Combined Optical-Electrical Optimization of Cd1−xZnxTe/Silicon Tandem Solar Cells
Abstract
1. Introduction
2. Materials and Methods
3. Results
3.1. Optical Simulations
3.1.1. The SQ Limit
3.1.2. Full Device Structures
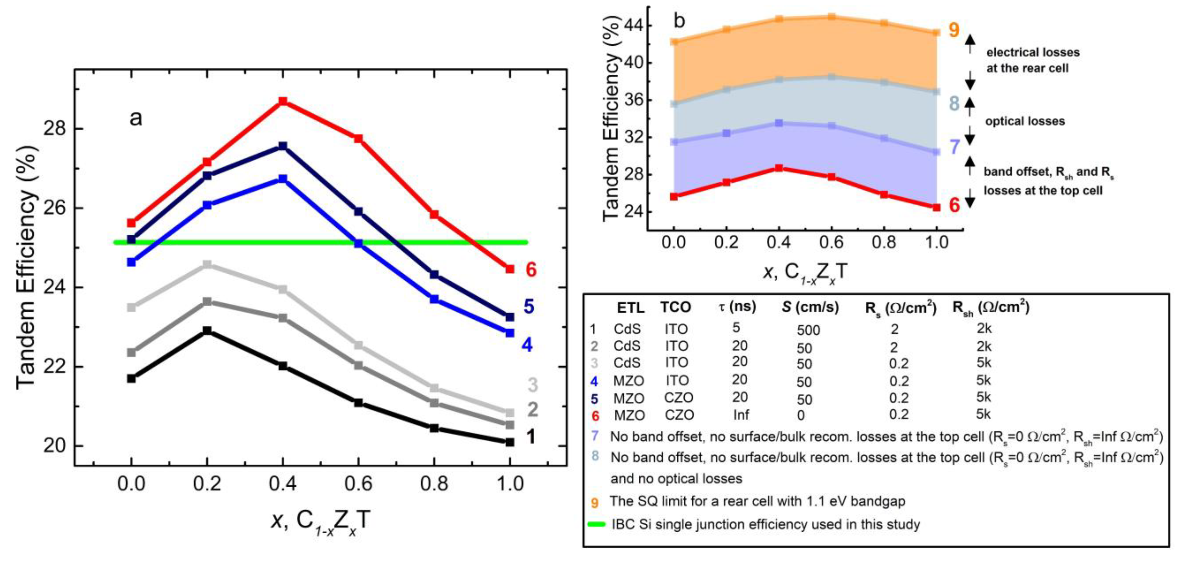
3.2. Electrical Simulations
4. Discussion
5. Conclusions
- The large extinction coefficient of CdS in the UV and visible impedes the usage of the CdS layer as a transparent electron transport layer in the normal top cell structure.
- MZO replacement of CdS boosts the performance of the top and tandem cells significantly. Smaller and less dispersed extinction coefficient and the favorable energy level alignment provide JSC and VOC enhancements. Yet, there is still room for improvement. MZO has a refractive index (n) of ~1.9 in the UV–visible regions; replacing it with a higher refractive index material can boost the MAPC of the top cell significantly.
- As an alternative to substitution of the CdS ETL, it is presented that optical performance of the tandem stack can be boosted by flipping the fabrication order while using an undoped absorber with the top cell. The main benefits of the proposed inverted configuration are that (i) the impact of parasitic absorption in CdS ETL layer on the top cell stack is wholly eliminated and (ii) improvements in MAPC of IBC Si cell caused by the constructive interference in CdS layer become more prominent.
- To improve MAPC of IBC Si cell, transparent conducting electrodes (TCEs) with higher IR transparency should be utilized. Cd0.9Zn0.1O is suggested as a more efficient TCE in place of the rear ITO to fulfill these criteria. The higher refractive index of Cd0.9Zn0.1O yields a smoother transition towards the rear cell, and as a result, up to 4.33% tandem efficiency improvement becomes possible.
Supplementary Materials
Author Contributions
Funding
Acknowledgments
Conflicts of Interest
References
- Research Cell Record Efficiency Chart. Available online: https://www.nrel.gov/pv/assets/images/efficiency-chart.png (accessed on 10 January 2020).
