Improving the Tribological Properties and Biocompatibility of Zr-Based Bulk Metallic Glass for Potential Biomedical Applications
Abstract
1. Introduction
1.1. Attractive Properties and Potential Orthopaedic Applications
1.2. Challenges
1.3. Potential Solutions, Limitations and Research Aim
2. Experimental
2.1. Materials and Surface Treatments
2.2. Material Characterisation
2.3. Property Evaluation
2.4. Statistical Testing
3. Results
3.1. XRD Phase Identification
3.2. FIB-TEM for Cross-sectional Microstructure and Chemical Composition
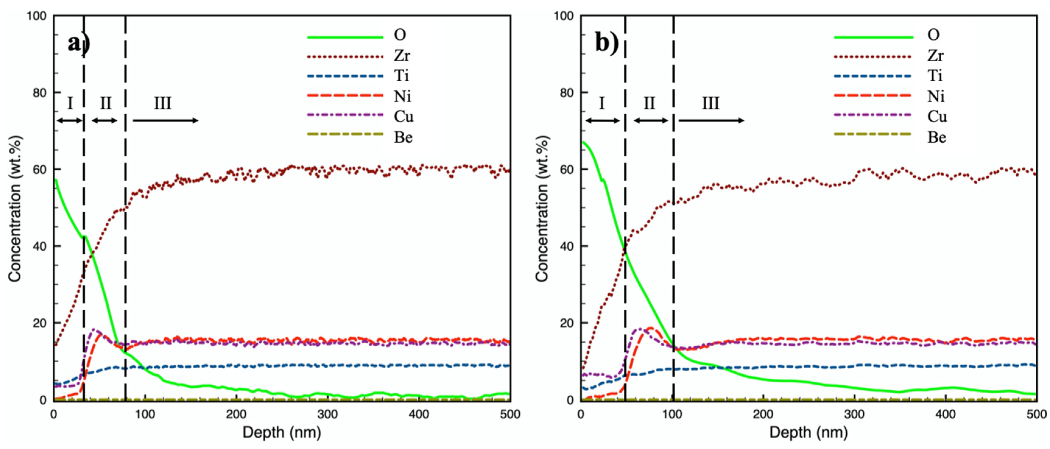
3.3. GDOES Composition Depth Distributions
3.4. Property Evaluation
3.4.1. Mechanical Properties
3.4.2. Tribological Properties
3.4.3. Corrosion Behaviour
3.4.4. Biocompatibility
4. Discussion
4.1. Amorphous Surface Oxide Layer Formation
4.2. Nanocrystallisation in Core and at near Surface
4.3. Improved Surface Properties for Orthopaedic Applications
4.3.1. Tribological Properties
4.3.2. Biocompatibility
4.3.3. Corrosion Behaviour
4.3.4. Potential for Orthopaedic Applications
5. Conclusions
- The CCT-treated Vit1b surface consisted of three layers: (i) an amorphous oxide layer about 35 nm and 55 nm in thickness on 350-40 and 380-4.5 surfaces respectively; (ii) an interface layer about 30 nm and 50 nm for 350-40 and 380-4.5 respectively; and (iii) an oxygen diffusion case about 400 nm for 350-40 and ≥500 nm for 380-4.5.
- The formation of the surface amorphous zirconium oxide layer rejected Ni and Cu into the interface layer due to their low solid solubility in the zirconium oxide layer, thus leading to depletion of Ni and Cu in the surface amorphous oxide layer.
- The surface hardness of Vit1b is increased from 7.74 GPA for the untreated (Unt) to 18.32 and 17.61 respectively for CCT-treated 350-40 and 380-4.5 samples. Young’s modulus is also increased from 124.42 for Unt to 203.12 and 190.39 GPa for 350-40 and 380-4.5 respectively.
- The CCT treatment can effectively reduce the coefficient of friction from about 0.4–0.6 for the untreated material to about 0.1–0.2 for the CCT-treated surfaces; the wear factor is reduced from 25.8 to 0.4 × 10−2 mm3/Nm representing more than 60 times improvement in wear resistance.
