Influence of Vanadium Microalloying on Microstructure and Property of Laser-Cladded Martensitic Stainless Steel Coating
Abstract
1. Introduction
2. Materials and Methods
3. Results and Discussion
3.1. Phase Analysis
3.2. Microstructure Characterization
3.3. Mechanical Properties
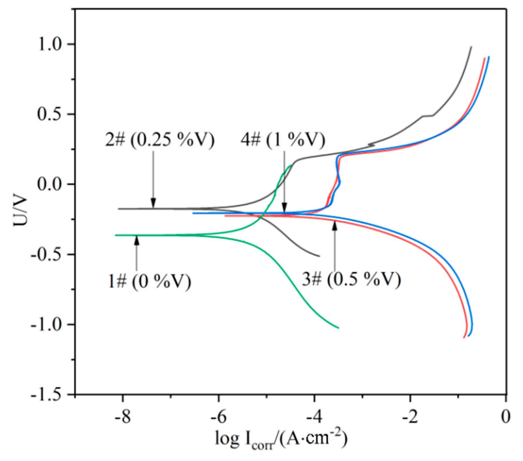
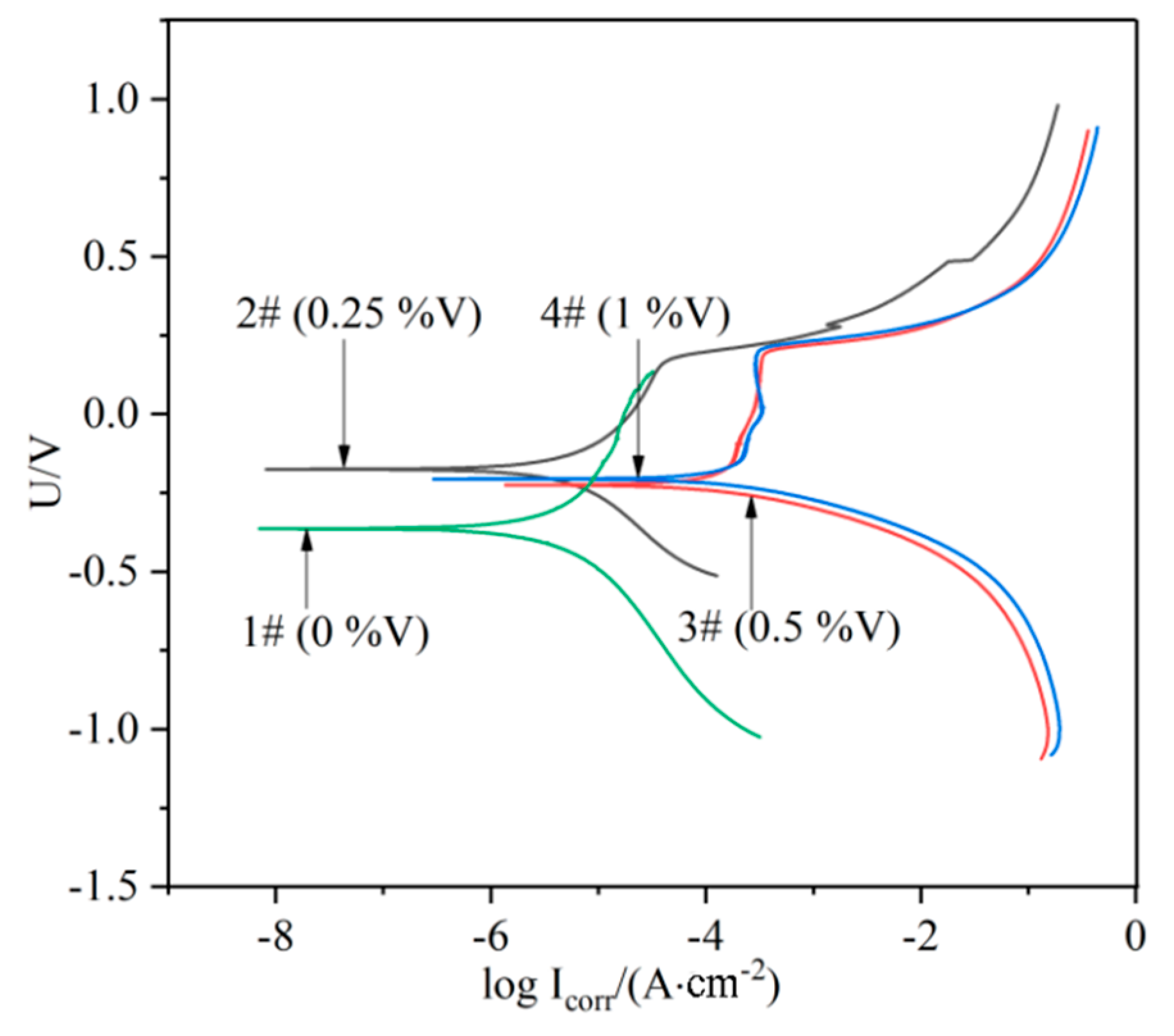
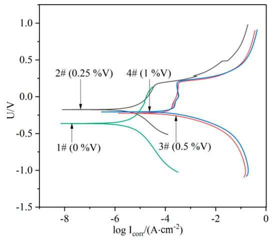
3.4. Electrochemical Properties
4. Conclusions
- (1)
- Unique phase constitution. The V-free MSS laser-cladded coating was mainly composed of M, F, and trace M23C6 and M2N, while M23C6 and VN are promoted in the V-bearing MSS laser-cladded coatings.
