Interactions between Active Ingredient Ranitidine and Clay Mineral Excipients in Pharmaceutical Formulations
Abstract
1. Introduction
2. Materials and Methods
2.1. Materials
2.2. Sorption and Desorption Experiments
2.3. Instrumental Analyses
3. Results
3.1. RT Sorption on the Excipients
3.2. XRD Analyses
3.3. Kinetics of RT Desorption from the Excipients
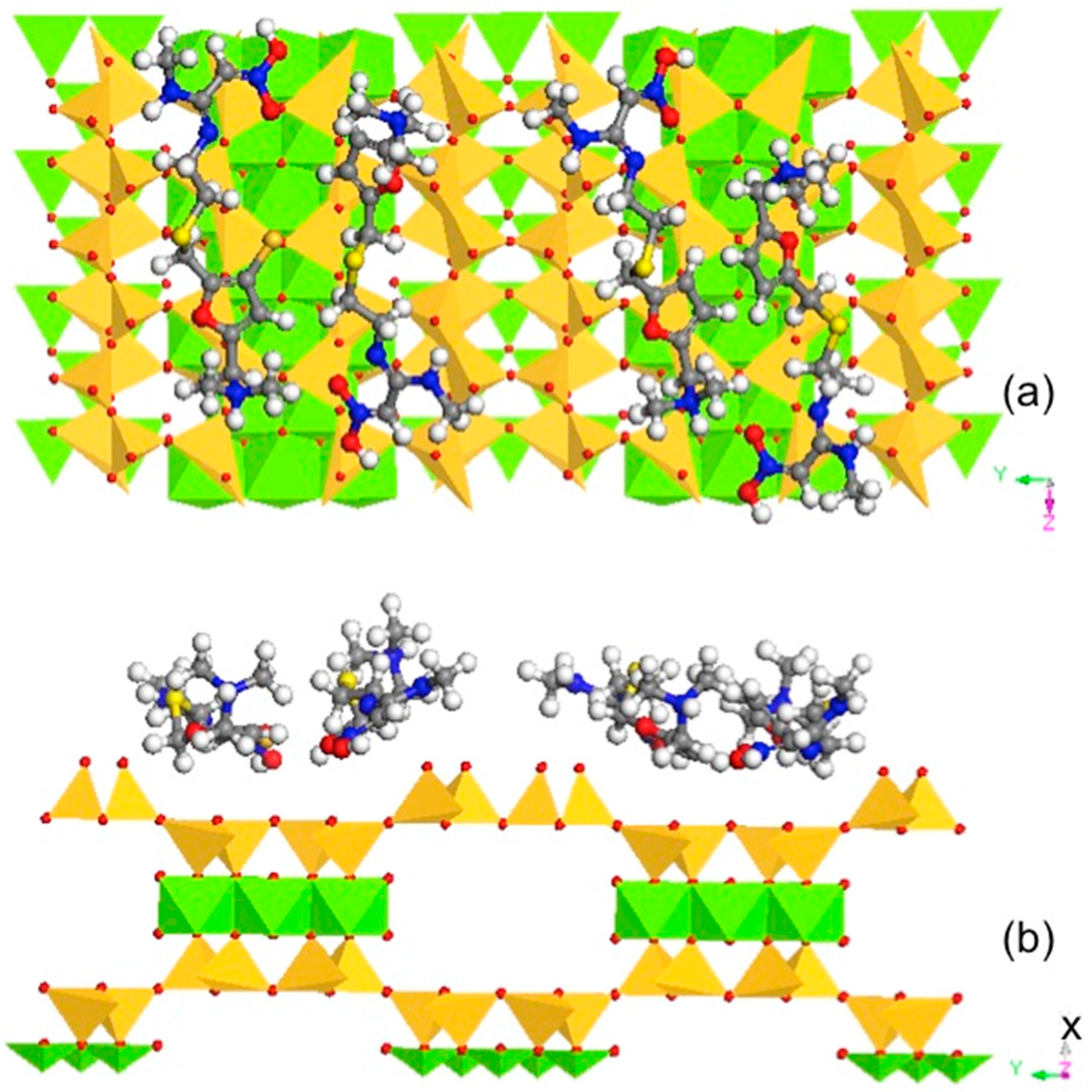
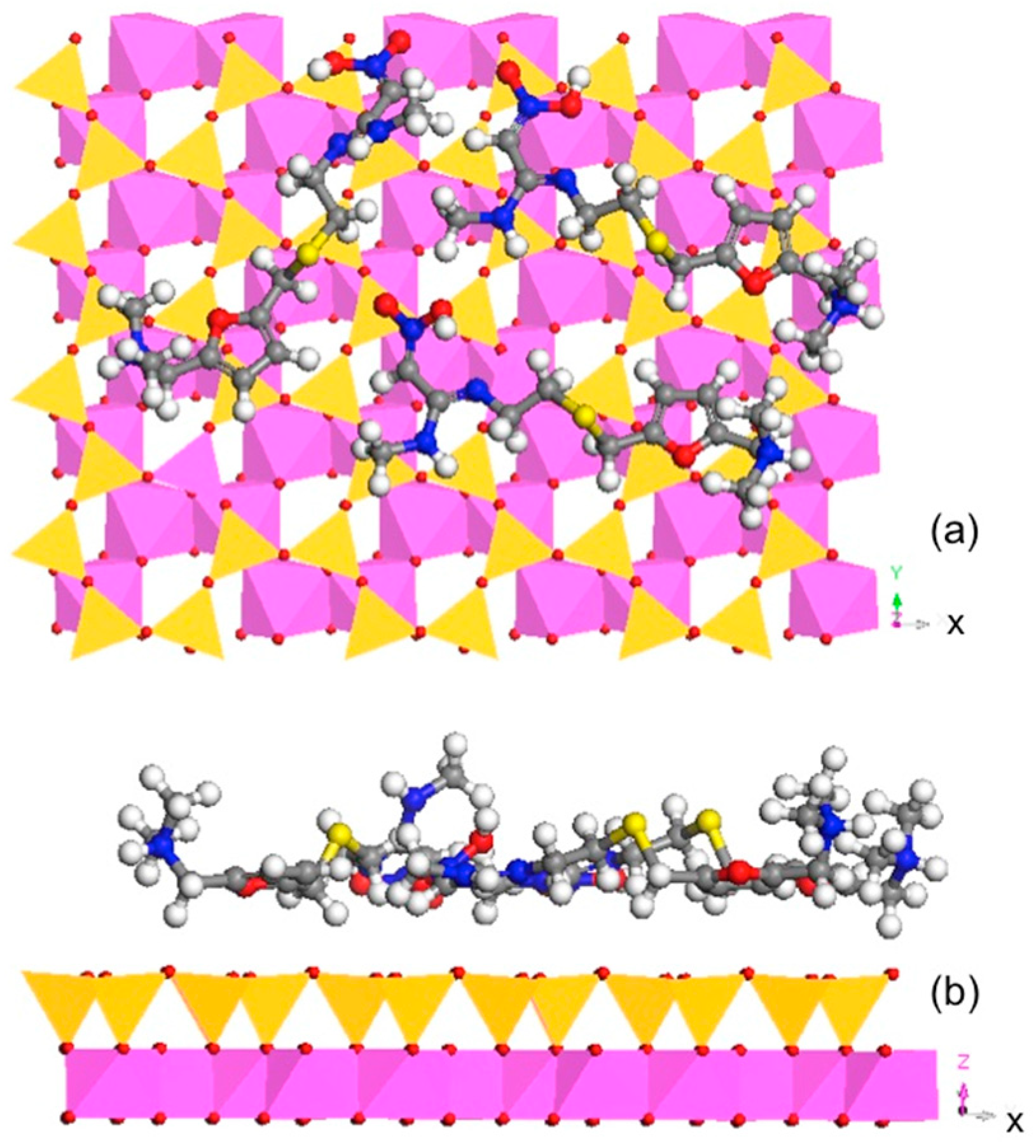
3.4. Molecular Simulation
3.5. FTIR Analyses
4. Discussion
5. Conclusions
Author Contributions
Funding
Conflicts of Interest
References
- Carretero, M.I.; Pozo, M. Clay and non-clay minerals in the pharmaceutical industry: Part I. Excipients and medical applications. Appl. Clay Sci. 2009, 46, 73–80. [Google Scholar] [CrossRef]
- Carretero, M.I.; Pozo, M. Clay and non-clay minerals in the pharmaceutical and cosmetic industries Part II. Active ingredients. Appl. Clay Sci. 2010, 47, 171–181. [Google Scholar] [CrossRef]
- Hansen, S.; Pederson-Bjergaard, S.; Rasmussen, K.E. Introduction to Pharmaceutical Chemical Analysis; John Wiley & Sons Ltd.: Hoboken, NJ, USA, 2011; p. 512. [Google Scholar]
- Jadhav, N.R.; Paradkar, A.R.; Salunkhe, N.H.; Karade, R.S.; Mane, G.G. Talc: A versatile pharmaceutical excipient. World J. Pharm. Pharm. Sci. 2013, 2, 4639–4660. [Google Scholar]
- Deshmukh, V.; Pawar, A.; Deshmukh, T.; Deshmukh, M.; Katedeshmukh, R.G.; Patil, R.Y. Preparation and evaluation of slow release carbamazepine alginate-talc beads. Current Pharm. Res. 2011, 1, 271. [Google Scholar]
- EIbezim, C.; Ofoefule, S.I.; Ejeahalaka, C.N.C.; Orisakwe, O.E. In Vitro Adsorption of ciprofloxacin on activated charcoal and talc. Am. J. Ther. 1999, 6, 199–201. [Google Scholar] [CrossRef] [PubMed]
- Li, Z.; Fitzgerald, N.M.; Lv, G.; Jiang, W.T.; Wu, L. Adsorption of atenolol on talc: An indication of drug interference with an excipient. Adsorption Sci. Technol. 2015, 33, 379–392. [Google Scholar] [CrossRef]
- Li, Z.; Fitzgerald, N.M.; Albert, Z.; Jiang, W.T. Interference of 1: 1 and 2: 1 layered phyllosilicates as excipients with ranitidine. Colloids Surf. B 2016, 140, 67–73. [Google Scholar] [CrossRef]
