Properties of Concrete Using Treated Low-Class Recycled Coarse Aggregate and Blast Furnace Slag Sand
Abstract
1. Introduction
2. Materials and Methods
2.1. Materials
2.2. Concrete Mix Design
2.3. Tests
3. Results and Discussion
3.1. Bleeding
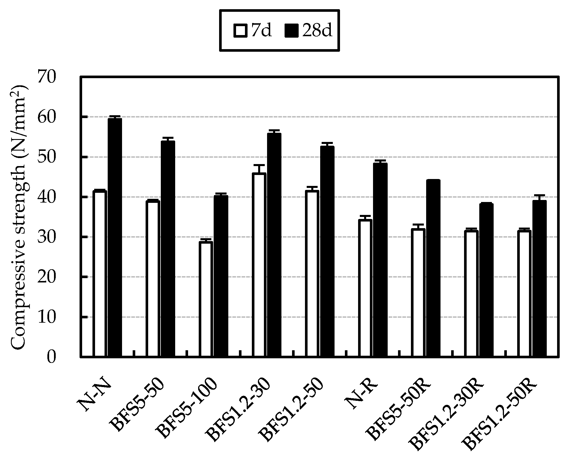
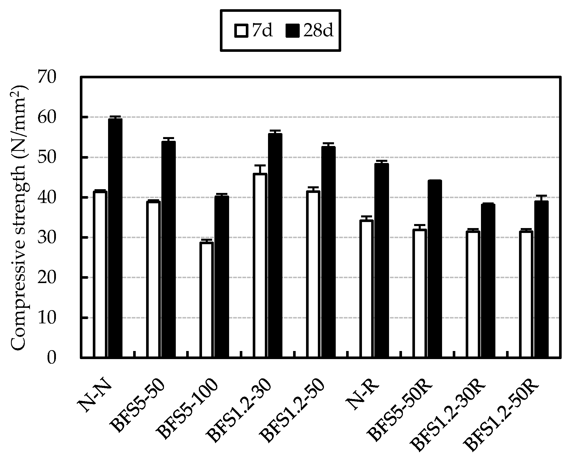
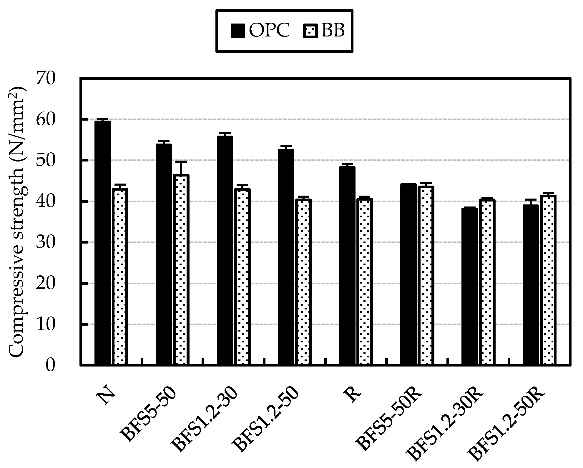
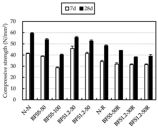
3.2. Compressive Strength
3.3. Rapid Resistance to Freezing and Thawing
4. Conclusions
- Bleeding capacities were observed to be 0.1 cm3/cm2 or less when the mix ratio of blast furnace slag sand was 50% or less. It is thought that bleeding water was retained by irregularities and fine particles coated at the surface of RG.
- Compressive strength due to usage of RG and BFS was lower than that of the normal aggregate concrete. At 28 days the strength for the BFS and RG mixes with BB-cement were similar to mixes with OPC.
- Resistance to freezing and thawing was improved by mixing the blast furnace slag sand, and the relative dynamic modulus of elasticity of concrete using RG and BFS with OPC after the freezing and thawing test was approximately 80%.
