates (upper and lower) used to keeping the columns are characterised by proper thermal expansion coefficient, whose value does not coincide with summary thermal expansion coefficient of components of column.
- Based on the results, the appearances of large deformations remaining in columns after tests are located mostly in the proximity of one of the supports.
Funding
Institutional Review Board Statement
Informed Consent Statement
Acknowledgments
Conflicts of Interest
References
- Su, M.-N.; Zhang, Y.; Young, B. Design of aluminium alloy beams at elevated temperatures. Thin Walled Struct. 2019, 140, 506–515. [Google Scholar] [CrossRef]
- Li, H.-T.; Young, B. Cold-formed high strength steel SHS and RHS beams at elevated temperatures. J. Constr. Steel Res. 2019, 158, 475–485. [Google Scholar] [CrossRef]
- Fang, H.; Chan, T.-M. Axial compressive strength of welded S460 steel columns at elevated temperatures. Thin Walled Struct. 2018, 129, 213–224. [Google Scholar] [CrossRef]
- Fan, S.; Jia, L.; Lyu, X.; Sun, W.; Chen, M.; Zheng, J. Experimental investigation of austenitic stainless steel material at elevated temperatures. Constr. Build. Mater. 2017, 155, 267–285. [Google Scholar] [CrossRef]
- Li, H.-T.; Young, B. Material properties of cold-formed high strength steel at elevated temperatures. Thin Walled Struct. 2017, 115, 289–299. [Google Scholar] [CrossRef]
- Nguyena, P.L.; Vua, X.H.; Ferriera, E. Thermo-mechanical performance of Carbon Fiber Reinforced Polymer (CFRP), with and without fire protection material, under combined elevated temperature and mechanical loading conditions. Compos. Part B Eng. 2019, 169, 164–173. [Google Scholar] [CrossRef]
- Jin, T.; Ha, N.S.; Le, V.T.; Goo, N.S.; Jeon, H.C. Thermal buckling measurement of a laminated composite plate under a uniform temperature distribution using the digital image correlation method. Compos. Struct. 2015, 123, 420–429. [Google Scholar] [CrossRef]
- Jin, T.L.; Ha, N.S.; Goo, N.S. A study of the thermal buckling behavior of a circular aluminum plate using the digital image correlation technique and finite element analysis. Thin Walled Struct. 2014, 77, 187–197. [Google Scholar] [CrossRef]
- Jo, B.; Sagawa, W.; Okamoto, K. Measurement of buckling load for metallic plate columns in severe accident conditions. Nucl. Eng. Des. 2014, 274, 118–128. [Google Scholar] [CrossRef]
- Czechowski, L.; Kędziora, S.; Kołakowski, Z. The Buckling and Post-Buckling of Steel C-Columns in Elevated Temperature. Materials 2020, 13, 74. [Google Scholar] [CrossRef]
- Czechowski, L.; Gliszczyński, A.; Wiącek, N. The Collapse of Titanium C-Column due to Thermal Compression. Materials 2020, 13, 4193. [Google Scholar] [CrossRef] [PubMed]
- Zhou, F.; Zhang, J.; Song, S.; Yang, D.; Wang, C. Effect of Temperature on Material Properties of Carbon Fiber Reinforced Polymer (CFRP) Tendons: Experiments and Model Assessment. Materials 2019, 12, 1025. [Google Scholar] [CrossRef] [PubMed]
- Khaneghahi, M.H.; Najafabadi, E.P.; Bazli, M.; Oskouei, A.V.; Zhao, X.L. The effect of elevated temperatures on the compressive section capacity of pultruded GFRP profiles. Constr. Build. Mater. 2020, 249, 118725. [Google Scholar] [CrossRef]
- Zhang, Y.; Yang, L.; Lu, W.; Wei, D.; Meng, T.; Gao, S. Microstructure and elevated temperature mechanical properties of IN718 alloy fabricated by laser metal deposition. Mater. Sci. Eng. A 2020, 771, 138580. [Google Scholar] [CrossRef]
- Ehrhardt, D.A.; Virgin, L.N. Experiments on the thermal post-buckling of panels, including localized heating. J. Sound Vib. 2019, 439, 300–309. [Google Scholar] [CrossRef]
- Wang, W.; Zhang, L.; Ge, Y.; Xu, L. Behaviour of restrained high strength steel columns at elevated temperature. J. Constr. Steel Res. 2018, 148, 251–264. [Google Scholar] [CrossRef]
