Performance Degradation and Microscopic Analysis of Lightweight Aggregate Concrete after Exposure to High Temperature
Abstract
1. Introduction
2. Materials and Methods
2.1. Raw Materials
2.2. Mix Design
2.3. Experimental Design
3. Results and Discussion
3.1. Visual Appearance after High Temperature
3.2. Mass Loss after Exposure to High Temperature
3.2.1. Raw Materials Mass Loss after Exposure to the High Temperature
3.2.2. Concrete Specimens Mass Loss after Exposure to High Temperature
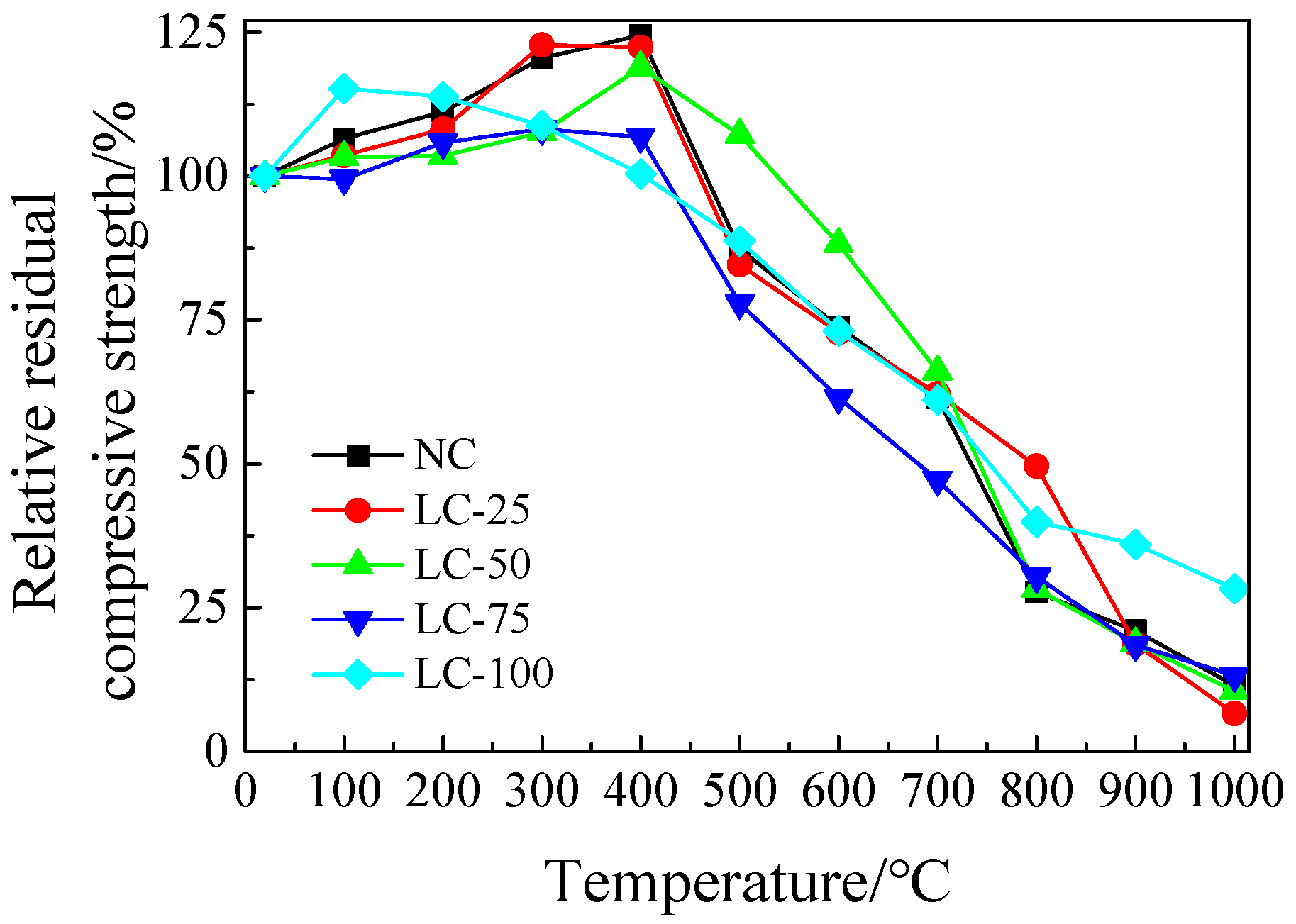
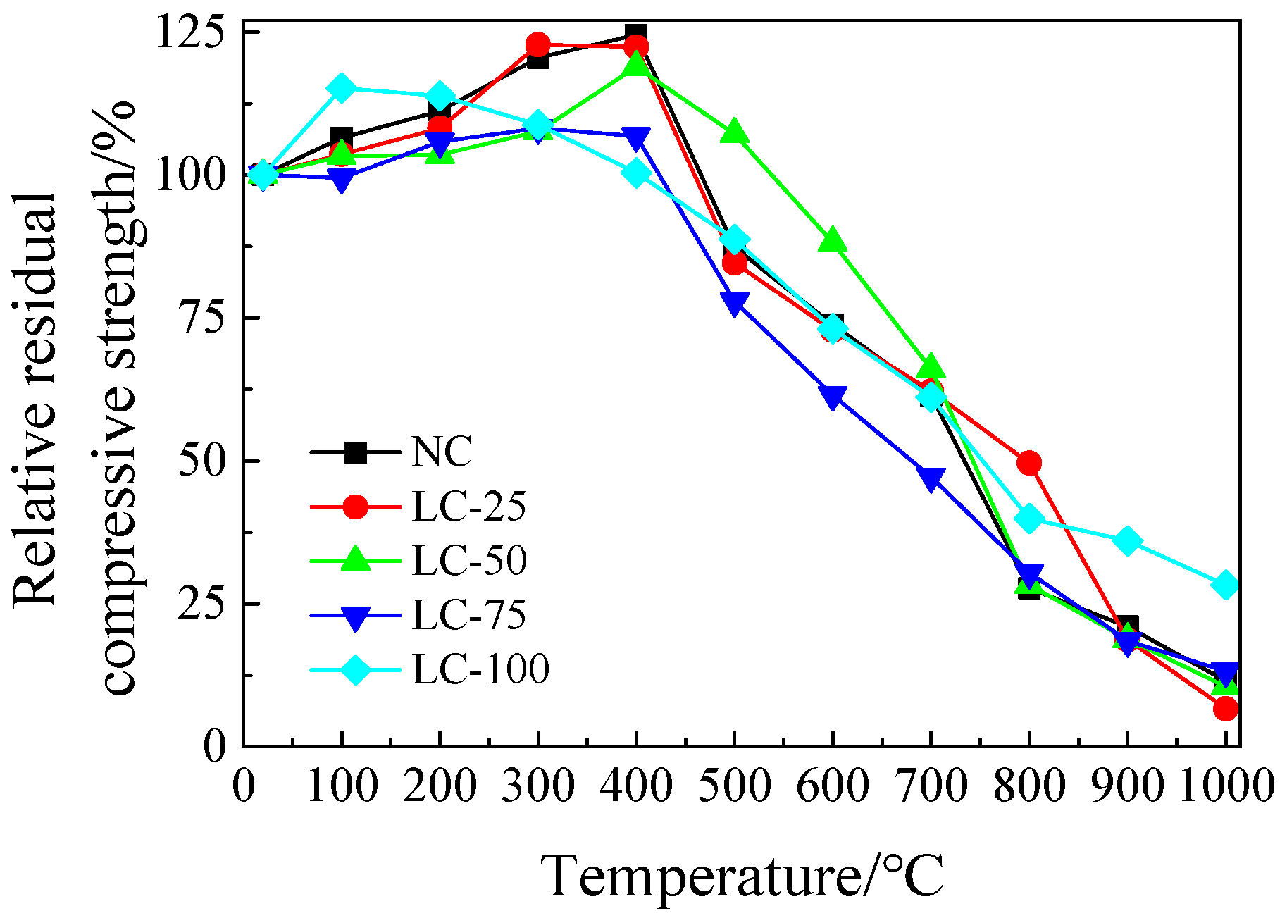
3.3. Strength Loss after Exposure to High Temperature
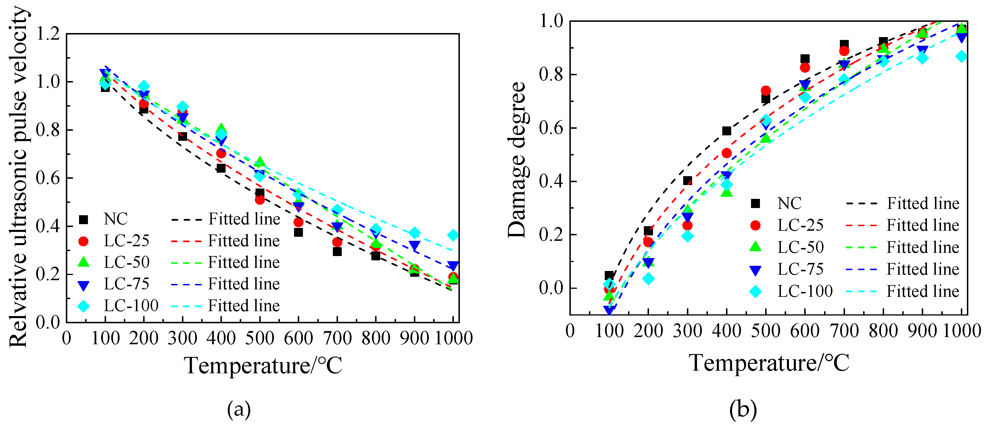
3.4. Internal Damage after Exposure to High Temperature
3.5. The Relationship between Internal Damage and Strength Loss
3.6. Microscopic Analysis
3.6.1. Analysis of High Temperature Degradation Process of Cement Paste
3.6.2. Analysis of High Temperature Degradation in Transition Zone of the Lightweight Aggregate Concrete
4. Conclusions
Author Contributions
Funding
Conflicts of Interest
References
- Wu, T.; Liu, X.; Wang, N.N.; Xing, G.; Liu, B. Experimental study on shear behavior flexural members made of high-strength lightweight aggregate concrete. China Civ. Eng. J. 2014, 47, 40–48. [Google Scholar]
- Ting, T.Z.H.; Rahman, M.E.; Lau, H.H.; Ting, M.Z.Y. Recent development and perspective of lightweight aggregates based self-compacting concrete. Constr. Build. Mater. 2019, 201, 763–777. [Google Scholar] [CrossRef]
- Zhang, D.X.; Yang, W.J. Experimental research on bond behaviors between shale ceramsite lightweight aggregate concrete and bars through pullout tests. J. Mater. Civ. Eng. 2015, 27, 06014030. [Google Scholar] [CrossRef]
