Investigation of Parameters Affecting the Equivalent Yield Curvature of Reinforced Concrete Columns
Abstract
1. Introduction
2. Numerical Investigation on the Reinforced Columns
2.1. Properties of Column Cross-Sections
2.2. Determination of Equivalent Yield Curvature
2.3. Investigation of Response Quantities Affecting the Equivalent Yield Curvature
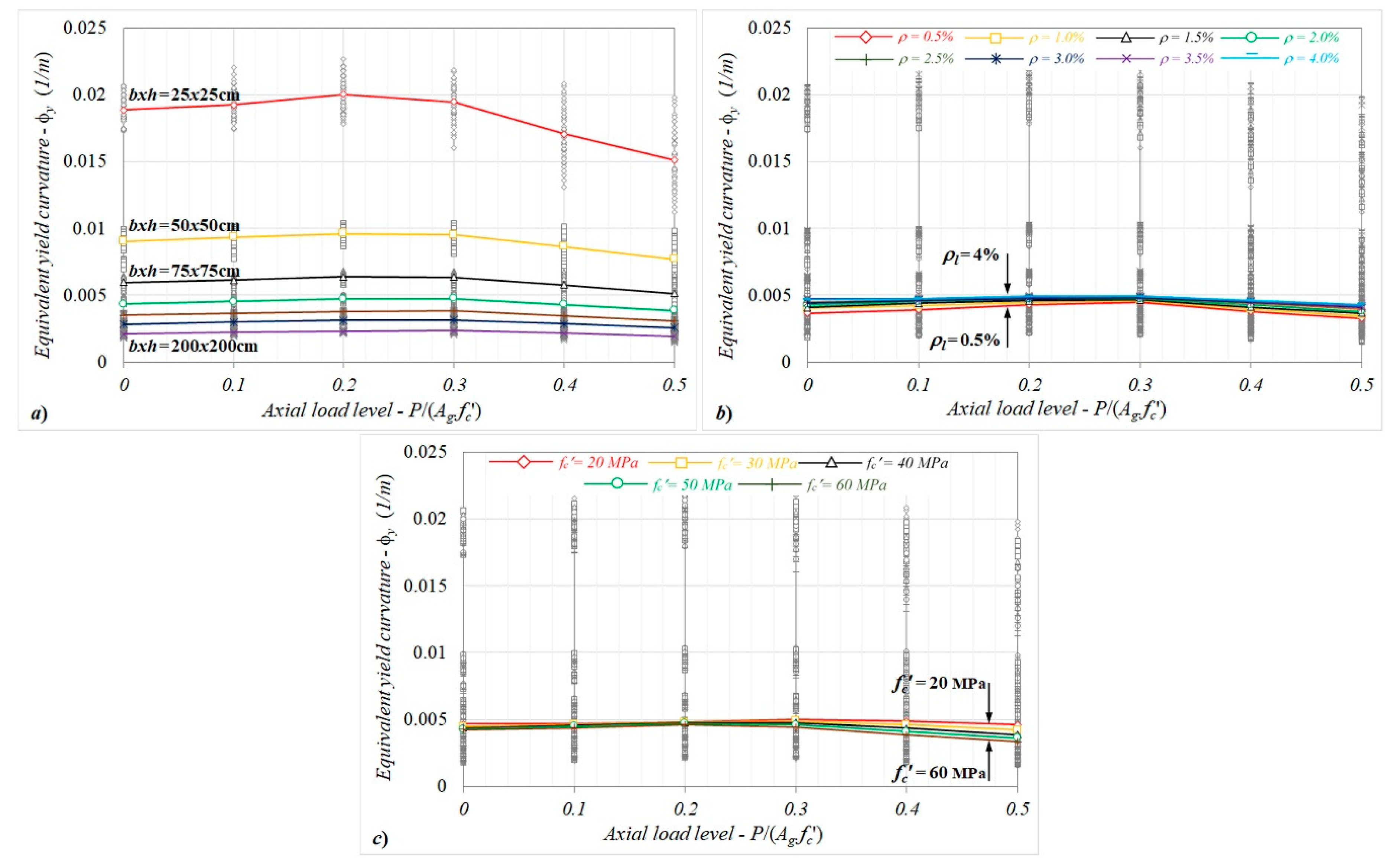
2.3.1. Effect of the Axial Load Level
2.3.2. Effect of the Cross-Sectional Dimensions
2.3.3. Effect of the Longitudinal Reinforcement Ratio
2.3.4. Effect of the Concrete Compressive Strength
3. Conclusions
Funding
Conflicts of Interest
References
- European Committee for Standardization. Eurocode–8: Design of Structures for Earthquake Resistance—Part 1: General Rules, Seismic Actions and Rules for Buildings; prEN 1998-1; European Committee for Standardization: Brussels, Belgium, 2003. [Google Scholar]
- AASHTO. Recommended LRFD Guidelines for the Seismic Design of Highway Bridges; NCHRP 20–07 Task 193; American Association of State Highway and Transportation Officials: Washington, DC, USA, 2006. [Google Scholar]
- FEMA 356. Prestandard and Commentary for the Seismic Rehabilitation of Buildings; Federal Emergency Management Agency: Washington, DC, USA, 2000. [Google Scholar]
- ACI 318. Building Code Requirements for Structural Concrete (ACI 318M-14) and Commentary (318R-14); American Concrete Institute: Farmington Hills, MI, USA, 2014. [Google Scholar]
- Turkish Building Earthquake Code. Specifications for Design of Buildings under Earthquake Action; Disaster and Emergency Management Presidency: Ankara, Turkey, 2018. [Google Scholar]
- Priestley, M.J.N. Myths and Fallacies in Earthquake Engineering; Revisited the Ninth Mallet Milne Lecture; IUSS Press: Pavia, Italy, 2003. [Google Scholar]
- Priestley, M.J.N.; Calvi, G.M.; Kowalsky, M.J. Displacement-Based Seismic Design of Structures; IUSS Press: Pavia, Italy, 2007. [Google Scholar]
- Elwood, K.J.; Eberhard, M.O. Effective Stiffness of Reinforced Concrete Columns; Research Digest No: 2006-1; Pacific Earthquake Engineering Research Center: Berkeley, CA, USA, 2006. [Google Scholar]
- Biskinis, D.; Fardis, M.N. Deformations of Concrete Members at Yielding and Ultimate under Monotonic or Cyclic Loading (Including Repaired and Retrofitted Members); Report No: SEE 2009-01; Department of Civil Engineering, University of Patras: Patras, Greece, 2009. [Google Scholar]
- Priestley, M.J.N.; Seible, F.; Calvi, G.M. Seismic Design and Retrofit of Bridges; John Wiley & Sons Inc.: New York, NY, USA, 1996. [Google Scholar]
- Li, C. Reinforced Concrete Columns under Seismic Lateral Force and Varying Axial Load. Ph.D. Thesis, University of Canterbury, Christchurch, New Zealand, 1994. [Google Scholar]
- Sheikh, M.N.; Tsong, H.H.; McCarthy, T.J.; Lam, N.T.K. Yield curvature for seismic design of circular reinforced concrete columns. Mag. Concr. Res. 2010, 62, 741–748. [Google Scholar] [CrossRef]