- The CCT treatment can effectively reduce the potential toxic effect and enhance the biocompatibility of Vit1b metallic glass. The coverage of SAOS-2 human cells is 18%, 46% and 54% respectively for untreated and CCT-treated 350-40 and 380-4.5 samples mainly due to the effective depletion of Cu and Ni in the surface oxide film.
- The pitting tendency of Vit1b metallic glass can be effectively addressed by optimal 350-40 CCT treatment via the formation of a dense surface oxide film; reduced corrosion properties were observed for the relatively high temperature-treated 380-4., largely due to the associated surface roughening.
Author Contributions
Funding
Acknowledgments
Conflicts of Interest
Appendix A

References
- Helsen, J.A.; Breme, H.J. Metals as Biomaterials; John Wiley & Sons: Hoboken, NJ, USA, 1998. [Google Scholar]
- Chen, Q.; Thouas, G.A. Metallic implant biomaterials. Mater. Sci. Eng. R Rep. 2015, 87, 1–57. [Google Scholar] [CrossRef]
- Lantada, A.D. Handbook of Active Materials for Medical Devices; ASM International: Materials Park, OH, USA, 2011. [Google Scholar]
- Brown, S.A.; Mayor, M.B. The biocompatibility of materials for internal fixation of fractures. J. Biomed. Mater. Res. 1978, 12, 67–82. [Google Scholar] [CrossRef] [PubMed]
- Patton, M.S.; Lyon, T.D.B.; Ashcroft, G.P. Levels of systemic metal ions in patients with intramedullary nails. Acta Orthop. 2008, 79, 820–825. [Google Scholar] [CrossRef] [PubMed]
- Meagher, P.; O’Cearbhaill, E.D.; Byrne, J.H.; Browne, D.; O’Cearbhaill, E. Bulk Metallic Glasses for Implantable Medical Devices and Surgical Tools. Adv. Mater. 2016, 28, 5755–5762. [Google Scholar] [CrossRef] [PubMed]
- Li, H.; Zheng, Y. Recent advances in bulk metallic glasses for biomedical applications. Acta Biomater. 2016, 36, 1–20. [Google Scholar] [CrossRef]
- Inoue, A.; Wang, X.M.; Zhang, W. Developments and applications of bulk metallic glasses. Rev. Adv. Mater. Sci. 2008, 18, 1–9. [Google Scholar]
- Buddy, D.; Hoffman, A.S.; Schoen, F.J.; Lemons, J.E. Biomaterials Science-An Introduction to Materials in Medicine; Academic Press: London, UK, 1996. [Google Scholar]
- Laurence, M. Clinical Performance of Skeletal Prostheses. J. Bone Jt. Surgery. Br. Vol. 1996, 512. [Google Scholar] [CrossRef]
- Wikenheiser, M.A.; Markel, M.D.; Lewallen, D.G.; Chao, E.Y.S. Thermal response and torque resistance of five cortical half-pins under simulated insertion technique. J. Orthop. Res. 1995, 13, 615–619. [Google Scholar] [CrossRef]
- Lu, X.; Bao, X.; Huang, Y.; Qu, Y.; Lu, H.; Lu, Z. Mechanisms of cytotoxicity of nickel ions based on gene expression profiles. Biomaterials 2009, 30, 141–148. [Google Scholar] [CrossRef]