- Green, M.A.; Dunlop, E.D.; Hohl-Ebinger, J.; Yoshita, M.; Kopidakis, N.; Ho-Baillie, A.W.Y. Solar cell efficiency tables (Version 55). Prog. Photovolt. Res. Appl. 2020, 28, 3–15. [Google Scholar] [CrossRef]
- Shockley, W.; Queisser, H.J. Detailed balance limit of efficiency of p-n junction solar cells. J. Appl. Phys. 1961, 32, 510–519. [Google Scholar] [CrossRef]
- Essig, S.; Ward, S.; Steiner, M.A.; Friedman, D.J.; Geisz, J.F.; Stradins, P.; Young, D.L. Progress towards a 30% efficient GaInP/Si tandem solar cell. Energy Procedia 2015, 77, 464–469. [Google Scholar] [CrossRef]
- Sahli, F.; Werner, J.; Kamino, B.A.; Brauninger, M.; Monnard, R.; Paviet-Salomon, B.; Barraud, L.; Ding, L.; Diaz Leon, J.J.; Sacchetto, D.; et al. Fully textured monolithic perovskite/silicon tandem solar cells with 25.2% power conversion efficiency. Nat. Mater. 2018, 17, 820–826. [Google Scholar] [CrossRef]
- Mazzarella, L.; Lin, Y.-H.; Kirner, S.; Morales-Vilches, A.B.; Korte, L.; Albrecht, S.; Crossland, E.; Stannowski, B.; Case, C.; Snaith, H.J.; et al. Infrared Light Management Using a Nanocrystalline Silicon Oxide Interlayer in Monolithic Perovskite/Silicon Heterojunction Tandem Solar Cells with Efficiency above 25%. Adv. Energy Mater. 2019, 9, 1803241. [Google Scholar] [CrossRef]
- Chen, B.; Yu, Z.; Liu, K.; Zheng, X.; Liu, Y.; Shi, J.; Spronk, D.; Rudd, P.N.; Holman, Z.; Huang, J. Grain Engineering for Perovskite/Silicon Monolithic Tandem Solar Cells with Efficiency of 25.4%. Joule 2018, 3, 177–190. [Google Scholar] [CrossRef]
- Jošt, M.; Kohnen, E.; Morales-Vilches, A.B.; Lipovšek, B.; Jäger, K.; Macco, B.; Al-Ashouri, A.; Krč, J.; Korte, L.; Rech, B.; et al. Textured interfaces in monolithic perovskite/silicon tandem solar cells: Advanced light management for improved efficiency and energy yield. Energy Environ. Sci. 2018, 11, 3511–3523. [Google Scholar] [CrossRef]
- Oxford PV Perovskite Solar Cell Achieves 28% Efficiency. Available online: https://www.oxfordpv.com/news/oxford-pv-perovskite-solar-cell-achieves-28-efficiency (accessed on 5 February 2019).
- Essig, S.; Steiner, M.A.; Allebé, C.; Geisz, J.F.; Paviet-Salomon, B.; Ward, S.; Descoeudres, A.; LaSalvia, V.; Barraud, L.; Badel, N.; et al. Realization of GaInP/Si Dual-Junction Solar Cells with 29.8% 1-Sun Efficiency. IEEE J. Photovolt. 2016, 6, 1012–1019. [Google Scholar] [CrossRef]
- Zelaya-Angel, O.; Mendoza-alvarez, J.G.; Becerril, M.; Navarro-Contreras, H.; Tirado-Mejía, L. On the bowing parameter in Cd1−xZnxTe. J. Appl. Phys. 2004, 95, 6284–6288. [Google Scholar] [CrossRef]
- Paulson, P.D.; McCandless, B.E.; Birkmire, R.W. Optical properties of Cd1−xZnxTe films in a device structure using variable angle spectroscopic ellipsometry. J. Appl. Phys. 2004, 95, 3010–3019. [Google Scholar] [CrossRef]
- Alomairy, S.E.; Ali, H.M.; Abdel-Raheem, M.M.; Al-baradi, A.M.; Abdel-Wahab, F.; Amin, S.A. Morphological and Optical Characterization of Mg-ZnO Thin Films Deposited by Co-Magnetron Sputtering Technique. Dig. J. Nanomater. Biostruct. 2017, 12, 533–547. [Google Scholar]