- Lv, G.; Liu, L.; Li, Z.; Liao, L.; Liu, M. Probing the interactions between chlorpheniramine and 2: 1 phyllosilicates. J. Colloid Interface Sci. 2012, 374, 218–225. [Google Scholar] [CrossRef]
- Lv, G.; Li, Z.; Hoeppner, N.; Wu, L.; Liao, L. Interactions between sulfa drug sulfadiazine and hydrophobic talc surfaces. Colloids Surf. A 2014, 446, 172–178. [Google Scholar] [CrossRef]
- Pani, N.R.; Nath, L.K.; Acharya, S.; Bhuniya, B. Application of DSC, IST, and FTIR study in the compatibility testing of nateglinide with different pharmaceutical excipients. J. Thermal Anal. Calorimetry 2012, 108, 219–226. [Google Scholar] [CrossRef]
- Jadhav, N.R.; Paradkar, A.R.; Shah, G.N. Adsorption studies of bromhexine hydrochloride on talc. Res. J. Pharm. Technol. 2013, 6, 1247–1250. [Google Scholar]
- Awad, M.E.; López-Galindo, A.; Setti, M.; El-Rahmany, M.M.; Iborra, C.V. Kaolinite in pharmaceutics and biomedicine. Int. J. Pharm. 2017, 533, 34–48. [Google Scholar] [CrossRef] [PubMed]
- Tan, D.; Yuan, P.; Annabi-Bergaya, F.; Liu, D.; He, H. High-capacity loading of 5-fluorouracil on the methoxy-modified kaolinite. Appl. Clay Sci. 2014, 100, 60–65. [Google Scholar] [CrossRef]
- Li, Z.; Hong, H.; Liao, L.; Ackley, C.J.; Schulz, L.A.; MacDonald, R.A.; Mihelich, A.L.; Emard, S.M. A mechanistic study of ciprofloxacin removal by kaolinite. Colloids Surf. B 2011, 88, 339–344. [Google Scholar] [CrossRef] [PubMed]
- Jackson, K.; Young, D.; Pant, S. Drug—Excipient interactions and their affect on absorption. Pharm. Sci. Technol. Today 2000, 3, 336–345. [Google Scholar] [CrossRef]
- McElnay, J.C.; Sidahmed, A.M.; D’Arey, P.F. Examination of the chloroquine-kaolin drug absorption interaction using the buccal partitioning model. J. Clin. Pharm. Ther. 1982, 7, 269–273. [Google Scholar] [CrossRef] [PubMed]
- Onyekweli, A.O.; Usifoh, C.O.; Okunrobo, L.O.; Zuofa, J.D. Adsorptive property of kaolin in some drug formulations. Trop. J. Pharm. Res. 2003, 2, 155–159. [Google Scholar] [CrossRef][Green Version]
