Magnetic and Magneto-Optical Properties of Fe75−xMn25Gax Heusler-like Compounds
Abstract
1. Introduction
2. Materials and Methods
3. Results and Discussion
3.1. Structural Properties
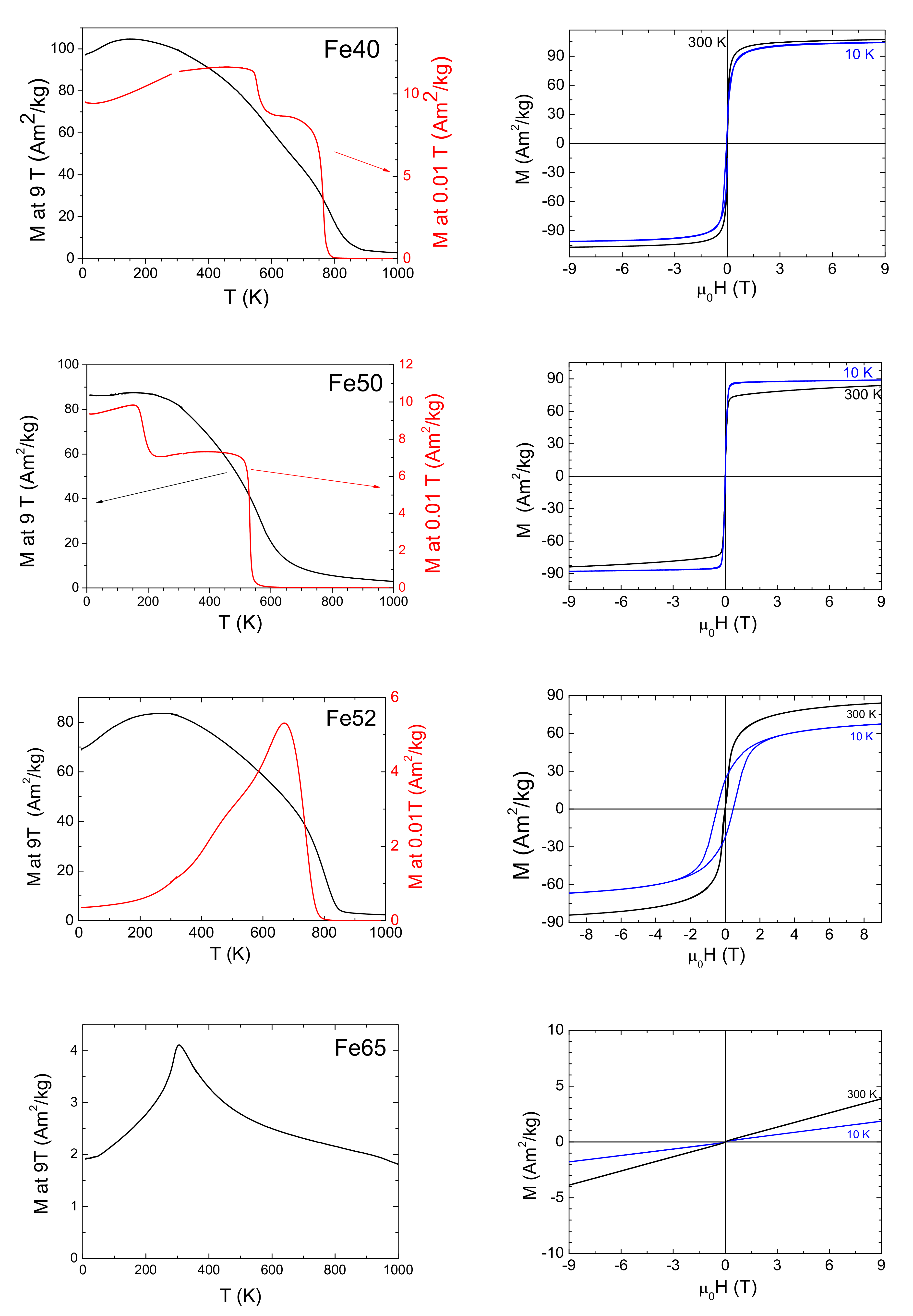
3.2. Magnetic Properties
3.3. Magneto-Optical Spectroscopy
3.4. Theoretical Calculations
4. Conclusions
Author Contributions
Funding
Conflicts of Interest
References
- Entel, P.; Siewert, M.; Gruner, M.E.; Herper, H.C.; Comtesse, D.; Arróyave, R.; Singh, N.; Talapatra, A.; Sokolovskiy, V.V.; Buchelnikov, V.D.; et al. Complex magnetic ordering as a driving mechanism of multifunctional properties of Heusler alloys from first principles. Eur. Phys. J. B 2013, 86, 1–11. [Google Scholar] [CrossRef]
- Ullakko, K.; Huang, J.K.; Kantner, C.; O’Handley, R.C.; Kokorin, V.V. Large magnetic-field-induced strains in Ni2MnGa single crystals. Appl. Phys. Lett. 1996, 69, 1966–1968. [Google Scholar] [CrossRef]
- Heczko, O.; Scheerbaum, N.; Gutfleisch, O. Magnetic Shape Memory Phenomena BT. In Nanoscale Magnetic Materials and Applications; Liu, J.P., Fullerton, E., Gutfleisch, O., Sellmyer, D.J., Eds.; Springer: Boston, MA, USA, 2009; pp. 399–439. ISBN 978-0-387-85600-1. [Google Scholar]
- Heczko, O.; Soroka, A.; Hannula, S.P. Magnetic shape memory effect in thin foils. Appl. Phys. Lett. 2008, 93, 1–4. [Google Scholar] [CrossRef]
- Entel, P.; Buchelnikov, V.D.; Khovailo, V.V.; Zayak, A.T.; Adeagbo, W.A.; Gruner, M.E.; Herper, H.C.; Wassermann, E.F. Modelling the phase diagram of magnetic shape memory Heusler alloys. J. Phys. D. Appl. Phys. 2006, 39, 865–889. [Google Scholar] [CrossRef]
- Lahelin, M.; Aaltio, I.; Heczko, O.; Söderberg, O.; Ge, Y.; Löfgren, B.; Hannula, S.P.; Seppälä, J. DMA testing of Ni-Mn-Ga/polymer composites. Compos. Part A Appl. Sci. Manuf. 2009, 40, 125–129. [Google Scholar] [CrossRef]
- Acet, M.; Mañosa, L.; Planes, A. Chapter four—Magnetic-field-induced effects in martensitic heusler-based magnetic shape memory alloys. In Handbook of Magnetic Materials; Buschow, K.H.J., Ed.; Elsevier: Amsterdam, The Netherlands, 2011; Volume 19, pp. 231–289. ISBN 1567-2719. [Google Scholar]