- (2)
- Excellent mechanical properties. The element V could improve the mechanical properties of the MSS laser-cladded coatings by the combination of grain refining strengthening and precipitation strengthening. The microhardness and tensile strength increased firstly and then decreased with the increasing V contents. The specimen 3# with 0.5 wt% V exhibits the excellent mechanical properties, with microhardness, tensile strength (Rm), yield strength (Re) and elongation of 500.1 HV, 1756 MPa, 1375 MPa, and 11.9% respectively, superior to the laser-cladded Fe-based MSS coatings reported in the literature.
- (3)
- Better understanding corrosion resistance mechanism. A small amount of V element (0.25%) can improve the corrosion resistance of MSS coating. However, the corrosion resistance of the V-bearing coatings decreases successively with the increasing V contents over 0.25%. This is due to excessive precipitation of VN and M23C6, which partially consumed the element Cr.
Author Contributions
Funding
Conflicts of Interest
References
- Wu, F.; Chen, T.; Wang, H.J.; Liu, D.F. Effect of Mo on Microstructures and Wear Properties of In Situ Synthesized Ti(C,N)/Ni-Based Composite Coatings by Laser Cladding. Materials 2017, 10, 1047. [Google Scholar] [CrossRef] [PubMed]
- Hou, X.C.; Du, D.; Chang, B.H.; Ma, N.S. Influence of Scanning Speed on Microstructure and Properties of Laser Cladded Fe-Based Amorphous Coatings. Materials 2019, 12, 1279. [Google Scholar] [CrossRef] [PubMed]
- Zhang, Z.; Farahmand, P.; Kovacevic, R. Laser cladding of 420 stainless steel with molybdenum on mild steel A36 by a high power direct diode laser. Mater. Des. 2016, 109, 686–699. [Google Scholar] [CrossRef]
- Sun, S.D.; Fabijanic, D.; Ghaderi, A.; Learyl, M.; Toton, J.; Sun, S.J.; Brandt, M.; Easton, M. Microstructure and hardness characterisation of laser coatings produced with a mixture of AISI 420 stainless steel and Fe-C-Cr-Nb-B-Mo steel alloy powders. Surf. Coat. Technol. 2016, 296, 76–87. [Google Scholar] [CrossRef]
- Wang, K.M.; Chang, B.H.; Chen, J.S.; Fu, H.G.; Lin, Y.H.; Lei, Y.P. Effect of molybdenum on the microstructures and properties of stainless steel coatings by laser cladding. Appl. Sci. 2017, 7, 1065. [Google Scholar] [CrossRef]
- Nath, S.D.; Clinning, E.; Gupta, G.; Poirier, V.W.; L’Espérance, G.; Gulsoy, O.; Kearns, M.; Atre, S.V. Effects of Nb and Mo on the Microstructure and Properties of 420 Stainless Steel Processed by Laser-Powder Bed Fusion. Addit. Manuf. 2019, 28, 682–691. [Google Scholar] [CrossRef]
- Zhang, Z.; Yu, T.; Kovacevic, R. Erosion and corrosion resistance of laser cladded AISI 420 stainless steel reinforced with VC. Appl. Surf. Sci. 2017, 410, 225–240. [Google Scholar] [CrossRef]
- Wen, P.; Cai, Z.P.; Feng, Z.H.; Wang, G. Microstructure and mechanical properties of hot wire laser clad layers for repairing precipitation hardening martensitic stainless steel. Opt. Laser Technol. 2015, 75, 207–213. [Google Scholar] [CrossRef]