- Wang, W.; Zhou, H.; Xu, L. Creep buckling of high strength Q460 steel columns at elevated temperatures. J. Constr. Steel Res. 2019, 157, 414–425. [Google Scholar] [CrossRef]
- Wong, P.M.H.; Wang, Y.C. An experimental study of pultruded glass fibre reinforced plastics channel columns at elevated temperatures. Compos. Struct. 2007, 81, 84–95. [Google Scholar] [CrossRef]
- Wattanasakulpong, N.; Prusty, G.B.; Kelly, D.W. Thermal buckling and elastic vibration of third-order shear deformable functionally graded beams. Int. J. Mech. Sci. 2011, 53, 734–743. [Google Scholar] [CrossRef]
- Czechowski, L.; Kowal-Michalska, K. Static and dynamic buckling of rectangular functionally graded plates subjected to thermal loading. Strength Mater. 2013, 45, 666–673. [Google Scholar] [CrossRef]
- Trabelsi, S.; Frikha, A.; Zghal, S.; Dammak, F. Thermal post-buckling analysis of functionally graded material structures using a modified FSDT. Int. J. Mech. Sci. 2018, 144, 74–89. [Google Scholar] [CrossRef]
- Bui, T.Q.; Do, T.V.; Ton, L.H.T.; Doan, D.H.; Tanaka, S.; Pham, D.T.; Nguyen-Van, T.-A.; Yu, T.; Hirose, S. On the high temperature mechanical behaviors analysis of heated functionally graded plates using FEM and a new third-order shear deformation plate theory. Compos. Part B Eng. 2016, 92, 218–241. [Google Scholar] [CrossRef]
- Javani, M.; Kiani, Y.; Eslami, M.R. Thermal buckling of FG graphene platelet reinforced composite annular sector plates. Thin Walled Struct. 2020, 148, 106589. [Google Scholar] [CrossRef]
- Ansari, R.; Torabi, J.; Hassani, R. Thermal buckling analysis of temperature-dependent FG-CNTRC quadrilateral plates. Comput. Math. Appl. 2019, 77, 1294–1311. [Google Scholar] [CrossRef]
- Devarajan, B.; Kapania, R.K. Thermal buckling of curvilinearly stiffened laminated composite plates with cutouts using isogeometric analysis. Compos. Struct. 2020, 238, 111881. [Google Scholar] [CrossRef]
- Shariat, B.A.S.; Eslami, M.R. Thermal buckling of imperfect functionally graded plates. Int. J. Solids Struct. 2006, 43, 4082–4096. [Google Scholar] [CrossRef]
- Landesmann, A.; Camotim, D. Distortional failure and DSM design of cold-formed steel lipped channel beams under elevated temperatures. Thin Walled Struct. 2016, 98, 75–93. [Google Scholar] [CrossRef]
- Xu, G.; Huang, H.; Chen, B.; Chen, F. Buckling and postbuckling of elastoplastic FGM plates under inplane loads. Compos. Struct. 2017, 176, 225–233. [Google Scholar] [CrossRef]
- Kołakowski, Z.; Teter, A. Load carrying capacity of functionally graded columns with open cross-sections under static compression. Compos. Struct. 2015, 129, 1–7. [Google Scholar] [CrossRef]
- Silva, N.M.F.; Silvestre, N.; Camotim, D. GBT formulation to analyse the buckling behaviour of FRP composite open-section thin-walled columns. Compos. Struct. 2010, 93, 79–92. [Google Scholar] [CrossRef]
- Zaczynska, M.; Kołakowski, Z. The influence of the internal forces of the buckling modes on the load-carrying capacity of composite medium-length beams under bending. Materials 2020, 13, 455. [Google Scholar] [CrossRef] [PubMed]
- Kolakowski, Z.; Mania, R. Semi-analytical method versus the FEM for analysis of the local post-buckling of thin-walled composite structures. Compos. Struct. 2013, 97, 99–106. [Google Scholar] [CrossRef]
- Dębski, H.; Jonak, J. Failure analysis of thin-walled composite channel section columns. Compos. Struct. 2015, 132, 567–574. [Google Scholar] [CrossRef]
- Urbaniak, M.; Teter, A.; Kubiak, T. Influence of boundary conditions on the critical and failure load in the GFPR channel cross-section columns subjected to compression. Compos. Struct. 2015, 134, 199–208. [Google Scholar] [CrossRef]
- Nguyen, T.-T.; Kim, N.-I.; Lee, J. Analysis of thin-walled open-section beams with functionally graded materials. Compos. Struct. 2016, 138, 75–83. [Google Scholar] [CrossRef]