- Wang, Y.; Zheng, Y.; Wei, S.C.; Li, M. In vitro study on Zr-based bulk metallic glasses as potential biomaterials. J. Biomed. Mater. Res. Part B Appl. Biomater. 2010, 96, 34–46. [Google Scholar] [CrossRef]
- Zhao, G.; Aune, R.E.; Mao, H.; Espallargas, N. Degradation of Zr-based bulk metallic glasses used in load-bearing implants: A tribocorrosion appraisal. J. Mech. Behav. Biomed. Mater. 2016, 60, 56–67. [Google Scholar] [CrossRef] [PubMed]
- Vallés, G.; García-Cimbrelo, E.; Vilaboa, N. Osteolysis and Aseptic Loosening: Cellular Events Near the Implant. In Tribology in Total Hip Arthroplasty; Knahr, K., Ed.; Springer Science and Business Media LLC: Berlin/Heidelberg, Germany, 2011; pp. 181–191. [Google Scholar]
- Willert, H.-G.; Buchhorn, G.H.; Fayyazi, A.; Flury, R.; Windler, M.; Köster, G.; Lohmann, C.H. Metal-on-Metal Bearings and Hypersensitivity in Patients with Artificial Hip Joints: A Clinical and Histomorphological Study. JBJS 2005, 87, 28–36. [Google Scholar] [CrossRef]
- Liu, Z.; Chan, K.; Liu, L.; Guo, S. Bioactive calcium titanate coatings on a Zr-based bulk metallic glass by laser cladding. Mater. Lett. 2012, 82, 67–70. [Google Scholar] [CrossRef]
- Liu, L.; Liu, Z.; Chan, K.; Luo, H.; Cai, Q.; Zhang, S. Surface modification and biocompatibility of Ni-free Zr-based bulk metallic glass. Scr. Mater. 2008, 58, 231–234. [Google Scholar] [CrossRef]
- Liu, L.; Chan, K.; Yu, Y.; Chen, Q. Bio-activation of Ni-free Zr-based bulk metallic glass by surface modification. Intermetallics 2010, 18, 1978–1982. [Google Scholar] [CrossRef]
- Wada, T.; Qin, F.; Wang, X.; Yoshimura, M.; Inoue, A.; Sugiyama, N.; Ito, R.; Matsushita, N. Formation and bioactivation of Zr-Al-Co bulk metallic glasses. J. Mater. Res. 2009, 24, 2941–2948. [Google Scholar] [CrossRef]
- Aliyu, A.A.A.; Rani, A.A.; Ginta, T.L.; Rao, T.; Selvamurugan, N.; Roy, S. Hydroxyapatite mixed-electro discharge formation of bioceramic Lakargiite (CaZrO3) on Zr–Cu–Ni–Ti–Be for orthopedic application. Mater. Manuf. Process. 2018, 33, 1734–1744. [Google Scholar] [CrossRef]
- Du, C.; Wang, C.; Zhang, T.; Yi, X.; Liang, J.; Wang, H. Reduced bacterial adhesion on zirconium-based bulk metallic glasses by femtosecond laser nanostructuring. Proc. Inst. Mech. Eng. Part H J. Eng. Med. 2019, 234, 387–397. [Google Scholar] [CrossRef]
- Haratian, S.; Grumsen, F.B.; Villa, M.; Christiansen, T.L.; Villa, M. Surface hardening by gaseous oxidizing of (Zr55Cu30Al10Ni5)98Er2 bulk-metallic glass. J. Alloy. Compd. 2019, 800, 456–461. [Google Scholar] [CrossRef]
- Zhou, K.; Pang, S.; Chen, C.; Liu, Y.; Yang, W.; Zhang, T. Enhanced Wear Resistance of Zr-Based Bulk Metallic Glass by Thermal Oxidation Treatment. Mater. Trans. 2017, 58, 520–523. [Google Scholar] [CrossRef]
- Datasheet; LiquidMetal Technologies Inc.: Rancho Santa Margarita, CA, USA, 2016.