- Aguilar, O.; Castro, S.; Godoy, M.P.F.; Dias, M.R.S. Optoelectronic characterization of Zn1−xCdxO thin films as an alternative to photonic crystals in organic solar cells. Opt. Mater. Express 2019, 9, 3638–3648. [Google Scholar] [CrossRef]
- Koirala, P.; Li, J.; Yoon, H.P.; Aryal, P.; Marsillac, S.; Rockett, A.A.; Podraza, N.J.; Collins, R.W. Through-the-glass spectroscopic ellipsometry for analysis of CdTe thin-film solar cells in the superstrate configuration. Prog. Photovolt. Res. Appl. 2016, 24, 1055–1067. [Google Scholar] [CrossRef]
- Vogt, M.R.; Holst, H.; Schulte-Huxel, H.; Blankemeyer, S.; Witteck, R.; Hinken, D.; Winter, M.; Min, B.; Schinke, C.; Ahrens, I.; et al. Optical Constants of UV Transparent EVA and the Impact on the PV Module Output Power under Realistic Irradiation. Energy Procedia 2016, 92, 523–530. [Google Scholar] [CrossRef]
- Palik, E.D. Handbook of Optical Constants of Solids; Academic Press: Cambridge, MA, USA, 1985. [Google Scholar]
- Malitson, I.H. Interspecimen Comparison of the Refractive Index of Fused Silica. J. Opt. Soc. Am. 1965, 55, 1205–1209. [Google Scholar] [CrossRef]
- Chen, C.-W.; Hsiao, S.-Y.; Chen, C.-Y.; Kang, H.-W.; Huang, Z.-Y.; Lin, H.-W. Optical properties of organometal halide perovskite thin films and general device structure design rules for perovskite single and tandem solar cells. J. Mater. Chem. A 2015, 3, 9152–9159. [Google Scholar] [CrossRef]
- Burgelman, M.; Nollet, P.; Degrave, S. Modelling polycrystalline semiconductor solar cells. Thin Solid Films 2000, 361–362, 527–532. [Google Scholar] [CrossRef]
- Kartopu, G.; Williams, B.L.; Zardetto, V.; Gürlek, A.K.; Clayton, A.J.; Jones, S.; Kessels, W.M.M.; Creatore, M.; Irvine, S.J.C. Enhancement of the photocurrent and efficiency of CdTe solar cells suppressing the front contact reflection using a highly-resistive ZnO buffer layer. Sol. Energy Mater. Sol. Cells 2019, 191, 78–82. [Google Scholar] [CrossRef]
- Kartopu, G.; Phillips, L.J.; Barrioz, V.; Irvine, S.J.C.; Hodgson, S.D.; Tejedor, E.; Dupin, D.; Clayton, A.J.; Rugen-Hankey, S.L.; Durose, K. Progression of metalorganic chemical vapour-deposited CdTe thin-film PV devices towards modules. Prog. Photovolt. Res. Appl. 2016, 24, 283–291. [Google Scholar] [CrossRef]
- Kartopu, G.; Turkay, D.; Ozcan, C.; Hadibrata, W.; Aurang, P.; Yerci, S.; Unalan, H.E.; Barrioz, V.; Qu, Y.; Bowen, L.; et al. Photovoltaic performance of CdS/CdTe junctions on ZnO nanorod arrays. Sol. Energy Mater. Sol. Cells 2018, 176, 100–108. [Google Scholar] [CrossRef]
- Koç, M.; Soltanpoor, W.; Bektaş, G.; Bolink, H.J.; Yerci, S. Guideline for Optical Optimization of Planar Perovskite Solar Cells. Adv. Opt. Mater. 2019, 7, 1900944. [Google Scholar] [CrossRef]
- Smith, D.D.; Reich, G.; Baldrias, M.; Reich, M.; Boitnott, N.; Bunea, G. Silicon solar cells with total area efficiency above 25%. In Proceedings of the IEEE 43rd Photovoltaic Specialists Conference (PVSC), Portland, OR, USA, 5–10 June 2016; pp. 3351–3355. [Google Scholar] [CrossRef]
- Clayton, A.J.; Irvine, S.J.C.; Jones, E.W.; Kartopu, G.; Barrioz, V.; Brooks, W.S.M. MOCVD of Cd(1−x)Zn(x)S/CdTe PV cells using an ultra-thin absorber layer. Sol. Energy Mater. Sol. Cells 2012, 101, 68–72. [Google Scholar] [CrossRef]