- Czechowski, L.; Gliszczyński, A.; Bieniaś, J.; Jakubczak, P.; Majerski, K. Failure of GFRP channel section beams subjected to bending—Numerical and experimental investigations. Compos. Part B Eng. 2017, 111, 112–123. [Google Scholar] [CrossRef]
- Kubiak, T.; Kaczmarek, Ł. Estimation of load-carrying capacity for thin-walled composite beams. Compos. Struct. 2015, 119, 749–756. [Google Scholar] [CrossRef]
- Liu, P.F.; Gu, Z.P.; Yang, Y.H.; Peng, Q.X. A nonlocal finite element model for progressive failure analysis of composite laminates. Compos. Part B Eng. 2016, 86, 178–196. [Google Scholar] [CrossRef]
- Banat, D.; Mania, R.J. Failure assessment of thin-walled FML profiles during buckling and postbuckling response. Compos. Part B Eng. 2017, 112, 278–289. [Google Scholar] [CrossRef]
- Banat, D.; Mania, R.J. Comparison of failure criteria application for FML column buckling strength analysis. Compos. Struct. 2016, 140, 806–815. [Google Scholar] [CrossRef]
- Nunes, F.; Correia, M.; Correia, J.R.; Silvestre, N.; Moreira, A. Experimental and numerical study on the structural behaviour of eccentrically loaded GFRP columns. Thin Walled Struct. 2013, 72, 175–187. [Google Scholar] [CrossRef]
- Banat, D.; Kolakowski, Z.; Mania, R.J. Investigations of FML profile buckling and post-buckling behaviour under axial compression. Thin Walled Struct. 2016, 107, 335–344. [Google Scholar] [CrossRef]
- Kubiak, T.; Kolakowski, Z.; Swiniarski, J.; Urbaniak, M.; Gliszczynski, A. Local buckling and post-buckling of composite channel-section beams—Numerical and experimental investigations. Compos. Part B Eng. 2016, 91, 176–188. [Google Scholar] [CrossRef]
- Krahmer, D.M.; Polvorosa, R.; López De Lacalle, L.N.; Alonso-Pinillos, U.; Abate, G.; Riu, F. Alternatives for Specimen Manufacturing in Tensile Testing of Steel Plates. Exp. Tech. 2016, 40, 1555–1565. [Google Scholar] [CrossRef]
- Chu, T.C. Three-dimensional displacement measurements using digital image correlation and photogrammic analysis. Exp. Mech. 1990, 30, 10–16. [Google Scholar]
- Araldite Reliable and Comprehensive Bonding Solutions. Available online: http://test.generaladhesivos.com/catalogo-pegamento/araldite-adhesivos-industria-catalogo.pdf (accessed on 29 May 2021).
- User’s Guide MSC FEA® 2010 R1; MSC software, Inc.: Newport Beach, CA, USA, 2010.
- User’s Guide ANSYS 18.2; Ansys®, Inc.: Houston, TX, USA, 2017.


























| EXP_1 | EXP_2 | EXP_3 | EXPmean | FEM_SOLID | FEM_SHELL_1 e = 0 mm | FEM_SHELL_1 e = 1 mm | FEM_SHELL_1 e = 2 mm | FEM_SHELL_1 e = 3 mm | FEM_SHELL_2 | 
|---|---|---|---|---|---|---|---|---|---|
| 15.20 | 14.25 | 16.55 | 15.33 | 15.82 | 13.90 | 15.04 | 17.14 | 18.36 | 21.66 | 
| Publisher’s Note: MDPI stays neutral with regard to jurisdictional claims in published maps and institutional affiliations. | 
© 2021 by the author. Licensee MDPI, Basel, Switzerland. This article is an open access article distributed under the terms and conditions of the Creative Commons Attribution (CC BY) license (https://creativecommons.org/licenses/by/4.0/).
Share and Cite
Czechowski, L. Determination of Load-Carrying Capacity of C-Profile Glued Ti-Al Column under Temperature Environment. Materials 2021, 14, 3013. https://doi.org/10.3390/ma14113013
Czechowski L. Determination of Load-Carrying Capacity of C-Profile Glued Ti-Al Column under Temperature Environment. Materials. 2021; 14(11):3013. https://doi.org/10.3390/ma14113013
Chicago/Turabian StyleCzechowski, Leszek. 2021. "Determination of Load-Carrying Capacity of C-Profile Glued Ti-Al Column under Temperature Environment" Materials 14, no. 11: 3013. https://doi.org/10.3390/ma14113013
APA StyleCzechowski, L. (2021). Determination of Load-Carrying Capacity of C-Profile Glued Ti-Al Column under Temperature Environment. Materials, 14(11), 3013. https://doi.org/10.3390/ma14113013
 
         
                                                

 
       