- Batal, A.; Sammons, R.L.; Dimov, S. Response of Saos-2 osteoblast-like cells to laser surface texturing, sandblasting and hydroxyapatite coating on CoCrMo alloy surfaces. Mater. Sci. Eng. C 2019, 98, 1005–1013. [Google Scholar] [CrossRef]
- Tang, X.-P.; Löffler, J.F.; Johnson, W.; Wu, Y. Devitrification of the Zr41.2Ti13.8Cu12.5Ni10.0Be22.5 bulk metallic glass studied by XRD, SANS, and NMR. J. Non-Crystalline Solids 2003, 317, 118–122. [Google Scholar] [CrossRef]
- Martin, I.; Ohkubo, T.; Ohnuma, M.; Deconihout, B.; Hono, K. Nanocrystallization of Zr41.2Ti13.8Cu12.5Ni10.0Be22.5 metallic glass. Acta Mater. 2004, 52, 4427–4435. [Google Scholar] [CrossRef]
- Mridha, S.; Jaeger, D.L.; Arora, H.S.; Banerjee, R.; Mukherjee, S. Evolution of atomic distribution during devitrification of bulk metallic glass investigated by atom probe microscopy. Mater. Lett. 2015, 158, 99–103. [Google Scholar] [CrossRef]
- Wang, Q.; Liu, C.; Yang, Y.; Dong, Y.D.; Lu, J. Atomic-Scale Structural Evolution and Stability of Supercooled Liquid of a Zr-Based Bulk Metallic Glass. Phys. Rev. Lett. 2011, 106, 215505. [Google Scholar] [CrossRef] [PubMed]
- Waniuk, T.; Schroers, J.; Johnson, W.L. Timescales of crystallization and viscous flow of the bulk glass-forming Zr-Ti-Ni-Cu-Be alloys. Phys. Rev. B 2003, 67, 184203. [Google Scholar] [CrossRef]
- Xu, Z.; Xu, Y.; Zhang, A.; Wang, J.; Wang, Z. Oxidation of amorphous alloys. J. Mater. Sci. Technol. 2018, 34, 1977–2005. [Google Scholar] [CrossRef]
- Louzguine-Luzgin, D.V.; Chen, C.; Lin, L.; Wang, Z.; Ketov, S.; Miyama, M.; Trifonov, A.; Lubenchenko, A.; Ikuhara, Y. Bulk metallic glassy surface native oxide: Its atomic structure, growth rate and electrical properties. Acta Mater. 2015, 97, 282–290. [Google Scholar] [CrossRef]
- Dong, H.; Ju, X.; Yang, H.; Qian, L.; Zhou, Z. Effect of ceramic conversion treatments on the surface damage and nickel ion release of NiTi alloys under fretting corrosion conditions. J. Mater. Sci. Mater. Electron. 2007, 19, 937–946. [Google Scholar] [CrossRef]
- Weller, K.; Jeurgens, L.P.; Wang, Z.; Mittemeijer, E.J. Thermal oxidation of amorphous Al0.44Zr0.56 alloys. Acta Mater. 2015, 87, 187–200. [Google Scholar] [CrossRef]
- Weller, K.; Wang, Z.; Jeurgens, L.P.; Mittemeijer, E.J. Thermodynamics controls amorphous oxide formation: Exclusive formation of a stoichiometric amorphous (Al0.33Zr0.67)O1.83 phase upon thermal oxidation of Al–Zr. Acta Mater. 2015, 94, 134–142. [Google Scholar] [CrossRef]
- Weller, K.; Wang, Z.; Jeurgens, L.P.; Mittemeijer, E.J. Oxidation kinetics of amorphous Al Zr1—alloys. Acta Mater. 2016, 103, 311–321. [Google Scholar] [CrossRef]
- Lim, K.R.; Park, J.M.; Kim, S.J.; Lee, E.-S.; Kim, W.T.; Gebert, A.; Eckert, J.; Kim, D.H. Enhancement of oxidation resistance of the supercooled liquid in Cu–Zr-based metallic glass by forming an amorphous oxide layer with high thermal stability. Corros. Sci. 2013, 66, 1–4. [Google Scholar] [CrossRef]
- Cao, D.; Wu, Y.; Li, H.; Liu, X.; Wang, H.; Wang, X.; Lu, Z. Beneficial effects of oxygen addition on glass formation in a high-entropy bulk metallic glass. Intermetallics 2018, 99, 44–50. [Google Scholar] [CrossRef]