- Chang, P.H.; Jiang, W.T.; Li, Z.; Kuo, C.Y.; Wu, Q.; Jean, J.S.; Lv, G. Interaction of ciprofloxacin and probe compounds with palygorskite PFl-1. J. Hazard. Mater. 2016, 303, 55–63. [Google Scholar] [CrossRef]
- Li, Z.; Fitzgerald, N.M.; Jiang, W.T.; Lv, G. Palygorskite for the uptake and removal of pharmaceuticals for wastewater treatment. Process Saf. Environ. Prot. 2016, 101, 80–87. [Google Scholar] [CrossRef]
- Meirelles, L.; Carazo, E.; Borrego-Sánchez, A.; Barbosa, R.; Moura, T.; Aguzzi, C.; Sainz-Diaz, C.I.; Viseras, C.; Raffin, F. Design and characterization of a tuberculostatic hybrid based on interaction of ethambutol with a raw palygorskite. Appl. Clay Sci. 2019, 181, 105213. [Google Scholar] [CrossRef]
- Junior, E.D.; de Almeida, J.M.F.; do Nascimento Silva, I.; de Assis, M.L.M.; dos Santos, L.M.; Dias, E.F.; Aragão, V.E.B.; Veríssimo, L.M.; Fernandes, N.S.; da Silva, D.R. pH-responsive release system of isoniazid using palygorskite as a nanocarrier. J. Drug Deliv. Sci. Technol. 2020, 55, 101399. [Google Scholar] [CrossRef]
- Dos Santos Soares, D.; Fernandes, C.S.; Da Costa, A.C.S.; Raffin, F.N.; Acchar, W.; e Moura, T.F.D.L. Characterization of palygorskite clay from Piauí, Brazil and its potential use as excipient for solid dosage forms containing anti-tuberculosis drugs. J. Therm. Anal. Calorimetry 2013, 113, 551–558. [Google Scholar] [CrossRef]
- Zhong, H.; Mu, B.; Zhang, M.; Hui, A.; Kang, Y.; Wang, A. Preparation of effective carvacrol/attapulgite hybrid antibacterial materials by mechanical milling. J. Porous Mater. 2020, 27, 843–853. [Google Scholar] [CrossRef]
- Dumanović, D.; Juranić, I.; Dželetović, D.; Vasić, V.M.; Jovanović, J. Protolytic constants of nizatidine, ranitidine and N, N′-dimethyl-2-nitro-1, 1-ethenediamine; spectrophotometric and theoretical investigation. J. Pharm. Biomed. Anal. 1997, 15, 1667–1678. [Google Scholar] [CrossRef]
- Raut, N.S.; Umekar, M.J.; Ramdas, N. Studies on the Physico-Chemical Interaction of Ranitidine with Excipients. Int. J. Pharm. Res. 2013, 5, 32–39. [Google Scholar]
