Corrosion Resistance of Heat-Treated Ni-W Alloy Coatings
Abstract
1. Introduction
2. Materials and Methods
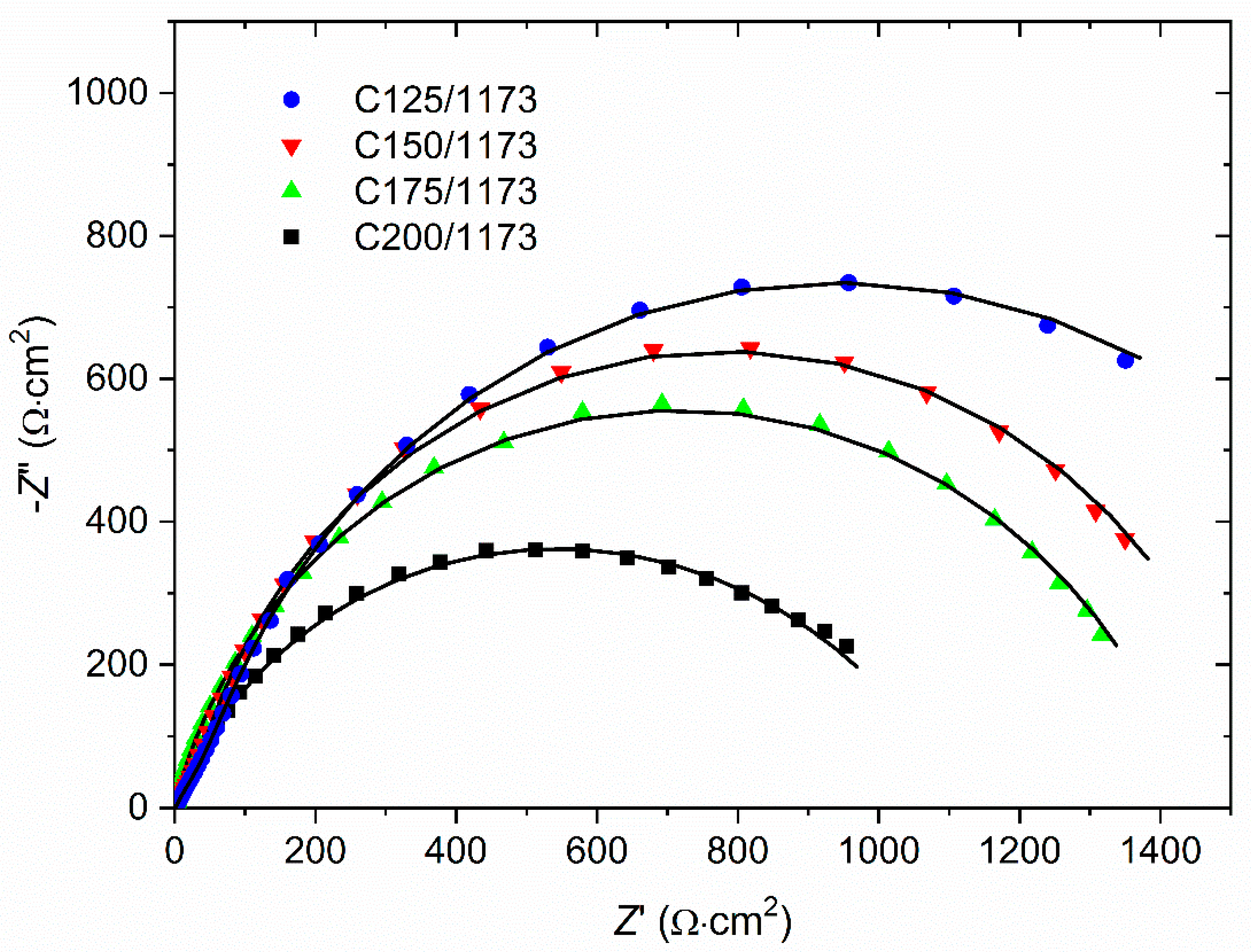
3. Results and Discussion
4. Conclusions
Author Contributions
Funding
Conflicts of Interest
References
- Wang, Y.; Zhou, Q.; Li, K.; Zhong, Q.; Bui, Q.B. Preparation of Ni-W-SiO2 nanocomposite coating and evaluation of its hardness and corrosion resistance. Ceram. Int. 2015, 41, 79–84. [Google Scholar] [CrossRef]
- Popczyk, M. The influence of molybdenum and silicon on activity of Ni+W composite coatings in the hydrogen evolution reaction. Surf. Interface Anal. 2008, 40, 246–249. [Google Scholar] [CrossRef]
- Allahyarzadeh, M.H.; Aliofkhazraei, M.; Sabour Rouhaghdam, A.R.; Torabinejad, V. Electrodeposition of Ni-W-Al2O3 nanocomposite coating with functionally graded microstructure. J. Alloys Compd. 2016, 666, 217–226. [Google Scholar] [CrossRef]
- Popczyk, M.; Zacharz, M.; Osak, P.; Dercz, G.; Łosiewicz, B. Structure and corrosion resistance of nickel-molybdenum alloy coatings. Acta Phys. Pol. A 2016, 130, 1072–1074. [Google Scholar] [CrossRef]
- Beltowska-Lehman, E.; Indyka, P.; Bigos, A.; Szczerba, M.; Kot, M. Ni-W/ZrO2 nanocomposites obtained by ultrasonic DC electrodeposition. Mater. Des. 2015, 80, 1–11. [Google Scholar] [CrossRef]
- Hou, K.-H.; Sheu, H.-H.; Ger, M.-D. Preparation and wear resistance of electrodeposited Ni-W/diamond composite coatings. Appl. Surf. Sci. 2014, 308, 372–379. [Google Scholar] [CrossRef]
- Hosseini, M.; Teymorinia, H.; Farzaneh, A.; Khameneh-asl, S. Evaluation of corrosion, mechanical and structural properties of new Ni-W-PCTFE nanocomposite coating. Surf. Coat. Technol. 2016, 298, 114–120. [Google Scholar] [CrossRef]
- Popczyk, M. The hydrogen evolution reaction on electrolytic nickel - based coatings containing metallic molybdenum. Mater. Sci. Forum 2010, 636–637, 1036–1041. [Google Scholar] [CrossRef]
- Beltowska-Lehman, E.; Indyka, P.; Bigos, A.; Kot, M.; Tarkowski, L. Electrodeposition of nanocrystalline Ni-W coatings strengthened by ultrafine alumina particles. Surf. Coat. Technol. 2012, 211, 62–66. [Google Scholar] [CrossRef]
- Popczyk, M.; Kubisztal, J.; Budniok, A. Structure and electrochemical characterization of electrolytic Ni+Mo+Si composite coatings in an alkaline solution. Electrochim. Acta 2006, 51, 6140–6144. [Google Scholar] [CrossRef]
- Wykpis, K.; Popczyk, M.; Budniok, A. Electrolytic deposition and corrosion resistance of Zn-Ni coatings obtained from sulphate-chloride bath. Bull. Mater. Sci. 2011, 34, 997–1001. [Google Scholar] [CrossRef]