Author Contributions
Funding
Acknowledgments
Conflicts of Interest
References
- Kikuchi, M.; Dousyou, Y.; Yasunaga, A.; Ehara, K.; Masuda, A. Influence of quality of recycled aggregate on quality of recycled aggregate concrete. J. Struct. Constr. Eng. AIJ 1995, 474, 11–20. (In Japanese) [Google Scholar] [CrossRef][Green Version]
- Akiyoshi, Y.; Sato, Y.; Otani, T.; Ueda, K. Fundermental study on practical use of concrete using low quality recycled coarse aggregate. J. Cem. Sci. Concr. Technol. 2010, 64, 522–529. (In Japanese) [Google Scholar] [CrossRef][Green Version]
- Dousyou, Y. Main performance of recycled aggregate concrete using low quality recycled aggregate. J. JCI 2015, 37, 1393–1398. (In Japanese) [Google Scholar]
- Dousyou, Y. Improvement in quality of recycled aggregate concrete using recycled coarse aggregate Class L. J. JCI 2017, 39, 1525–1530. (In Japanese) [Google Scholar]
- Dousyou, Y.; Murakami, K.; Anh, L.D.; Tao, Y. Effect of mineral admixtures on properties of recycled aggregate concrete using recycled fine aggregate class L. J. JCI 2018, 40, 1383–1388. (In Japanese) [Google Scholar]
- Available online: http://www.jsce.or.jp/committee/concrete/e/newsletter/newsletter57/index_files/data/262.pdf (accessed on 12 February 2012).
- Binici, H.; Durgun, M.Y.; Rizaoglu, T.; Kolucolak, M. Investigation of durability properties of concrete pipes incorporating blast furnace slag and ground basaltic pumice as fine aggregates. Sci. Iran. 2012, 19, 366–372. [Google Scholar] [CrossRef]
- Topçu, I.B.; Bilir, T. Effect of Non-Ground-Granulated Blast-Furnace Slag as Fine Aggregate on Shrinkage Cracking of Mortars. ACI Mater. 2010, 107, 545–553. [Google Scholar]
- Escalante-Garcia, J.I.; Magallanes-Rivera, R.X.; Gorokhovsky, A. Waste gypsum–blast furnace slag cement in mortars with granulated slag and silica sand as aggregates. Constr. Build. Mater. 2009, 23, 2851–2855. [Google Scholar] [CrossRef]
- Gaurav, S.; Souvik, D.; Abdulaziz, A.A.; Showmen, S.; Somnath, K. Study of Granulated Blast Furnace Slag as Fine Aggregates in Concrete for Sustainable Infrastructure. Procedia Soc. Behav. Sci. 2015, 195, 2272–2279. [Google Scholar]
- Nataraja, M.C.; Kumar, P.G.D.; Manu, A.S.; Sanjay, M.C. Use of granulated blast furnace slag as fine aggregate in cement mortar. Int. J. Struct. Civil Engg. Res. 2013, 2, 59–68. [Google Scholar]
- Ulubeyli, G.C.; Artir, R. Sustainability for Blast Furnace Slag: Use of Some Construction Wastes. Procedia Soc. Behav. Sci. 2015, 195, 2191–2198. [Google Scholar] [CrossRef]
- Srinivasarao, G.; Asadi, S.S.; Kameswararao, M. Performance of Concrete Containing Granulated Blast Furnace Slag as a Fine Aggregate. Indian J. Sci. Technol. 2016, 9. [Google Scholar] [CrossRef]
- Yuksel, I.; Ozkan, O.; Bilir, T. Use of Granulated Blast-Furnace Slag in Concrete as Fine Aggregate. ACI Mater. 2006, 103, 203–208. [Google Scholar]
- Mahmoud, N.; Hossein, S.; Farhad, A. The effect of fine and coarse recycled aggregates on fresh and mechanical properties of self-compacting concrete. Materials 2019, 12, 1120. [Google Scholar]
- Hossein, S.; Farhad, A. Durability properties evaluation of self-compacting concrete prepared with waste fine and coarse recycled concrete aggregates. Constr. Build. Mater. 2020, 236, 117540. [Google Scholar]