- Huang, J.K.; Pang, J.Y.; Liu, G.C.; Mo, Y.X.; Jiang, P.W.; Su, Q. A new heat insulation shotcrete mixed with basalt and plant fibers. Adv. Civ. Eng. 2019, 2019, 6376807. [Google Scholar] [CrossRef]
- Peng, G.F.; Niu, X.J.; Cheng, K. Research on fire resistance of ultra-high-performance concrete: A review. Mater. Rev. A Rev. Pap. 2017, 31, 17–23. [Google Scholar]
- Tanyildizi, H.; Coskun, A. The effect of high temperature on compressive strength and splitting tensile strength of structural lightweight concrete containing fly ash. Constr. Build. Mater. 2008, 22, 2269–2275. [Google Scholar] [CrossRef]
- Zhou, M.Z.; Sun, Q.X.; Cao, W.Z.; Xue, H.R.; Qiao, H.X. The light-wide concrete performance and its microscopic analysis after high temperature. Build. Sci. 2009, 25, 30–33. [Google Scholar]
- Jiang, Y.C.; Huo, D.; Teng, H.W.; Qiao, Y. Study on performance of shale ceramsite concrete after exposure to high temperature. J. Build. Mater. 2013, 16, 888–893. [Google Scholar]
- He, K.C.; Guo, R.X.; Ma, Q.M.; Yan, F.; Lin, Z.W.; Sun, Y.L. Experimental research on high temperature resistance of modified lightweight concrete after exposure to elevated temperatures. Adv. Mater. Sci. Eng. 2016, 2016, 5972570. [Google Scholar] [CrossRef]
- Guo, R.X.; He, K.C.; Ma, Q.M.; Yan, F.; Lin, Z.W.; Sun, Y.L. Compressive properties and microstructure of modified lightweight aggregate concrete after exposure to elevated temperatures. J. Build. Mater. 2017, 20, 333–338. [Google Scholar]
- Yoon, M.; Kim, G.; Choe, G.C.; Lee, Y.; Lee, T. Effect of coarse aggregate type and loading level on the high temperature properties of concrete. Constr. Build. Mater. 2015, 78, 26–33. [Google Scholar] [CrossRef]
- Go, C.-G.; Tang, J.-R.; Chi, J.-H.; Chen, C.-T.; Huang, Y.-L. Fire-resistance property of reinforced lightweight aggregate concrete wall. Constr. Build. Mater. 2012, 30, 725–733. [Google Scholar] [CrossRef]