- Dogan, A.U.; Dogan, M.; Onal, M.; Sarikaya, Y.; Aburub, A.; Wurster, D.E. Baseline studies of the clay minerals society source clays: Specific surface area by the Brunauer Emmett Teller (BET) method. Clay. Clay Miner. 2006, 54, 62–66. [Google Scholar] [CrossRef]
- Li, Z.; Gallus, L. Surface configuration of sorbed hexadecyltrimethylammonium on kaolinite as indicated by surfactant and counterion sorption, cation desorption, and FTIR. Colloids Surf. A 2005, 264, 61–67. [Google Scholar] [CrossRef]
- Burdukova, E.; Becker, M.; Bradshaw, D.J.; Laskowski, J.S. Presence of negative charge on the basal planes of New York talc. J. Colloid Interface Sci. 2007, 315, 337–342. [Google Scholar] [CrossRef]
- Silva, M.P.D.; Santos, M.D.S.F.; Santos, M.R.M.C.; Santos Júnior, L.D.S.; Fonseca, M.G.D.; Silva Filho, E.C.D. Natural palygorskite as an industrial dye remover in single and binary systems. Mater. Res. 2016, 19, 1232–1240. [Google Scholar] [CrossRef]
- Chipera, S.J.; Bish, D.L. Baseline studies of the clay minerals society source clays: Powder X-ray diffraction analyses. Clays Clay Miner. 2001, 49, 398–409. [Google Scholar] [CrossRef]
- Hohnjec, M.; Kuftinec, J.; Malnar, M.; Škreblin, M.; Kajfež, F.; Nagl, A.; Blažević, N. Ranitidine. Anal. Profiles Drug Subst. 1986, 15, 533–561. [Google Scholar]
- Agatonovic-Kustrin, S.; Wu, V.; Rades, T.; Saville, D.; Tucker, I.G. Powder diffractometric assay of two polymorphic forms of ranitidine hydrochloride. Int. J. Pharm. 1999, 184, 107–114. [Google Scholar] [CrossRef]
- Moffat, A.C.; Osselton, M.D.; Widdop, B. Clarke’s Analysis of Drugs and Poisons: In Pharmaceuticals, Body Fluids and Postmortem Material, 3rd ed.; Pharmaceutical Press: London, UK, 2004. [Google Scholar]
- Borden, D.; Giese, R.F. Baseline studies of the clay minerals society source clays: Cation exchange capacity measurements by the ammonia-electrode method. Clays Clay Miner. 2001, 49, 444–445. [Google Scholar] [CrossRef]
- Bergaya, F.; Lagaly, G. General introduction: Clays, clay minerals, and clay science. In Handbook of Clay Science; Bergaya, F., Theng, B.K.G., Lagaly, G., Eds.; Elsevier: London, UK, 2006; pp. 1–18. [Google Scholar]