- Wykpis, K.; Popczyk, M.; Niedbała, J.; Budniok, A.; Łągiewka, E. Influence of the current density of deposition on the properties of Zn-Ni coatings. Mater. Sci. 2012, 47, 838–847. [Google Scholar] [CrossRef]
- Wykpis, K.; Popczyk, M.; Niedbała, J.; Budniok, A.; Łągiewka, E.; Bierska-Piech, B. Influence of thermal treatment on the corrosion resistance of electrolytic Zn-Ni coatings. Mater. Sci.-Poland 2012, 29, 177–183. [Google Scholar] [CrossRef]
- Hashemi, M.; Mirdamadi, S.; Rezaie, H. Effect of SiC nanoparticles on microstructure and wear behavior of Cu-Ni-W nanocrystalline coating. Electrochim. Acta 2014, 138, 224–231. [Google Scholar] [CrossRef]
- Popczyk, M.; Budniok, A.; Łągiewka, E. Structure and corrosion resistance of nickel coatings containing tungsten and silicon powders. Mater. Charact. 2007, 58, 371–375. [Google Scholar] [CrossRef]
- Wykpis, K.; Niedbała, J.; Popczyk, M.; Budniok, A.; Łągiewka, E. The electrodeposition and properties of Zn-Ni+Ni composite coatings. Russ. J. Electrochem. 2012, 48, 1123–1129. [Google Scholar] [CrossRef]
- Wykpis, K.; Popczyk, M.; Niedbała, J.; Bierska-Piech, B.; Budniok, A.; Łągiewka, E. Influence of thermal treatment on the corrosion resistance of electrolytic Zn-Ni+Ni composite coatings. Adv. Compos. Mater. 2015, 24, 431–438. [Google Scholar] [CrossRef]
- Popczyk, M.; Serek, A.; Budniok, A. Production and properties of composite layers based on an Ni-P amorphous matrix. Nanotechnology 2003, 14, 341–346. [Google Scholar] [CrossRef]
- Zemanová, M.; Druga, J.; Szúnyogh, J.; Dobročka, E. Ni-W alloys for hydrogen evolution. Mater. Sci. Forum 2016, 844, 167–171. [Google Scholar] [CrossRef]
- Yang, F.-Z.; Guo, Y.F.; Huang, L.; Xu, S.K.; Zhou, S.M. Electrodeposition, structure and corrosion resistance of nanocrystalline Ni-W alloy. Chinese J. Chem. 2004, 22, 228–231. [Google Scholar]
- Obradović, M.; Stevanović, J.; Despić, A.; Stevanović, R.; Stoch, J. Characterization and corrosion properties of electrodeposited Ni-W alloys. J. Serb. Chem. Soc. 2001, 66, 899–912. [Google Scholar] [CrossRef]
- Allahyarzadeh, M.H.; Aliofkhazraei, M.; Rezvanian, A.R.; Torabinejad, V.; Sabour Rouhaghdam, A.R. Ni-W electrodeposited coatings: Characterization, properties and applications. Surf. Coat. Tech. 2016, 307, 978–1010. [Google Scholar] [CrossRef]
- Quiroga Argañaraz, M.P.; Ribotta, S.B.; Folquer, M.E.; Gassa, L.M.; Benítez, G.; Vela, M.E.; Salvarezza, R.C. Ni-W coatings electrodeposited on carbon steel: Chemical composition, mechanical properties and corrosion resistance. Electrochim. Acta 2011, 56, 5898–5903. [Google Scholar] [CrossRef]