- Farhad, A.; Guowei, M.; Dominic, L.Y.W.; Gojko, M. Development of high-performance self-compacting concrete using waste recycled concrete aggregates and rubber granules. J. Clean. Prod. 2018, 182, 553–566. [Google Scholar]
- Hossein, S.; Farhad, A. Effect of specimen shape, silica fume, and curing age on durability properties of self-compacting concrete incorporating coarse recycled concrete aggregates. Constr. Build. Mater. 2019, 228, 117054. [Google Scholar]
- Hossein, S.; Farhad, A.; Javad, T. Effect of silica fume on durability of self-compacting concrete made with waste recycled concrete aggregates. Constr. Build. Mater. 2019, 227, 116598. [Google Scholar]
- Ichimiya, K.; Yamasaki, T.; Hashimoto, C. The Influence of Surface Void Characteristics on the durability and appearance of self-compacting concrete. RILEM Proc. 2007, 54, 805–810. [Google Scholar]
- Yukita, K.; Hashimoto, S.; Kazi, T.; Hashimoto, C. Quantification of surface deterioration of concrete with a simple freezing and thawing test using liquid nitrogen. J. JCI 2006, 28, 887–892. (In Japanese) [Google Scholar]
- Hashimoto, S.; Emoto, Y.; Soeda, M.; Hazehara, H.; Hashimoto, C. Development of simple freezing and thawing test using liquid nitrogen. Int. J. Mod. Phys. B 2011, 25, 4303–4306. [Google Scholar] [CrossRef]
- Yubagami, A.; Hashimoto, C.; Watanabe, T.; Ishimaru, K. Comparison of freezing and thawing test of JIS and using liquid nitrogen with recycled concrete. J. JCI 2011, 33, 941–946. (In Japanese) [Google Scholar]
- Yamazaki, O.; Senbu, T.H. Effect of bleeding on frost resistance of concrete applied blast-furnace slag fine aggregate. J. JCI 2012, 34, 893–903. (In Japanese) [Google Scholar]
- Fujii, T.; Sugita, A.; Ayano, T. Resistance to freezing and thawing of concrete with granulate blast furnace slag sand. In Proceedings of the fifth International conference on Construction Materials, Whistler, BC, Canada, 7–11 August 2016. [Google Scholar]
- Ayano, T.; Fujii, A. Resistance to freezing and thawing attack of concrete with blast furnace slag fine aggregate. J. JSCE 2014, 70, 417–427. (In Japanese) [Google Scholar]
- Saito, K.; Yoshida, R.; Yoshizawa, C.; Umehara, H. Effect of blast-furnace slag fine aggregate on improvement of properties of hardened concrete. J. JSCE 2016, 72, 355–367. (In Japanese) [Google Scholar]
- Yamauchi, M.; Nakamizo, S.; Fujii, T.; Ayano, T. Effect of particle size of blast furnace slag sand on scaling caused by freezing and thawing test of concrete using blast furnace slag sand. J. JCI 2016, 38, 963–968. (In Japanese) [Google Scholar]














| Type | Symbol | Physical Property |
|---|---|---|
| Cement | OPC | Ordinaly Portland cement (Density: 3.16 g/cm3, specific surface area: 3400 cm2/g) |
| BB | Blast furnace slag cement type B (Density: 3.04 g/cm3, specific surface area: 3810 cm2/g) | |
| Fine aggregate | S | Crushed sand (Density in saturated surface dry condition: 2.57 g/cm3, absorption: 1.77%) |
| BFS5 | Blast furnace slag sand made in Fukuyama (Density in saturated surface dry condition: 2.73 g/cm3, absorption: 0.30%) | |
| BFS1.2 | Blast furnace slag sand made in Kurashiki (Density in saturated surface dry condition: 2.73 g/cm3, absorption: 0.40%) | |
| Coarse aggregate | G | Crushed stone (Density in saturated surface dry condition: 2.57 g/cm3, absorption: 1.62%) |