- Gong, J.Q.; Deng, G.Q.; Shan, B. Performance evaluation of RPC exposed to high temperature combining ultrasonic test: A case study. Constr. Build. Mater. 2017, 157, 194–202. [Google Scholar] [CrossRef]
- Lin, Y.; Hsiao, C.; Yang, H.; Lin, Y.-F. The effect of post-fire-curing on strength–velocity relationship for nondestructive assessment of fire-damaged concrete strength. Fire Saf. J. 2011, 46, 178–185. [Google Scholar] [CrossRef]
- Thomas, C.; Rico, J.; Tamayo, P.; Ballester, F.; Setién, J.; Polanco, J.A. Effect of elevated temperature on the mechanical properties and microstructure of heavy-weight magnetite concrete with steel fibers. Cem. Concr. Compos. 2019, 103, 80–88. [Google Scholar] [CrossRef]
- Ma, Q.M.; Guo, R.X.; Zhao, Z.M.; Lin, Z.W.; He, K.C. Mechanical properties of concrete at high temperature-A review. Constr. Build. Mater. 2015, 93, 371–383. [Google Scholar] [CrossRef]
- Zhao, X.; Xu, S.L.; Li, Q.H. Fractal characteristics of fire-damaged ultra high toughtness cementitious composite after impact loading. China Civ. Eng. J. 2019, 52, 44–55. [Google Scholar]
- Bideci, Ö.S. The effect of high temperature on lightweight concretes produced with colemanite coated pumice aggregates. Constr. Build. Mater. 2016, 113, 631–640. [Google Scholar] [CrossRef]
- Xue, W.P.; Liu, X.Y.; Yao, Z.S.; Cheng, H.; Li, H.P. Effect of different damage sources on pore structure of basalt fiber reinforced concrete. Acta Mater. Compos. Sin. 2020, 37, 1–8. [Google Scholar] [CrossRef]
- Wu, Z.W.; Lian, H.Z. High Performance Concrete; China Railway Press: Beijing, China, 1999. [Google Scholar]