- Medina, S.F.; Go´mez, M.; Rancel, L. Grain refinement by intragranular nucleation of ferrite in a high nitrogen content vanadium microalloyed steel. Scripta Mater. 2008, 58, 1110–1113. [Google Scholar] [CrossRef]
- Yang, G.W.; Sun, X.J.; Li, Z.D.; Li, X.X.; Yong, Q.L. Effects of vanadium on the microstructure and mechanical properties of a high strength low alloy martensite steel. Mater. Des. 2013, 50, 102–107. [Google Scholar] [CrossRef]
- Gwon, H.; Kim, J.K.; Shin, S.; Cho, L.; Cooman, B. The effect of vanadium micro-alloying on the microstructure and the tensile behavior of TWIP steel. Mater. Sci. Eng. A 2017, 696, 416–428. [Google Scholar] [CrossRef]
- Li, L.L.; Song, C.H.; Lu, J.; Hu, J.L.; Zhou, T. Precipitation Behavior and Microstructural Evolution of Vanadium-Added TRIP-Assisted Annealed Martensitic Steel. Steesl Res. 2016, 88, 1600234. [Google Scholar] [CrossRef]
- David, S.A.; Vitek, J.M.; Reed, R.W.; Hebble, T.L. Effect of Rapid Solidification on Stainless Steel Weld Metal Microstructures and Its Implications on the Schaeffler Diagram; Oak Ridge National Lab.: Oak Ridge, TN, USA, 1987. [Google Scholar]
- Dong, Y.; Zhou, K.Y.; Lu, Y.P.; Gao, X.X.; Wang, T.G.; Li, T.J. Effect of vanadium addition on the microstructure and properties of AlCoCrFeNi high entropy alloy. Mater. Des. 2014, 57, 67–72. [Google Scholar] [CrossRef]
- Wang, F.J.; Zhang, Y.; Chen, G.L. Atomic packing efficiency and phase transition in a high entropy alloy. J. Alloys Compd. 2009, 478, 321–324. [Google Scholar] [CrossRef]
- Gulyaev, A.P.; Anashenko, V.N.; Karchevskaya, N.I.; Larina, O.D.; Matrosov, Y.I. Solubility of vanadium and niobium nitrides in iron. Met Sci. Heat. Treat. 1974, 15, 643–645. [Google Scholar] [CrossRef]
- Hui, W.J.; Chen, S.L.; Zhang, Y.J.; Shao, C.W.; Dong, H. Effect of vanadium on the high-cycle fatigue fracture properties of medium-carbon microalloyed steel for fracture splitting connecting rod. Mater. Des. 2015, 5, 227–234. [Google Scholar] [CrossRef]
- Dong, J.; Zhou, X.S.; Liu, Y.C.; Li, C.; Liu, C.X.; Guo, Q.Y. Carbide precipitation in Nb-V-Ti microalloyed ultra-high strength steel during tempering. Mater. Sci. Eng. A 2017, 683, 215–226. [Google Scholar] [CrossRef]
- Shao, Y.; Liu, C.X.; Yan, Z.S.; Li, H.J.; Liu, Y.C. Formation mechanism and control methods of acicular ferrite in HSLA steels: A review. J. Mater. Sci. Technol. 2018, 34, 737–744. [Google Scholar] [CrossRef]
- Hua, G.M.; Li, C.S.; Cheng, X.N.; Zhao, X.L.; Feng, Q.; Li, Z.J.; Li, D.Y.; Szpunar, J.A. First-principles study on influence of molybdenum on acicular ferrite formation on TiC particles in microalloyed steels. Solid State Commun. 2018, 269, 102–107. [Google Scholar] [CrossRef]
- Li, B.C.; Zhu, H.M.; Qiu, C.J.; Gong, X.K. Laser cladding and in-situ nitriding of martensitic stainless steel coating with striking performance. Mater. Lett. 2020, 259, 126829. [Google Scholar] [CrossRef]
- Cong, Z.H.; Jia, N.; Sun, X.; Ren, Y.; Almer, J.; Wang, Y.D. Stress and Strain Partitioning of Ferrite and Martensite during Deformation. Metall. Mater. Trans. A 2009, 40, 1383–1387. [Google Scholar] [CrossRef]