- Sozinov, A.; Lanska, N.; Soroka, A.; Zou, W. 12% magnetic field-induced strain in Ni-Mn-Ga-based non-modulated martensite. Appl. Phys. Lett. 2013, 102, 021902. [Google Scholar] [CrossRef]
- Heczko, O. Magnetic shape memory effect and highly mobile twin boundaries. Mater. Sci. Technol. (United Kingdom) 2014, 30, 1559–1578. [Google Scholar] [CrossRef]
- Wuttig, M.; Liu, L.; Tsuchiya, K.; James, R.D. Occurrence of ferromagnetic shape memory alloys (invited). J. Appl. Phys. 2000, 87, 4707–4711. [Google Scholar] [CrossRef]
- Sugihara, A.; Suzuki, K.; Miyazaki, T.; Mizukami, S. Epitaxial Growth of Hard Ferrimagnetic Mn3Ge Film on Rhodium Buffer Layer. Metals (Basel) 2015, 5, 910–919. [Google Scholar] [CrossRef]
- Kudryavtsev, Y.V.; Uvarov, N.V.; Iermolenko, V.N.; Glavatskyy, I.N.; Dubowik, J. Electronic structure, magnetic and optical properties ofFe 2MnGa Heusler alloy. Acta Mater. 2012, 60, 4780–4786. [Google Scholar] [CrossRef]
- Kudryavtsev, Y.V.; Perekos, A.E.; Uvarov, N.V.; Kolchiba, M.R.; Synoradzki, K.; Dubowik, J. Mixed structural face-centered cubic and body-centered cubic orders in near stoichiometric Fe2MnGa alloys. J. Appl. Phys. 2016, 119, 205103. [Google Scholar] [CrossRef]
- Jenkins, C.A.; Scholl, A.; Kainuma, R.; Elmers, H.J.; Omori, T. Temperature-induced martensite in magnetic shape memory Fe 2MnGa observed by photoemission electron microscopy. Appl. Phys. Lett. 2012, 100, 1–4. [Google Scholar] [CrossRef]
- Omori, T.; Watanabe, K.; Umetsu, R.Y.; Kainuma, R.; Ishida, K. Martensitic transformation and magnetic field-induced strain in Fe-Mn-Ga shape memory alloy. Appl. Phys. Lett. 2009, 95, 13–16. [Google Scholar] [CrossRef]
- Zhu, W.; Liu, E.K.; Feng, L.; Tang, X.D.; Chen, J.L.; Wu, G.H.; Liu, H.Y.; Meng, F.B.; Luo, H.Z. Magnetic-field-induced transformation in FeMnGa alloys. Appl. Phys. Lett. 2009, 95, 1–3. [Google Scholar] [CrossRef]
- Gasi, T.; Nayak, A.K.; Nicklas, M.; Felser, C. Structural and magnetic properties of the Heusler compound Fe 2MnGa. J. Appl. Phys. 2013, 113, 12–15. [Google Scholar] [CrossRef]
- Okumura, H.; Hashiba, E.; Nagata, K. The effect of melt-spinning processing parameters on crystal structure and magnetic properties in Fe-Mn-Ga alloys. Intermetallics 2014, 49, 65–69. [Google Scholar] [CrossRef]