- Alimadadi, H.; Ahmadi, M.; Aliofkhazraei, M.; Younesi, S.R. Corrosion properties of electrodeposited nanocrystalline and amorphous patterned Ni-W alloy. Mater. Des. 2009, 30, 1356–1361. [Google Scholar] [CrossRef]
- Mroz, K.P.; Bigos, A.; Kucharski, S.; Dolinski, K.; Bełtowska-Lehman, E. Ni-W electrodeposited coatings on low carbon steel substrate: Fatigue observations. J. Mater. Eng. Perform. 2014, 23, 3459–3466. [Google Scholar] [CrossRef]
- Indyka, P.; Bełtowska-Lehman, E.; Tarkowski, L.; Bigos, A.; García-Lecina, E. Structure characterization of nanocrystalline Ni-W alloys obtained by electrodeposition. J. Alloy Compd. 2014, 590, 75–79. [Google Scholar] [CrossRef]
- Kirihara, S.; Umeda, Y.; Tashiro, K.; Honma, H.; Takai, O. Development of Ni-W alloy plating as a substitution of hard chromium plating. Trans. Mater. Res. Soc. Jpn. 2016, 41, 35–39. [Google Scholar] [CrossRef]
- Jones, A.R.; Hamann, J.; Lund, A.C.; Schuh, C.A. Nanocrystalline Ni-W alloys coating for engineering applications. Plat. Surf. Finish. 2010, 97, 52–60. [Google Scholar]
- Wasekar, N.P.; Sundararajan, G. Sliding wear behavior of electrodeposited Ni-W alloy and hard chrome coatings. Wear 2015, 342–343, 340–348. [Google Scholar] [CrossRef]
- Lee, H.B. Synergy between corrosion and wear of electrodeposited Ni-W coating. Tribol. Lett. 2013, 50, 407–419. [Google Scholar] [CrossRef]
- Chianpairot, A.; Lothongkum, G.; Schuh, C.A.; Boonyongmaneerat, Y. Corrosion of nanocrystalline Ni-W alloys in alkaline and acidic 3.5 wt.% NaCl solutions. Corros. Sci. 2011, 53, 1066–1071. [Google Scholar] [CrossRef]
- Chen, H.; Ren, X.R.; Zhang, X.H.; Li, J.H. Wear and corrosion properties of crystalline Ni-W alloy coatings prepared by electrodeposition. Mater. Sci. Forum 2016, 849, 671–676. [Google Scholar] [CrossRef]
- de Lima-Neto, P.; Correia, A.N.; Santana, R.A.C.; Colares, R.P.; Barros, E.B.; Casciano, P.N.S.; Vaz, G.L. Morphological, structural, microhardness and electrochemical characterizations of electrodeposited Cr and Ni-W coatings. Electrochim. Acta 2010, 55, 2078–2086. [Google Scholar] [CrossRef]
- Kaninski, M.P.M.; Saponjic, D.P.; Perovic, I.M.; Maksic, A.D.; Nikolic, V.M. Electrochemical characterization of the Ni-W catalyst formed in situ during alkaline electrolytic hydrogen production—Part II. Appl. Catal. A Gen. 2011, 405, 29–35. [Google Scholar] [CrossRef]