- Kephart, J.M.; McCamy, J.W.; Ma, Z.; Ganjoo, A.; Alamgir, F.M.; Sampath, W.S. Band alignment of front contact layers for high-efficiency CdTe solar cells. Sol. Energy Mater. Sol. Cells 2016, 157, 266–275. [Google Scholar] [CrossRef]
- Munshi, A.H.; Kephart, J.M.; Abbas, A.; Shimpi, T.M.; Barth, K.L.; Walls, J.M.; Sampath, W.S. Polycrystalline CdTe photovoltaics with efficiency over 18% through improved absorber passivation and current collection. Sol. Energy Mater. Sol. Cells 2018, 176, 9–18. [Google Scholar] [CrossRef]
- Li, D.-B.; Song, Z.; Awni, R.A.; Bista, S.S.; Shrestha, N.; Grice, C.R.; Chen, L.; Liyanage, G.K.; Razooqi, M.A.; Phillips, A.B.; et al. Eliminating S-Kink to Maximize the Performance of MgZnO/CdTe Solar Cells. ACS Appl. Energy Mater. 2019, 2, 2896–2903. [Google Scholar] [CrossRef]
- Chen, Y.; Tan, X.; Peng, S.; Xin, C.; Delahoy, A.E.; Chin, K.K.; Zhang, C. The Influence of Conduction Band Offset on CdTe Solar Cells. J. Electron. Mater. 2018, 47, 1201–1207. [Google Scholar] [CrossRef]
- McCandless, B.E. Cadmium zinc telluride films for wide band gap solar cells. In Proceedings of the 29th IEEE PVSC, New Orleans, LA, USA, 19–24 May 2002; pp. 488–491. [Google Scholar] [CrossRef]
- Shimpi, T.; Kephart, J.; Swanson, D.E.; Munshi, A.; Sampath, W.S.; Abbas, A.; Walls, J.M. Effect of the cadmium chloride treatment on RF sputtered CdZnTe films for application in multijunction solar cells. J. Vac. Sci. Technol. A 2016, 34, 051202. [Google Scholar] [CrossRef]
- Chander, S.; Dea, A.K.; Dhaka, M.S. Towards CdZnTe solar cells: An evolution to post-treatment annealing atmosphere. Sol. Energy 2018, 174, 757–761. [Google Scholar] [CrossRef]
- Carmody, M.; Mallick, S.; Margetis, J.; Kodama, R.; Biegala, T.; Xu, D.; Bechmann, P.; Garland, J.W.; Sivanathan, S. Single-crystal II-VI and Si single-junction and tandem solar cells. Appl. Phys. Lett. 2010, 96, 153502. [Google Scholar] [CrossRef]
- Cheng, C.-W.; Shiu, K.-T.; Li, N.; Han, S.-J.; Shi, L.; Sadana, D.K. Epitaxial lift-off process for gallium arsenide substrate reuse and flexible electronics. Nat. Commun. 2013, 4, 1577. [Google Scholar] [CrossRef]
- Kirk, A.P.; Cardwell, D.W.; Wood, J.D.; Wibowo, A.; Forghani, K.; Rowell, D.; Pan, N.; Osowski, M. Recent Progress in Epitaxial Lift-Off Solar Cells. In Proceedings of the 2018 IEEE 7th World Conference on Photovoltaic Energy Conversion (WCPEC) (A Joint Conference of 45th IEEE PVSC, 28th PVSEC & 34th EU PVSEC), Waikoloa Village, HI, USA, 10–15 June 2018; pp. 32–35. [Google Scholar] [CrossRef]








| Cell Structure TL/Thickness Rear TCO | Normal CdS/50 nm ITO | Normal CdS/QWOT ITO | Normal MZO/50 nm ITO | Normal MZO/50 nm CZO | Inverted CdS/QWOT ITO |
|---|---|---|---|---|---|
| Top Cell 1-CdTe | 26.4 | 23.3 | 28.2 | 28.1 | 28.1 |
| Rear Cell-Si | 9.7 | 10.1 | 9.1 | 10.3 | 10.2 |
| Top Cell 2-C0.6Z0.4T | 18.8 | 16.5 | 20.6 | 20.5 | 20.8 |
| Rear Cell 2-Si | 16.4 | 16.9 | 15.8 | 17.4 | 16.9 |
| Top Cell 3-ZnTe | 7.3 | 6.6 | 9.1 | 9.1 | 9.7 |
| Rear Cell 3-Si | 27.1 | 27.3 | 26.5 | 27.4 | 27.3 |