- Lv, Z.; Xiao, S.; Xiao, Z.; Qian, L.; Wang, W.; Zhou, Y.; Fu, W. Structural properties and bonding characteristic of interfaces between VN and VC from density functional calculations. J. Alloys Compd. 2017, 718, 139–149. [Google Scholar] [CrossRef]
- Luo, F.; Yao, J.H.; Hu, X.X.; Chai, G.Z. Effect of Laser Power on the Cladding Temperature Field and the Heat Affected Zone. J. Iron. Steel Res. Int. 2011, 18, 73–78. [Google Scholar] [CrossRef]
- Zhu, H.M.; Li, Y.Z.; Li, B.C.; Zhang, Z.Y.; Qiu, C.J. Effects of low-temperature tempering on micro-structure and properties of the laser-cladded AISI 420 martensitic stainless steel laser cladding layer. Coatings 2018, 8, 451. [Google Scholar] [CrossRef]
- Kumar, V.; Dixit, U.S. A model for the estimation of hardness of laser bent strips. Opt. laser Technol. 2018, 107, 491–499. [Google Scholar] [CrossRef]
- Chandra, K.; Kain, V.; Bhutani, V.; Raja, V.S.; Tewari, R.; Dey, G.K.; Chakravartty, J.K. Low temperature thermal aging of austenitic stainless steel welds: Kinetics and effects on mechanical properties. Mater. Sci. Eng. A 2012, 534, 163–175. [Google Scholar] [CrossRef]
- Abbasi, S.M.; Shokuhfar, A. Improvement of Mechanical Properties of Cr-Ni-Mo-Cu-Ti Stainless Steel with Addition of Vanadium. J. Iron. Steel Res. Int. 2007, 14, 74–78. [Google Scholar] [CrossRef]
- Liu, Y.; Li, A.; Cheng, X.; Zhang, S.; Wang, H. Effects of heat treatment on microstructure and tensile properties of laser melting deposited AISI 431 martensitic stainless steel. Mater. Sci. Eng. A 2016, 666, 27–33. [Google Scholar] [CrossRef]
- Sun, S.D.; Fabijanic, D.; Barr, C.; Liu, Q.C.; Walker, K.; Matthews, N.; Orchowski, N.; Easton, M.; Brandt, M. In-situ quench and tempering for microstructure control and enhanced mechanical properties of laser cladded AISI 420 stainless steel powder on 300M steel substrates. Surf. Coat. Technol. 2018, 333, 210–219. [Google Scholar] [CrossRef]
- Mohammad, K.A.; Mehdi, M.; Urbanic, R.J.; Edrisy, A. Mechanical Behavior of Additive Manufactured AISI 420 Martensitic Stainless Steel. Mater. Sci. Eng., A 2020, 773, 138815. [Google Scholar]
- Park, K.; Nishiyama, M.; Nakada, N.; Tsuchiyama, T.; Takaki, S. Effect of the martensite distribution on the strain hardening and ductile fracture behaviors in dual-phase steel. Mater. Sci. Eng. A 2014, 604, 135–141. [Google Scholar] [CrossRef]
- Bonagani, S.K.; Bathula, V.; Kain, V. Influence of tempering treatment on microstructure and pitting corrosion of 13wt.% Cr martensitic stainless steel. Corros. Sci. 2018, 131, 340–354. [Google Scholar] [CrossRef]
- Amezhnov, A.V.; Rodionova, I.G.; Batsalev, A.I.; D’yakonov, D.L.; Shaposhnikov, N.G.; Shatskii, T.E.; Marzoeva, M.E. Effect of Chemical Composition and Microstructure Parameters on Carbon and Low-Alloy Steel Corrosion Resistance Under Oil Industry Pipeline Operation Conditions. Metallurgist 2019, 62, 1030–1038. [Google Scholar] [CrossRef]