- Zhao, D.F.; Gao, H.J.; Jia, P.H.; Wen, H.; Yang, J.H. Performance degradation of high strength concrete (HSC) after different-high-temperature history. J. Vib. Shock 2018, 37, 240–248. [Google Scholar]
- Shaikh, F.U.A.; Taweel, M. Compressive strength and failure behaviour of fibre reinforced concrete at elevated temperatures. Adv. Concr. Constr. 2015, 3, 283–293. [Google Scholar] [CrossRef]
- Heap, M.J.; Lavallée, Y.; Laumann, A.; Hess, K.U.; Meredith, P.G.; Dingwell, D.B.; Huismann, S.; Weise, F. The influence of thermal-stressing (up to 1000 °C) on the physical, mechanical, and chemical properties of siliceous-aggregate, high-strength concrete. Constr. Build. Mater. 2013, 42, 248–265. [Google Scholar] [CrossRef]
- Zheng, W.Z.; Li, H.Y.; Wang, Y. Compressive behaviour of hybrid fiber-reinforced reactive powder concrete after high temperature. Mater. Des. 2012, 41, 403–409. [Google Scholar] [CrossRef]
- Kong, L.J.; Du, Y.B. Effect of lightweight aggregate and the interfacial transition zone on the durability of concrete based on grey correlation. Indian J. Eng. Mater. Sci. 2015, 22, 111–119. [Google Scholar]
- Hu, S.G.; Wang, F.Z.; Ding, Q.J. Interface structure between lightweight aggregate and cement paste. J. Chin. Ceram. Soc. 2005, 33, 713–717. [Google Scholar]
- Zhuang, Y.-Z.; Chen, C.-Y.; Ji, T. Effect of shale ceramsite type on the tensile creep of lightweight aggregate concrete. Constr. Build. Mater. 2013, 46, 13–18. [Google Scholar] [CrossRef]
- Ji, T.; Zheng, D.-D.; Chen, X.-F.; Lin, X.-J.; Wu, H.-C. Effect of prewetting degree of ceramsite on the early-age autogenous shrinkage of lightweight aggregate concrete. Constr. Build. Mater. 2015, 98, 102–111. [Google Scholar] [CrossRef]
- Specification for Mix Proportion Design of Ordinary Concrete JGJ55-2011; China Architecture and Building Press: Beijing, China, 2011.