- Tasić, G.S.; Lačnjevac, U.; Tasić, M.M.; Kaninski, M.M.; Nikolić, V.M.; Žugić, D.L.; Jović, V.D. Influence of electrodeposition parameters of Ni-W on Ni cathode for alkaline water electrolyser. Int. J. Hydrog. Energy 2013, 38, 4291–4297. [Google Scholar]
- Chen, S.H.; Lai, J.H.; Wu, M.Y.; Lee, H.B.; Lee, C.Y. A study on the corrosion and wear behavior of electrodeposited Ni-W coatings. J. Chin. Corros. Eng. 2012, 26, 1–8. [Google Scholar]
- Sriraman, K.; Raman, S.G.S.; Seshadri, S. Corrosion behaviour of electrodeposited nanocrystalline Ni-W and Ni-Fe-W alloys. Mater. Sci. Eng. A 2007, 460, 39–45. [Google Scholar] [CrossRef]
- Sunwang, N.; Wangyao, P.; Boonyongmaneerat, Y. The effects of heat treatments on hardness and wear resistance in Ni- W alloy coatings. Surf. Coat. Technol. 2011, 206, 1096–1101. [Google Scholar] [CrossRef]
- Ko, Y.-K.; Chang, G.-H.; Lee, J.-H. Nickel tungsten alloy electroplating for the high wear resistant materials applications. Solid State Phenom. 2007, 124–126, 1589–1592. [Google Scholar]
- Popczyk, M.; Łosiewicz, B. Influence of surface development of Ni/W coatings on the kinetics of the electrolytic hydrogen evolution. Solid State Phenom. 2015, 228, 293–298. [Google Scholar] [CrossRef]
- Popczyk, M.; Łosiewicz, B.; Łągiewka, E.; Budniok, A. Influence of thermal treatment on the electrochemical properties of Ni+Mo composite coatings in an alkaline solution. Solid State Phenom. 2015, 228, 231–236. [Google Scholar] [CrossRef]
- Karimi-Shervedani, R.; Lasia, A. Studies of the hydrogen evolution reaction on Ni-P electrodes. J. Electrochem. Soc. 1997, 144, 511–519. [Google Scholar] [CrossRef]
- Karimi-Shervedani, R.; Lasia, A. Evaluation of the surface roughness of microporous Ni-Zn-P electrodes by in situ methods. J. Appl. Electrochem. 1999, 29, 979–986. [Google Scholar] [CrossRef]
- Hou, K.-H.; Chang, Y.-F.; Chang, S.-M.; Chang, C.-H. The heat treatment effect on the structure and mechanical properties of electrodeposited nano grain size Ni-W alloy coatings. Thin Solid Films 2010, 518, 7535–7540. [Google Scholar] [CrossRef]
- Lasia, A. Nature of the two semi-circles observed on the complex plane plots on porous electrodes in the presence of a concentration gradient. J. Electroanal. Chem. 2001, 500, 30–35. [Google Scholar] [CrossRef]
- Kubisztal, J.; Kubisztal, M.; Haneczok, G. Quantitative characterization of material surface–application to Ni + Mo electrolytic composite coatings. Mater. Charact. 2016, 122, 45–53. [Google Scholar] [CrossRef]