- Lim, K.R.; Park, J.M.; Park, S.H.; Na, M.Y.; Kim, K.C.; Kim, W.T.; Kim, D.H. Oxidation induced amorphous stabilization of the subsurface region in Zr-Cu metallic glass. Appl. Phys. Lett. 2014, 104, 031604. [Google Scholar] [CrossRef]
- Louzguine-Luzgin, D.V.; Inoue, A. Nano-devertrification of glassy alloys. J. Nanosci. Nanotechnol. 2005, 5, 999–1014. [Google Scholar] [CrossRef] [PubMed]
- Busch, R.; Schneider, S.; Peker, A.; Johnson, W.L. Decomposition and primary crystallization in undercooled Zr41.2Ti13.8Cu12.5Ni10.0Be22.5 melts. Appl. Phys. Lett. 1995, 67, 1544–1546. [Google Scholar] [CrossRef]
- Kim, Y.J.; Busch, R.; Johnson, W.L.; Rulison, A.J.; Rhim, W.K. Experimental determination of a time–temperature-transformation diagram of the undercooled Zr41.2Ti13.8Cu12.5Ni10.0Be22.5 alloy using the containerless electrostatic levitation processing technique. Appl. Phys. Lett. 1996, 68, 1057–1059. [Google Scholar] [CrossRef]











| Sample Denotation | Treatment Temperature | Treatment Time |
|---|---|---|
| Unt (untreated) | N/A | N/A |
| 350–40 | 350 °C | 40 h |
| 380–4.5 | 380 °C | 4.5 h |
| Sample Code | Surface Hardness (GPa) | Substrate Hardness (GPa) |
|---|---|---|
| Unt | 7.74 ± 0.36 | 7.74 ± 0.36 |
| 350-40 | 18.32 ± 0.21 | 9.38 ± 0.46 |
| 380-4.5 | 17.61 ± 0.22 | 9.56 ± 0.29 |
| Sample Code | Hardness (GPa) | Young’s Modulus (GPa) | Plastic Work ((nJ) | Elastic Work ((nJ) | Elastic Recovery Parameter |
|---|---|---|---|---|---|
| Unt | 7.75 ± 0.36 | 124.42 ± 3.52 | 0.40 ± 0.03 | 0.25 ± 0.01 | 0.2491 ± 0.0081 |
| 350-40 | 9.38 ± 0.46 | 145.70 ± 3.13 | 0.47 ± 0.03 | 0.34 ± 0.01 | 0.2568 ± 0.0158 |
| 380-4.5 | 9.56 ± 0.29 | 140.38 ± 2.31 | 0.46 ± 0.01 | 0.32 ± 0.01 | 0.2733 ± 0.0116 |
© 2020 by the authors. Licensee MDPI, Basel, Switzerland. This article is an open access article distributed under the terms and conditions of the Creative Commons Attribution (CC BY) license (http://creativecommons.org/licenses/by/4.0/).
Share and Cite
Sawyer, V.; Tao, X.; Dong, H.; Dashtbozorg, B.; Li, X.; Sammons, R.; Dong, H.-S. Improving the Tribological Properties and Biocompatibility of Zr-Based Bulk Metallic Glass for Potential Biomedical Applications. Materials 2020, 13, 1960. https://doi.org/10.3390/ma13081960
Sawyer V, Tao X, Dong H, Dashtbozorg B, Li X, Sammons R, Dong H-S. Improving the Tribological Properties and Biocompatibility of Zr-Based Bulk Metallic Glass for Potential Biomedical Applications. Materials. 2020; 13(8):1960. https://doi.org/10.3390/ma13081960
Chicago/Turabian StyleSawyer, Victoria, Xiao Tao, Huan Dong, Behnam Dashtbozorg, Xiaoying Li, Rachel Sammons, and Han-Shan Dong. 2020. "Improving the Tribological Properties and Biocompatibility of Zr-Based Bulk Metallic Glass for Potential Biomedical Applications" Materials 13, no. 8: 1960. https://doi.org/10.3390/ma13081960
APA StyleSawyer, V., Tao, X., Dong, H., Dashtbozorg, B., Li, X., Sammons, R., & Dong, H.-S. (2020). Improving the Tribological Properties and Biocompatibility of Zr-Based Bulk Metallic Glass for Potential Biomedical Applications. Materials, 13(8), 1960. https://doi.org/10.3390/ma13081960