- Lightweight Aggregate Concrete Technical Regulations JGJ51-2002; China Architecture and Building Press: Beijing, China, 2002.
- Standard for Test Methods of Concrete Physical and Mechanical Properties GB/T 50081-2019; China Architecture and Building Press: Beijing, China, 2019.
- Gong, J.Q.; Deng, G.Q.; Shan, B. Ultrasonic test and microscopic analysis of reactive powder concrete exposed to high temperature. J. Hunan Univ. Nat. Sci. 2018, 45, 68–76. [Google Scholar]
- Ma, Q.M.; Guo, R.X.; He, K.C.; Du, H.Y.; Lin, Z.W.; Yan, F.; Zhao, Z.M.; Bai, Y. Performance of modified lightweight aggregate concrete after exposure to high temperatures. Mag. Concr. Res. 2018, 70, 1243–1255. [Google Scholar] [CrossRef]
- Peng, G.F.; Jiang, Y.C.; Li, B.H.; Zhang, J.; Shi, Y.X. Effect of high temperature on normal-strength high-performance concrete. Mater. Res. Innov. 2014, 18, S2-290–S2-293. [Google Scholar] [CrossRef]
- Varona, F.B.; Baeza, F.J.; Bru, D.; Ivorra, S. Influence of high temperature on the mechanical properties of hybrid fibre reinforced normal and high strength concrete. Constr. Build. Mater. 2018, 159, 73–82. [Google Scholar] [CrossRef]
- Zeng, X.P.; Wu, B.; Jiang, S.; Deng, X.R. The analysis for the calcium carbonate at high temperatures. Guangdong Chem. Ind. 2010, 37, 70–72. [Google Scholar]
- Long, G.C.; Yang, J.G.; Xie, Y.J. The mechanical characteristics of steam-cured high strength concrete incorporating with lightweight aggregate. Constr. Build. Mater. 2017, 136, 456–464. [Google Scholar] [CrossRef]
- Peng, G.F.; Yang, J.; Shi, Y.X. Experimental study on residula mechanical properties of ultra-high performance concrete exposed to high temperature. China Civ. Eng. J. 2017, 50, 73–79. [Google Scholar]
- Xing, Z.; Beaucour, A.-L.; Hebert, R.; Noumowe, A.; Ledsert, B. Influence of nature of aggregates on the behaviour of concrete subjected to elevated temperature. Cem. Concr. Res. 2011, 41, 392–402. [Google Scholar] [CrossRef]
- Gong, J.Q.; Zhang, W.J. The effects of pozzolanic powder on foam concrete pore structure and frost resistance. Constr. Build. Mater. 2019, 208, 135–143. [Google Scholar] [CrossRef]
- de Oliveira Dias, A.R.; Amancio, F.A.; de Carvalho Rafael, M.F.; Bezerra Cabral, A.E. Study of propagation of ultrasonic pulses in concrete exposed at high temperatures. Proced. Struct. Integr. 2018, 11, 84–90. [Google Scholar] [CrossRef]
- Huang, Z.Y.; Padmaja, K.; Li, S.; Liew, J.Y.R. Mechanical properties and microstructure of ultra-lightweight cement composites with fly ash cenospheres after exposure to high temperatures. Constr. Build. Mater. 2018, 164, 760–774. [Google Scholar] [CrossRef]
- Peng, G.F.; Huang, Z.S. Change in microstructure of hardened cement paste subjected to elevated temperatures. Constr. Build. Mater. 2008, 22, 593–599. [Google Scholar] [CrossRef]












| Performance | Particle Size (mm) | Bulk Density (kg/m3) | Apparent Density (kg/m3) | Cylinder Compressive Strength (MPa) | 1 h Water Absorption (by mass) (%) | Shape | Silt Content (%) |
|---|---|---|---|---|---|---|---|
| Shale ceramsite | 5–15 | 415 | 769 | ≥2.5 | 9.5–12.0 | Ordinary type | ≤1.6 |