| RG | Recycled coarse aggregate (Density in saturated surface dry condition: 2.43 g/cm3, absorption: 6.20%) | |
| Chemical admixture | SP | Polycarboxylate based superplasticizer |
| AEA | Alkly based air entraining agent |
| Cement | |||
|---|---|---|---|
| OPC | BB | ||
| ig. loss | (%) | 1.78 | 1.51 |
| Insol. | 0.17 | 0.21 | |
| SiO2 | 21.06 | 25.29 | |
| Al2O3 | 5.15 | 8.46 | |
| Fe2O3 | 2.80 | 1.92 | |
| CaO | 64.17 | 55.81 | |
| MgO | 1.46 | 3.02 | |
| SO3 | 2.02 | 2.04 | |
| Na2O | 0.28 | 0.25 | |
| K2O | 0.42 | 0.39 | |
| TiO2 | 0.26 | 0.43 | |
| P2O5 | 0.17 | 0.12 | |
| MnO | 0.08 | 0.17 | |
| Cl | 0.006 | 0.005 | |
| Blast Furnace Slag Sand | |||
|---|---|---|---|
| BFS5 | BFS1.2 | ||
| CaO | (%) | 41.8 | 43.9 |
| S | 0.80 | 0.65 | |
| SO3 | 0.02 | 0.03 | |
| FeO | 0.50 | 0.28 | |
| Symbol | Cement | W/C | Unit Content (kg/m3) | Slump | Air | ||||||
|---|---|---|---|---|---|---|---|---|---|---|---|
| Type | (%) | W | C | S | BFS5 | BFS1.2 | G | RG | (cm) | (%) | |
| N-N | OPC | 47 | 165 | 350 | 802 | - | - | 905 | - | 13.0 | 4.9 |
| BFS5-50 | 401 | 426 | 13.0 | 5.0 | |||||||
| BFS5-100 | - | 852 | 11.0 | 5.0 | |||||||
| BFS1.2-30 | 562 | - | 256 | 11.0 | 6.0 | ||||||
| BFS1.2-50 | 401 | 426 | 13.0 | 7.0 | |||||||
| N-R | 802 | - | - | 855 | 11.5 | 5.0 | |||||
| BFS5-50R | 401 | 426 | 11.0 | 7.0 | |||||||
| BFS5-100R | - | 852 | 2.5 | 5.0 | |||||||
| BFS1.2-30R | 562 | - | 256 | 13.0 | 6.0 | ||||||
| BFS1.2-50R | 401 | 426 | 13.0 | 5.5 | |||||||
| B-N | BB | 791 | - | 899 | - | 13.0 | 6.4 | ||||
| BFS5-30 | 554 | 259 | 12.0 | 6.3 | |||||||
| BFS5-50 | 396 | 431 | 12.0 | 6.6 | |||||||
| BFS1.2-30 | 554 | - | 254 | 13.0 | 5.7 | ||||||
| BFS1.2-50 | 396 | 424 | 13.0 | 6.1 | |||||||
| B-R | 791 | - | - | 868 | 11.0 | 5.2 | |||||
| BFS5-30R | 554 | 259 | 11.0 | 6.6 | |||||||
| BFS5-50R | 396 | 431 | 13.0 | 6.7 | |||||||
| BFS1.2-30R | 554 | - | 254 | 11.5 | 6.1 | ||||||
| BFS1.2-50R | 396 | 424 | 12.0 | 6.6 | |||||||
| Symbol | Void Spacing Factor (μm) | Average Air Diameter (μm) |
|---|---|---|
| B-N | 221.1 | 82.7 |
| BFS5-30 | 320.6 | 119.2 |
| B-R | 193.8 | 73.1 |
| BFS5-30R | 159.5 | 74.6 |
© 2020 by the authors. Licensee MDPI, Basel, Switzerland. This article is an open access article distributed under the terms and conditions of the Creative Commons Attribution (CC BY) license (http://creativecommons.org/licenses/by/4.0/).
Share and Cite
Miyazaki, Y.; Watanabe, T.; Yamada, Y.; Hashimoto, C. Properties of Concrete Using Treated Low-Class Recycled Coarse Aggregate and Blast Furnace Slag Sand. Materials 2020, 13, 843. https://doi.org/10.3390/ma13040843
Miyazaki Y, Watanabe T, Yamada Y, Hashimoto C. Properties of Concrete Using Treated Low-Class Recycled Coarse Aggregate and Blast Furnace Slag Sand. Materials. 2020; 13(4):843. https://doi.org/10.3390/ma13040843
Chicago/Turabian StyleMiyazaki, Yuji, Takeshi Watanabe, Yuji Yamada, and Chikanori Hashimoto. 2020. "Properties of Concrete Using Treated Low-Class Recycled Coarse Aggregate and Blast Furnace Slag Sand" Materials 13, no. 4: 843. https://doi.org/10.3390/ma13040843
APA StyleMiyazaki, Y., Watanabe, T., Yamada, Y., & Hashimoto, C. (2020). Properties of Concrete Using Treated Low-Class Recycled Coarse Aggregate and Blast Furnace Slag Sand. Materials, 13(4), 843. https://doi.org/10.3390/ma13040843