- Montes, E.H.; Aschleim, M. Estimates of yield curvature for the design of reinforced concrete columns. Mag. Concr. Res. 2003, 55, 373–383. [Google Scholar] [CrossRef]
- Zhao, H.; Liang, X.; Song, C. Yield displacement calculation method of high-strength concrete shear wall. Appl. Mech. Mater. 2013, 353–356, 3382–3386. [Google Scholar] [CrossRef]
- Avsar, O.; Bayhan, B.; Yakut, A. Effective flexural rigidities for ordinary reinforced concrete columns and beams. Struct. Des. Tall Spec. Build. 2014, 23, 463–482. [Google Scholar] [CrossRef]
- Tjhin, T.N.; Aschleim, M.A.; Wallace, J.W. Yield displacement estimates for displacement-based seismic design of ductile reinforced concrete structural wall buildings. In Proceedings of the 13th World Conference on Earthquake Engineering, Vancouver, BC, Canada, 1–6 August 2004; p. 1035. [Google Scholar]
- Wang, B.; Cai, W.; Shi, Q. Simplified data-driven model for the moment curvature of T-shaped RC shear walls. Adv. Civ. Eng. 2019, 2019, 1–16. [Google Scholar] [CrossRef]
- Hasgul, U. Investigation of practical equations for equivalent yield curvature of reinforcement concrete columns. J. BAUN Inst. Sci. Technol. 2020, 22, 354–366. [Google Scholar]
- Castellanos, H.; Ayala, A.G.; Barradas, J.E. Correlation between strength and stiffness of reinforced concrete elements and its implications on displacement based seismic design of buildings. In Proceedings of the 9th U.S. National and 10th Canadian Conference on Earthquake Engineering, Toronto, ON, Canada, 25–29 July 2010; p. 681. [Google Scholar]
- Huailei, L.; Guoyong, H. Study on the ultimate limit state of the curvature for circular section. Adv. Mater. Res. Switz. 2013, 689, 294–298. [Google Scholar]
- Massone, L.M.; Alfaro, J.I. Displacement and curvature estimation for the design of reinforced concrete slender walls. Struct. Des. Tall Spec. Build. 2016, 25, 823–841. [Google Scholar] [CrossRef]
- Arab, A.; Banan, M.R.; Banan, M.R.; Farh, S. Estimation of relations among hysteretic response measures and design parameters for RC rectangular shear walls. Front. Struct. Civ. Eng. 2018, 12, 3–15. [Google Scholar] [CrossRef]
- Valenzuela-Beltrán, F.; Ruiz, S.E.; Reyes-Salazar, A.; Gaxiola-Camacho, J.R. On the seismic design of structures with tilting located within a seismic region. Appl. Sci. 2017, 7, 1146. [Google Scholar] [CrossRef]
- Montejo, L.A.; Kowalsky, M.J. CUMBIA—Set of Codes for the Analysis of Reinforced Concrete Members; Technical Report: IS-07-01; Constructed Facilities Laboratory, North Carolina State University: Raleigh, NC, USA, 2007. [Google Scholar]
- Mander, J.B.; Priestley, M.J.N.; Park, R. Theoretical stress-strain model for confined concrete. J. Struct. Eng. 1988, 114, 1804–1826. [Google Scholar] [CrossRef]