| Number | Binding Material | Coarse Aggregate | Sand | Water | Water Reducer | Water Cement Ratio | ||
|---|---|---|---|---|---|---|---|---|
| Cement | Fly Ash | Gravel | Shale Ceramsite | |||||
| NC | 421 | 47 | 856.00 | - | 856.00 | 177.84 | 4.68 | 1:0.38 |
| LC-25 | 421 | 47 | 835.06 | 77.92 | 702.54 | 168.48 | 4.68 | 1:0.36 |
| LC-50 | 421 | 47 | 565.03 | 158.00 | 712.28 | 159.12 | 4.68 | 1:0.34 |
| LC-75 | 421 | 47 | 286.37 | 240.24 | 722.01 | 149.76 | 4.68 | 1:0.32 |
| LC-100 | 421 | 47 | - | 324.64 | 731.74 | 140.40 | 4.68 | 1:0.30 |
| Number | Workability | Compressive Strength (MPa) | 28-day Apparent Density (kg/m3) | 28-day Moisture Content (%) | 28-day Thermal Conductivity (W/(m·K)) | ||
|---|---|---|---|---|---|---|---|
| Slump (mm) | Slump Flow (mm) | 3-day | 28-day | ||||
| NC | 175 | 350 | 14.83 | 38.65 | 2272.00 | 1.10 | 1.65 |
| LC-25 | 125 | 300 | 14.29 | 30.67 | 2167.30 | 2.64 | 1.54 |
| LC-50 | 95 | 260 | 14.85 | 24.51 | 2056.48 | 3.01 | 1.32 |
| LC-75 | 75 | 240 | 15.06 | 24.33 | 1913.00 | 4.30 | 1.15 |
| LC-100 | 50 | 200 | 11.03 | 14.15 | 1679.33 | 5.29 | 0.95 |
| Number | Relative Ultrasonic Pulse Velocity vR | Damage Degree D | ||
|---|---|---|---|---|
| Fitting Formula | R2 | Fitting Formula | R2 | |
| NC | 0.98 | D = 1.64T0.13 − 2.97 | 0.97 | |
| LC-25 | 0.96 | D = 0.39T0.26 − 1.38 | 0.94 | |
| LC-50 | 0.98 | D = 0.05T0.51 − 0.56 | 0.97 | |
| LC-75 | 0.98 | D = 0.34T0.28 − 1.35 | 0.97 | |
| LC-100 | 0.95 | D = 0.07T0.45 − 0.64 | 0.93 | |
| Number | Relative Ultrasonic Pulse Velocity vR | Damage Degree D | ||
|---|---|---|---|---|
| Fitting formula | R2 | Fitting Formula | R2 | |
| NC | Ct = −79.49lnvR − 46.53 | 0.93 | Ct = 0.24e6.32D − 24.36 | 0.92 |
| LC-25 | Ct = −79.66lnvR − 41.65 | 0.98 | Ct = 0.35e5.99D − 24.63 | 0.97 |
| LC-50 | Ct = −73.20lnvR − 30.24 | 0.94 | Ct = 0.68e5.27D − 18.34 | 0.96 |
| LC-75 | Ct = −84.01lnvR − 21.81 | 0.96 | Ct = 6.51e3.06D − 25.57 | 0.97 |
| LC-100 | Ct = −88.15lnvR − 24.15 | 0.97 | Ct = 0.75e5.35D − 9.00 | 0.99 |
© 2020 by the authors. Licensee MDPI, Basel, Switzerland. This article is an open access article distributed under the terms and conditions of the Creative Commons Attribution (CC BY) license (http://creativecommons.org/licenses/by/4.0/).
Share and Cite
Yao, W.; Pang, J.; Liu, Y. Performance Degradation and Microscopic Analysis of Lightweight Aggregate Concrete after Exposure to High Temperature. Materials 2020, 13, 1566. https://doi.org/10.3390/ma13071566
Yao W, Pang J, Liu Y. Performance Degradation and Microscopic Analysis of Lightweight Aggregate Concrete after Exposure to High Temperature. Materials. 2020; 13(7):1566. https://doi.org/10.3390/ma13071566
Chicago/Turabian StyleYao, Weijing, Jianyong Pang, and Yushan Liu. 2020. "Performance Degradation and Microscopic Analysis of Lightweight Aggregate Concrete after Exposure to High Temperature" Materials 13, no. 7: 1566. https://doi.org/10.3390/ma13071566
APA StyleYao, W., Pang, J., & Liu, Y. (2020). Performance Degradation and Microscopic Analysis of Lightweight Aggregate Concrete after Exposure to High Temperature. Materials, 13(7), 1566. https://doi.org/10.3390/ma13071566