- Sood, Y.V.; Tyagi, R.; Tyagi, S.; Pande, P.C.; Tondon, R. Surface charge of different paper making raw materials and its influence on paper properties. J. Sci. Ind. Res. 2010, 69, 300–304. [Google Scholar]
- Castela-Papin, N.; Cai, S.; Vatier, J.; Keller, F.; Souleau, C.H.; Farinotti, R. Drug interactions with diosmectite: A study using the artificial stomach—Duodenum model. Int. J. Pharm. 1999, 182, 111–119. [Google Scholar] [CrossRef]
- Li, Z.; Fitzgerald, N.M.; Albert, Z.; Schnabl, A.; Jiang, W.T. Contrasting mechanisms of metoprolol uptake on kaolinite and talc. Chem. Eng. J. 2015, 272, 48–57. [Google Scholar] [CrossRef]
- Joshi, G.V.; Kevadiya, B.D.; Bajaj, H.C. Controlled release formulation of ranitidine-containing montmorillonite and Eudragit® E-100. Drug Develop. Ind. Pharm. 2010, 36, 1046–1053. [Google Scholar] [CrossRef]
- Vatier, J.; Harman, A.; Castela, N.; Droy-Lefaix, M.T.; Farinotti, R. Interactions of cimetidine and ranitidine with aluminum-containing antacids and a clay-containing gastric-protective drug in an “artificial stomach-duodenum” model. J. Pharm. Sci. 1994, 83, 962–966. [Google Scholar] [CrossRef]
- Gard, J.A.; Follett, E.A.C. A structural scheme for palygorskite. Clay Miner. 1968, 7, 367–370. [Google Scholar] [CrossRef]
- Varga, G. The structure of kaolinite and metakaolinite. Epitoanyag 2007, 59, 6–9. [Google Scholar] [CrossRef]
- Rayner, J.H.; Brown, G. The crystal structure of talc. Clays Clay Miner. 1973, 21, 103–114. [Google Scholar] [CrossRef]
- D’Arrigo, J. Chapter 6—Role of liquid membranes in drug action—Experimental studies in surface activity in drug action. In Studies in Interface Science; Srinastava, R.C., Nagappa, C.N., Eds.; Elsevier: Amsterdam, The Netherlands, 2005; Volume 21, pp. 124–218. [Google Scholar] [CrossRef]
- Cholerton, T.J.; Hunt, J.H.; Klinkert, G.; Martin-Smith, M. Spectroscopic studies on ranitidine—its structure and the influence of temperature and pH. J. Chem. Soc. Perkin Trans. 1984, 2, 1761–1766. [Google Scholar] [CrossRef]