- Tang, X.D.; Wang, W.H.; Wu, G.H.; Meng, F.B.; Liu, H.Y.; Luo, H.Z. Tuning exchange bias by thermal fluctuation in Fe52Mn23Ga25 melt-spun ribbons. Appl. Phys. Lett. 2011, 99, 2009–2012. [Google Scholar] [CrossRef]
- Kudryavtsev, Y.V.; Uvarov, N.V.; Dubowik, J. Optical properties of Fe-Mn-Ga alloys. J. Phys. Condens. Matter. 2019, 31, 235501. [Google Scholar] [CrossRef]
- Tikuišis, K.K.; Beran, L.; Cejpek, P.; Uhlířová, K.; Hamrle, J.; Vaňatka, M.; Urbánek, M.; Veis, M. Optical and magneto-optical properties of permalloy thin films in 0.7–6.4 eV photon energy range. Mater. Des. 2017, 114, 31–39. [Google Scholar] [CrossRef]
- Kresse, G.; Furthmüller, J. Efficient iterative schemes for ab initio total-energy calculations using a plane-wave basis set. Phys. Rev. B - Condens. Matter Mater. Phys. 1996, 54, 11169–11186. [Google Scholar] [CrossRef]
- Kresse, G.; Furthmüller, J. Efficiency of ab-initio total energy calculations for metals and semiconductors using a plane-wave basis set. Comput. Mater. Sci. 1996, 6, 15–50. [Google Scholar] [CrossRef]
- Blöchl, P.E. Projector augmented-wave method. Phys. Rev. B 1994, 50, 17953–17979. [Google Scholar] [CrossRef] [PubMed]
- Kresse, G.; Joubert, D. From ultrasoft pseudopotentials to the projector augmented-wave method. Phys. Rev. B 1999, 59, 1758–1775. [Google Scholar] [CrossRef]
- Perdew, J.P.; Burke, K.; Ernzerhof, M. Generalized gradient approximation made simple. Phys. Rev. Lett. 1996, 77, 3865–3868. [Google Scholar] [CrossRef] [PubMed]
- Zunger, A.; Wei, S.-H.; Ferreira, L.G.; Bernard, J.E. Special quasirandom structures. Phys. Rev. Lett. 1990, 65, 353–356. [Google Scholar] [CrossRef] [PubMed]
- Holec, D.; Tasnádi, F.; Wagner, P.; Friák, M.; Neugebauer, J.; Mayrhofer, P.H.; Keckes, J. Macroscopic elastic properties of textured ZrN-AlN polycrystalline aggregates: From ab initio calculations to grain-scale interactions. Phys. Rev. B - Condens. Matter Mater. Phys. 2014, 90, 1–9. [Google Scholar] [CrossRef]
- Nöger, D. A Command Line Tool Written in Python/Cython for Finding Optimized SQS Structures. Available online: https://github.com/dnoeger/sqsgenerator (accessed on 13 April 2019).