- Mander, J.B.; Priestley, M.J.N.; Park, R. Observed stress-strain model of confined concrete. J. Struct. Eng. 1988, 114, 1827–1849. [Google Scholar] [CrossRef]
- King, D.J.; Priestley, M.J.N.; Park, P. Computer Programs for Concrete Column Design; Research Report: 86/12; Department of Civil Engineering, University of Canterbury: Christchurch, New Zealand, 1986. [Google Scholar]
- Raynor, D.J.; Lehman, D.E.; Stanton, J.F. Bond-slip response of reinforcing bars grouted in ducts. ACI Struct. J. 2002, 99, 568–576. [Google Scholar]
- Kowalsky, M.J.; Priestley, M.J.N. Improved analytical model for shear strength of circular reinforced concrete columns in seismic regions. ACI Struct. J. 2000, 97, 388–396. [Google Scholar]
- Moyer, M.J.; Kowalsky, M.J. Influence of tension strain on buckling of reinforcement in concrete columns. ACI Struct. J. 2003, 100, 75–85. [Google Scholar]
- Berry, M.P.; Eberhard, M.O. A practical performance model for bar buckling. J. Struct. Eng. 2005, 131, 1060–1070. [Google Scholar] [CrossRef]
- Panagiotakos, T.B.; Fardis, M.N. Deformations of reinforced concrete members at yielding and ultimate. ACI Struct. J. 2001, 98, 135–148. [Google Scholar]
- Palanci, M. Flexural response prediction of reinforced concrete members based on statistical observations. Arab. J. Sci. Eng. 2017, 42, 3689–3709. [Google Scholar] [CrossRef]
- Paulay, T. An estimation of displacement limits for ductile systems. Earthq. Eng. Struct. Dyn. 2002, 31, 583–599. [Google Scholar] [CrossRef]












| Dimension bxh (cm) | Reinforcement Ratio ρl (%) | Axial Load Level (P/Agfc′) | Concrete Comp. Strength fc′ (MPa) | Yield Strength of Reinforcement fy (MPa) | Cover Thickness Ratio (Ac/Ag) |
|---|---|---|---|---|---|
| 25 × 25 50 × 50 75 × 75 100 × 100 125 × 125 150 × 150 200 × 200 | 0.5 1.0 1.5 2.0 2.5 3.0 3.5 4.0 | 0 0.1 0.2 0.3 0.4 0.5 | 20 30 40 50 60 | 410 | 0.8 |
© 2020 by the author. Licensee MDPI, Basel, Switzerland. This article is an open access article distributed under the terms and conditions of the Creative Commons Attribution (CC BY) license (http://creativecommons.org/licenses/by/4.0/).
Share and Cite
Hasgul, U. Investigation of Parameters Affecting the Equivalent Yield Curvature of Reinforced Concrete Columns. Materials 2020, 13, 1594. https://doi.org/10.3390/ma13071594
Hasgul U. Investigation of Parameters Affecting the Equivalent Yield Curvature of Reinforced Concrete Columns. Materials. 2020; 13(7):1594. https://doi.org/10.3390/ma13071594
Chicago/Turabian StyleHasgul, Umut. 2020. "Investigation of Parameters Affecting the Equivalent Yield Curvature of Reinforced Concrete Columns" Materials 13, no. 7: 1594. https://doi.org/10.3390/ma13071594
APA StyleHasgul, U. (2020). Investigation of Parameters Affecting the Equivalent Yield Curvature of Reinforced Concrete Columns. Materials, 13(7), 1594. https://doi.org/10.3390/ma13071594