- Kubisztal, J.; Kubisztal, M.; Stach, S.; Haneczok, G. Corrosion resistance of anodic coatings studied by scanning microscopy and electrochemical methods. Surf. Coat. Tech. 2018, 350, 419–427. [Google Scholar] [CrossRef]
- Bak, A.; Losiewicz, B.; Kozik, V.; Kubisztal, J.; Dybal, P.; Swietlicka, A.; Barbusinski, K.; Kus, S.; Howaniec, N.; Jampilek, J. Real-time corrosion monitoring of AISI 1010 carbon steel with metal surface mapping in sulfolane. Materials 2019, 12, 3276. [Google Scholar] [CrossRef]








| Type of As-Deposited Coatings | At.% Ni | At.% W |
|---|---|---|
| Ni-W (jdep = 125 mA∙cm−2) | 75.4 ± 0.4% | 24.6 ± 0.4% |
| Ni-W (jdep = 150 mA∙cm−2) | 77.3 ± 0.2% | 22.7 ± 0.2% |
| Ni-W (jdep = 175 mA∙cm−2) | 78.5 ± 0.7% | 21.5 ± 0.7% |
| Ni-W (jdep = 200 mA∙cm−2) | 80.2 ± 0.1% | 19.8 ± 0.1% |
| Ni-W Coating | Ecorr (mV) | jcorr (μA∙cm−2) |
|---|---|---|
| C125/1173 | −508 | 5.9 |
| C150/1173 | −538 | 9.2 |
| C175/1173 | −539 | 10.9 |
| C200/1173 | −550 | 11.7 |
| Ni-W Coating | Rp (kΩ∙cm2) | T | ϕ | Rs (Ω∙cm2) | Rf |
|---|---|---|---|---|---|
| C125/1173 | 1.845 | 0.000146 | 0.87 | 1.19 | 2.00 |
| C150/1173 | 1.535 | 0.000274 | 0.89 | 1.79 | 5.33 |
| C175/1173 | 1.451 | 0.000328 | 0.89 | 1.51 | 6.39 |
| C200/1173 | 1.122 | 0.000488 | 0.86 | 1.27 | 7.33 |
| Ni-W Coating | C125/1173 | C150/1173 | C175/1173 | C200/1173 |
|---|---|---|---|---|
| CPDav (mVKP) | −1058 | −1104 | −1169 | −1194 |
| CPDq (mVKP) | 16 | 22 | 17 | 55 |
© 2020 by the authors. Licensee MDPI, Basel, Switzerland. This article is an open access article distributed under the terms and conditions of the Creative Commons Attribution (CC BY) license (http://creativecommons.org/licenses/by/4.0/).
Share and Cite
Popczyk, M.; Kubisztal, J.; Swinarew, A.S.; Waśkiewicz, Z.; Stanula, A.; Knechtle, B. Corrosion Resistance of Heat-Treated Ni-W Alloy Coatings. Materials 2020, 13, 1172. https://doi.org/10.3390/ma13051172
Popczyk M, Kubisztal J, Swinarew AS, Waśkiewicz Z, Stanula A, Knechtle B. Corrosion Resistance of Heat-Treated Ni-W Alloy Coatings. Materials. 2020; 13(5):1172. https://doi.org/10.3390/ma13051172
Chicago/Turabian StylePopczyk, Magdalena, Julian Kubisztal, Andrzej Szymon Swinarew, Zbigniew Waśkiewicz, Arkadiusz Stanula, and Beat Knechtle. 2020. "Corrosion Resistance of Heat-Treated Ni-W Alloy Coatings" Materials 13, no. 5: 1172. https://doi.org/10.3390/ma13051172
APA StylePopczyk, M., Kubisztal, J., Swinarew, A. S., Waśkiewicz, Z., Stanula, A., & Knechtle, B. (2020). Corrosion Resistance of Heat-Treated Ni-W Alloy Coatings. Materials, 13(5), 1172. https://doi.org/10.3390/ma13051172