- Agatonovic-Kustrin, S.; Rades, T.; Wu, V.; Saville, D.; Tucker, I.G. Determination of polymorphic forms of ranitidine—HCl by DRIFTS and XRPD. J. Pharm. Biomed. Anal. 2001, 25, 741–750. [Google Scholar] [CrossRef]
- Jamrógiewicz, M.; Łukasiak, J. Short term monitor of photodegradation processes in ranitidine hydrochloride observed by FTIR and ATR-FTIR. J. Food Drug Anal. 2009, 17, 342–347. [Google Scholar] [CrossRef]
- Chen, Q.; Haq, S.; Frederick, B.G.; Richardson, N.V. Adsorption of nitrobenzene and some simple derivatives on the Cu (110) surface. Surf. Sci. 1996, 368, 310–317. [Google Scholar] [CrossRef]
- Martins, J.B.; Perez, M.A.; Silva, C.H.; Taft, C.A.; Arissawa, M.; Longo, E.; Mello, P.C.; Stamato, F.M.L.G.; Tostes, J.G.R. Theoretical ab initio study of ranitidine. Int. J. Quantum Chem. 2002, 90, 575–586. [Google Scholar] [CrossRef]







Publisher’s Note: MDPI stays neutral with regard to jurisdictional claims in published maps and institutional affiliations. |
© 2020 by the authors. Licensee MDPI, Basel, Switzerland. This article is an open access article distributed under the terms and conditions of the Creative Commons Attribution (CC BY) license (http://creativecommons.org/licenses/by/4.0/).
Share and Cite
Wang, L.; Wang, X.; Liao, L.; Wu, Q.; Yin, H.; Li, Z. Interactions between Active Ingredient Ranitidine and Clay Mineral Excipients in Pharmaceutical Formulations. Materials 2020, 13, 5558. https://doi.org/10.3390/ma13235558
Wang L, Wang X, Liao L, Wu Q, Yin H, Li Z. Interactions between Active Ingredient Ranitidine and Clay Mineral Excipients in Pharmaceutical Formulations. Materials. 2020; 13(23):5558. https://doi.org/10.3390/ma13235558
Chicago/Turabian StyleWang, Lijuan, Xisen Wang, Libing Liao, Qingfeng Wu, Hui Yin, and Zhaohui Li. 2020. "Interactions between Active Ingredient Ranitidine and Clay Mineral Excipients in Pharmaceutical Formulations" Materials 13, no. 23: 5558. https://doi.org/10.3390/ma13235558
APA StyleWang, L., Wang, X., Liao, L., Wu, Q., Yin, H., & Li, Z. (2020). Interactions between Active Ingredient Ranitidine and Clay Mineral Excipients in Pharmaceutical Formulations. Materials, 13(23), 5558. https://doi.org/10.3390/ma13235558