| C1−xZxT (x) | Eg (meV) | MAPC (mA/cm2) | JSC (mA/cm2) | VOC (mV) | FF (%) | η (%) | JSC-Si (mA/cm2) | VOC-Si (mV) | FFSi (%) | ηSi (%) | ηTandem (%) |
|---|---|---|---|---|---|---|---|---|---|---|---|
| 0 | 1450 | 26.4 | 23.8 | 902 | 77.8 | 16.9 | 8.35 | 696 | 82.1 | 4.8 | 21.7 |
| 0.2 | 1550 | 22.8 | 20.6 | 996 | 79.2 | 16.3 | 11.43 | 704 | 82.2 | 6.6 | 22.9 |
| 0.4 | 1700 | 18.8 | 17.2 | 1038 | 74.1 | 13.2 | 15.02 | 711 | 82.3 | 8.8 | 22.0 |
| 0.6 | 1860 | 14.4 | 13.0 | 1025 | 74.0 | 9.8 | 19.04 | 717 | 82.4 | 11.3 | 21.1 |
| 0.8 | 2040 | 10.2 | 9.2 | 1008 | 73.5 | 6.8 | 22.93 | 722 | 82.5 | 13.7 | 20.4 |
| 1 | 2200 | 7.3 | 6.6 | 991 | 72.5 | 4.8 | 25.65 | 725 | 82.5 | 15.3 | 20.1 |
| C1−xZxT (x) | Eg (meV) | MAPC (mA/cm2) | JSC (mA/cm2) | VOC (mV) | FF (%) | η (%) | JSC-Si (mA/cm2) | VOC-Si (mV) | FFSi (%) | ηSi (%) | ηTandem (%) |
|---|---|---|---|---|---|---|---|---|---|---|---|
| 0 | 1450 | 28.2 | 25.1 | 904 | 78.7 | 17.9 | 7.9 | 694 | 82.1 | 4.5 | 22.4 |
| 0.2 | 1550 | 24.7 | 22.4 | 1000 | 80.7 | 18.1 | 11.0 | 703 | 82.2 | 6.4 | 24.5 |
| 0.4 | 1700 | 20.6 | 19.0 | 1124 | 76.1 | 16.3 | 14.6 | 710 | 82.3 | 8.6 | 24.9 |
| 0.6 | 1860 | 16.2 | 14.7 | 1136 | 74.7 | 12.5 | 18.7 | 716 | 82.4 | 11.0 | 23.5 |
| 0.8 | 2040 | 11.9 | 10.9 | 1122 | 74.4 | 9.1 | 22.6 | 721 | 82.5 | 13.5 | 22.6 |
| 1 | 2200 | 9.1 | 8.4 | 1109 | 73.8 | 6.8 | 25.3 | 724 | 82.5 | 15.1 | 21.9 |
| C1−xZxT (x) | Eg (meV) | Eg (eV) | MAPC (mA/cm2) | JSC (mA/cm2) | VOC (mV) | FF (%) | η (%) | JSC-Si (mA/cm2) | VOC-Si (mV) | FFSi (%) | ηSi (%) | ηTandem (%) |
|---|---|---|---|---|---|---|---|---|---|---|---|---|
| 0 | 1450 | 1.45 | 28.1 | 25.1 | 904 | 78.7 | 17.9 | 8.9 | 697 | 82.1 | 5.1 | 23.0 |
| 0.2 | 1550 | 1.55 | 24.6 | 22.4 | 1000 | 80.7 | 18.1 | 12.3 | 706 | 82.2 | 7.1 | 25.2 |
| 0.4 | 1700 | 1.7 | 20.5 | 19.0 | 1124 | 76.1 | 16.2 | 16.0 | 712 | 82.3 | 9.4 | 25.6 |
| 0.6 | 1860 | 1.86 | 16.1 | 14.7 | 1136 | 74.7 | 12.5 | 20.0 | 718 | 82.4 | 11.8 | 24.3 |
| 0.8 | 2040 | 2.04 | 11.9 | 10.9 | 1121 | 74.4 | 9.1 | 23.6 | 723 | 82.5 | 14.1 | 23.2 |
| 1 | 2200 | 2.2 | 9.1 | 8.4 | 1109 | 73.8 | 6.8 | 25.9 | 725 | 82.5 | 15.5 | 22.3 |
© 2020 by the authors. Licensee MDPI, Basel, Switzerland. This article is an open access article distributed under the terms and conditions of the Creative Commons Attribution (CC BY) license (http://creativecommons.org/licenses/by/4.0/).
Share and Cite
Koç, M.; Kartopu, G.; Yerci, S. Combined Optical-Electrical Optimization of Cd1−xZnxTe/Silicon Tandem Solar Cells. Materials 2020, 13, 1860. https://doi.org/10.3390/ma13081860
Koç M, Kartopu G, Yerci S. Combined Optical-Electrical Optimization of Cd1−xZnxTe/Silicon Tandem Solar Cells. Materials. 2020; 13(8):1860. https://doi.org/10.3390/ma13081860
Chicago/Turabian StyleKoç, Mehmet, Giray Kartopu, and Selcuk Yerci. 2020. "Combined Optical-Electrical Optimization of Cd1−xZnxTe/Silicon Tandem Solar Cells" Materials 13, no. 8: 1860. https://doi.org/10.3390/ma13081860
APA StyleKoç, M., Kartopu, G., & Yerci, S. (2020). Combined Optical-Electrical Optimization of Cd1−xZnxTe/Silicon Tandem Solar Cells. Materials, 13(8), 1860. https://doi.org/10.3390/ma13081860