- Straka, L.; Fekete, L.; Rameš, M.; Belas, E.; Heczko, O. Magnetic coercivity control by heat treatment in Heusler Ni–Mn–Ga(–B) single crystals. Acta Mater. 2019, 169, 109–121. [Google Scholar] [CrossRef]
- Vronka, M.; Straka, L.; De Graef, M.; Heczko, O. Antiphase boundaries, magnetic domains, and magnetic vortices in Ni–Mn–Ga single crystals. Acta Mater. 2020, 184, 179–186. [Google Scholar] [CrossRef]
- Zahradník, M.; Uhlířová, K.; Maroutian, T.; Kurij, G.; Agnus, G.; Veis, M.; Lecoeur, P. Magnetic domain wall motion in SrRuO3 thin films. Mater. Des. 2020, 187, 108390. [Google Scholar] [CrossRef]
- Gan’shina, E.A.; Novikov, A.I.; Zykov, G.S.; Mettus, D.E.; Kazakov, A.P.; Kainuma, R.; Khovailo, V.V.; Prudnikov, V.N.; Granovsky, A.B. Magneto-optical spectroscopy of the martensitic transition in Fe48Mn24Ga28 Heusler alloys. Phys. Solid State 2013, 55, 1866–1869. [Google Scholar] [CrossRef]
- Kratochvilova, M.; Kral, D.; Dusek, M.; Valenta, J.; Colman, R.; Heczko, O.; Veis, M. Fe2MnSn - Experimental Quest for Predicted Heusler Alloy. J. Magn. Magn. Mater. 2020, 501, 166426. [Google Scholar] [CrossRef]
- Veis, M.; Beran, L.; Zahradnik, M.; Antos, R.; Straka, L.; Kopecek, J.; Fekete, L.; Heczko, O. Magneto-optical spectroscopy of ferromagnetic shape-memory Ni-Mn-Ga alloy. J. Appl. Phys. 2014, 115, 17A936. [Google Scholar] [CrossRef]
- Beran, L.; Cejpek, P.; Kulda, M.; Antos, R.; Holy, V.; Veis, M.; Straka, L.; Heczko, O. Optical and magneto-optical studies of martensitic transformation in Ni-Mn-Ga magnetic shape memory alloys. J. Appl. Phys. 2015, 117, 17A919. [Google Scholar] [CrossRef]
- Koubaa, M.; Haghiri-Gosnet, A.M.; Renard, J.P.; Veis, M.; Kolinsky, V.; Visnovsky, S.; Lecoeur, P.; Prellier, W.; Mercey, B. Magneto-optical spectroscopy of strained La2/3Sr1/3MnO3 thin films grown by “laser MBE”. J. Magn. Magn. Mater. 2004, 272–276, 1812–1813. [Google Scholar] [CrossRef]






| Name | Nominal | Determined by EDS | Ms at 10 K (Am2/kg) (μB per f.u.) | Tc (K) |
|---|---|---|---|---|
| Fe40 | Fe40Mn25Ga35 | Fe39.5Mn26Ga34.5 | 87 (3.77) | 532 (183) |
| Fe50 | Fe50Mn25Ga25 | Fe49Mn26Ga25 | 100 (4.23) | 762 (554) |
| Fe52 | Fe52Mn25Ga23 | Fe51Mn26Ga23 | 57 (2.40) | 736 Single |
| Fe56 | Fe56Mn25Ga19 | Fe56Mn26Ga18 | 1 at 300 K (0.04) | Antiferromagnetic (traces of ferro.) |
| Fe65 | Fe65Mn25Ga10 | - | 0.05 (0.02) | Antiferromagnetic TN = 300 K |
© 2020 by the authors. Licensee MDPI, Basel, Switzerland. This article is an open access article distributed under the terms and conditions of the Creative Commons Attribution (CC BY) license (http://creativecommons.org/licenses/by/4.0/).
Share and Cite
Král, D.; Beran, L.; Zelený, M.; Zemen, J.; Antoš, R.; Hamrle, J.; Zázvorka, J.; Rameš, M.; Onderková, K.; Heczko, O.; et al. Magnetic and Magneto-Optical Properties of Fe75−xMn25Gax Heusler-like Compounds. Materials 2020, 13, 703. https://doi.org/10.3390/ma13030703
Král D, Beran L, Zelený M, Zemen J, Antoš R, Hamrle J, Zázvorka J, Rameš M, Onderková K, Heczko O, et al. Magnetic and Magneto-Optical Properties of Fe75−xMn25Gax Heusler-like Compounds. Materials. 2020; 13(3):703. https://doi.org/10.3390/ma13030703
Chicago/Turabian StyleKrál, Daniel, Lukáš Beran, Martin Zelený, Jan Zemen, Roman Antoš, Jaroslav Hamrle, Jakub Zázvorka, Michal Rameš, Kristýna Onderková, Oleg Heczko, and et al. 2020. "Magnetic and Magneto-Optical Properties of Fe75−xMn25Gax Heusler-like Compounds" Materials 13, no. 3: 703. https://doi.org/10.3390/ma13030703
APA StyleKrál, D., Beran, L., Zelený, M., Zemen, J., Antoš, R., Hamrle, J., Zázvorka, J., Rameš, M., Onderková, K., Heczko, O., & Veis, M. (2020). Magnetic and Magneto-Optical Properties of Fe75−xMn25Gax Heusler-like Compounds. Materials, 13(3), 703. https://doi.org/10.3390/ma13030703