- Qi, X.; Mao, H.H.; Yang, Y.T. Corrosion behavior of nitrogen alloyed martensitic stainless steel in chloride containing solutions. Corros. Sci. 2017, 120, 90–98. [Google Scholar] [CrossRef]









| Element | C | Cr | Ni | Si | Mn | V | Fe | |
|---|---|---|---|---|---|---|---|---|
| Specimen | ||||||||
| Q235 | 0.18 | - | - | 0.26 | 0.55 | - | Bal. | |
| 1# (0%V) | 0.16 | 13.09 | 0.51 | 0.80 | 0.91 | 0 | Bal. | |
| 2# (0.25%V) | 0.16 | 13.09 | 0.51 | 0.80 | 0.91 | 0.25 | Bal. | |
| 3# (0.5%V) | 0.16 | 13.09 | 0.51 | 0.80 | 0.91 | 0.5 | Bal. | |
| 4# (1%V) | 0.16 | 13.09 | 0.51 | 0.80 | 0.91 | 1 | Bal. | |
| Coatings | Carbon Content/wt% | Rm/MPa | Re/MPa | Elongation/% | Treatment States |
|---|---|---|---|---|---|
| 1# (0%V) MSS | 0.16 | 1373 ± 23 | 1106 ± 38 | 5.9 ± 0.3 | as-cladded |
| 2# (0.25%V) MSS | 0.16 | 1618 ± 14 | 1195 ± 52 | 10.1 ± 0.7 | as-cladded |
| 3# (0.5%V) MSS | 0.16 | 1756 ± 35 | 1375 ± 83 | 11.9 ± 0.5 | as-cladded |
| 4# (1%V) MSS | 0.16 | 1557 ± 49 | 1143 ± 60 | 13.2 ± 0.4 | as-cladded |
| MSS [8] | 0.01 | 1072 | 918 | 6.3 | as-cladded |
| MSS [21] | 0.19 | 1990 | 1750 | 7.3 | as-cladded |
| 420 MSS [25] | 0.26 | 1802 | 1306 | 6.9 | as-cladded |
| 420 MSS [25] | 0.26 | 1690 | 1109 | 15.8 | as-tempered |
| 431 MSS [29] | 0.15 | 1283 ± 16 | - | 14.5 ± 1.5 | as-heat treated |
| 420 MSS [30] | 0.35 | 1903 ± 34 | 1518 ± 75 | 2.7 ± 0.4 | as-cladded |
| 420 MSS [31] | 0.23 | 1670 ± 202 | - | 13.9 ± 2.9 | as-cladded |
| Electrochemical | Corrosion Potential (SCE) Ecorr/V | Corrosion Current Density Icorr/(A·cm−2) | Corrosion Rate /(mmpy) | |
|---|---|---|---|---|
| Specimen | ||||
| 1# (0%V) | −0.36375 | 7.0021 × 10−6 | 0.08044 | |
| 2# (0.25%V) | −0.17458 | 3.4652 × 10−6 | 0.03369 | |
| 3# (0.5%V) | −0.22494 | 2.2478 × 10−4 | 2.1859 | |
| 4# (1%V) | −0.20589 | 2.8077 × 10−4 | 2.7302 | |
© 2020 by the authors. Licensee MDPI, Basel, Switzerland. This article is an open access article distributed under the terms and conditions of the Creative Commons Attribution (CC BY) license (http://creativecommons.org/licenses/by/4.0/).
Share and Cite
Hu, W.; Zhu, H.; Hu, J.; Li, B.; Qiu, C. Influence of Vanadium Microalloying on Microstructure and Property of Laser-Cladded Martensitic Stainless Steel Coating. Materials 2020, 13, 826. https://doi.org/10.3390/ma13040826
Hu W, Zhu H, Hu J, Li B, Qiu C. Influence of Vanadium Microalloying on Microstructure and Property of Laser-Cladded Martensitic Stainless Steel Coating. Materials. 2020; 13(4):826. https://doi.org/10.3390/ma13040826
Chicago/Turabian StyleHu, Wenfeng, Hongmei Zhu, Jipeng Hu, Baichun Li, and Changjun Qiu. 2020. "Influence of Vanadium Microalloying on Microstructure and Property of Laser-Cladded Martensitic Stainless Steel Coating" Materials 13, no. 4: 826. https://doi.org/10.3390/ma13040826
APA StyleHu, W., Zhu, H., Hu, J., Li, B., & Qiu, C. (2020). Influence of Vanadium Microalloying on Microstructure and Property of Laser-Cladded Martensitic Stainless Steel Coating. Materials, 13(4), 826. https://doi.org/10.3390/ma13040826
