Next Article in Journal
Investigation of 2D Rainbow Metamaterials for Broadband Vibration Attenuation
Previous Article in Journal
Infrared Laser Application to Wood Cutting
 
 
Font Type:
Arial Georgia Verdana
Font Size:
Aa Aa Aa
Line Spacing:
Column Width:
Background:
Article

Preparation of Magnesium-Aluminum Hydrotalcite by Mechanochemical Method and Its Application as Heat Stabilizer in poly(vinyl chloride)

1
Institute of Chemical Power and Materials, College of Chemistry and Chemical Engineering, Central South University, Changsha 410083, China
2
Institute of Chemical Power and Materials, Innovation Base of Energy and Chemical Materials for Graduate Students Training, Central South University, Changsha 410083, China
*
Author to whom correspondence should be addressed.
Materials 2020, 13(22), 5223; https://doi.org/10.3390/ma13225223
Submission received: 16 October 2020 / Revised: 11 November 2020 / Accepted: 16 November 2020 / Published: 19 November 2020

Abstract

:
The traditional methods for preparing magnesium aluminum layered double hydrotalcite (Mg2Al-CO3LDHs) in industry include coprecipitation and hydrothermal methods. Both these methods have the disadvantages of high preparation cost and complicated water washing process. Using Mg(OH)2, Al(OH)3, and CO2 as raw materials in this work, the Mg2Al-CO3 LDHs are successfully prepared by mechanochemical method, which solves the shortcomings of traditional preparation method and realizes the conversion and utilization of CO2 resource. The prepared Mg2Al-CO3 LDHs are evaluated as a heat stabilizer in poly(vinyl chloride) (PVC). The result indicates that, when 2.4 phr Mg2Al-CO3 LDHs, 0.3 phr ZnSt2, and 0.3 phr of zinc acetylacetonate are added to the PVC, the thermal stability time of PVC can reach 190 min, which is better than PVC containing commercial Mg2Al-CO3 LDHs. Meanwhile, its processing performance is basically the same as the PVC containing commercial Mg2Al-CO3 LDHs.

1. Introduction

Heat stabilizer is one of the most important categories in plastic additives, which is in sync with the birth and development of poly(vinyl chloride) (PVC). There are many types of heat stabilizers, among which traditional heat stabilizers include organic tin, organic antimony, lead salts, metal soaps, etc. [1,2]. Organotin-based heat stabilizers have excellent thermal stability, weather resistance, initial colorability, nontoxicity, transparency, among other excellent properties, and are currently the most widely used, most effective and promising class of heat stabilizers. However, its expensive price limits its widespread application [3,4]. Organic antimony stabilizers have good thermal stability, low price, and low toxicity, but they have poor light stability, and lubricity [5]. Lead salt stabilizers were widely used in PVC products due to their low cost and excellent performance. However, lead is a heavy metal that is harmful to humans and the environment [6]. Metal soap heat stabilizers are mainly Ca-Zn composite heat stabilizers. However, they may also have a “zinc burn” phenomenon even though they are inexpensive and non-toxic [7]. So, they need to be formulated with another auxiliary heat stabilizer to make a multi component complex formulation when added to PVC [8]. In general, there is an urgent need for a material that is not only inexpensive, non-toxic, and environmentally friendly, but also has excellent overall performance.
Layered double hydroxides (LDHs), also known as hydrotalcite-like compounds, are a class of compounds characterized by a layered structure. It has the generic formula [ M 1 x 2 + M x 3 + ( OH ) 2 ] x + ( A n ) x / n · mH 2 O where x = 0.2~0.33, M2+ is a divalent metal cation, M3+ is trivalent cation, and An− is non-framework charge compensating anion. Particularly, its structure may be positively charged by substituting a portion of divalent cations in the brucite lattice with trivalent cations, which the intercalation of anions between the layers balance the charge [9,10]. Due to its special layered structure, LDHs have controllability in the chemical composition of the cationic sheets, the type and number of the intercalated anions, and the size and distribution of the grains. Therefore, there are many kinds of hydrotalcites, which have broad application prospects in the fields of adsorption [11], medicine [12], catalysis [13], electrochemistry [14,15,16], flame-retardant [17,18], and photochemistry [19]. Moreover, it can also be used as a heat stabilizer for PVC [20]. In the 1980s, hydrotalcite was firstly found that when added to PVC materials had better thermal stability than PVC materials without adding hydrotalcite [10]. This set off a research upsurge concerning the application of hydrotalcite in PVC resin. Nowadays, as a typical layered double hydroxides, Mg-Al-CO3-LDHs has been widely used as a high-efficiency long-term stabilizer for calcium and zinc soap heat stabilization systems [21]. Generally, the synthesis methods of Mg-Al-hydrotalcite-based heat stabilizers include the co-precipitation method [22], ion exchange method [23], urea method [10], hydrothermal method [24], roasting recovery method [25], and nucleation/crystallization separation method [26]. However, these synthetic methods require a large amount of salt solution and alkaline solution, which results in the need to wash with a large amount of water in the later stage and produce low-value salt solutions and alkaline solutions. The production cost is too high and the raw material utilization rate is low. This runs counter to the goal of reducing production costs and environmental friendly.
Nowadays, the world-population and energy consumption are continuous increasing, which will consume a large amount of fossil energy and release the greenhouse gas CO2, causing serious environmental problems such as global warming. For the sustainable development of human society, it is urgent to develop new green technologies to realize the conversion and utilization of CO2 resource [27].
In this work, traditional corresponding salts were substituted with Mg(OH)2 and Al(OH)3 and CO2 was used as carbon sources, Mg2Al-CO3 LDHs were prepared by mechanochemical methods, the possible synthesis mechanisms were discussed as well. Meanwhile, the prepared Mg2Al-CO3 LDHs were formulated with Zn-based soap initial heat stabilizers to make multicomponent complex formulation and added to PVC to evaluate the thermal stability performance.

2. Experimental

2.1. Materials

PVC resin (S-65) was industrial grade (Formosa Plastics Co. Ltd., Ningbo, China). Mg(OH)2, Al(OH)3 and CO2 were of A.R. grade and dioctyl-phthalate (DOP). The water used in the experiment was deionized water.

2.2. Preparation of Hydrotalcite

Briefly, 11.6g (0.2 mol) Mg(OH)2 and 7.8 g (0.1 mol) Al(OH)3 were mixed, the grinding ball and the mixture were put into the grinding jar according to the ball-to-powder weight ratio of 10:1. The rotation speed was set at 400 r/min. After 5 h of ball milling in a planetary ball mill, the solid powder was transferred into a three-necked flask, then 100 mL water was added, 2.2 g (0.05 mol) CO2 was passed into the solution, the pH was controlled at 11. After stirring in a 95 °C water bath for 30 h, the reactant was filtered, washed, dried in an 80 °C drying oven for 12 h, and ground for use.

2.3. Material Characterization

The X-ray diffraction (XRD) analysis was performed using a D8 ADVANCE diffractometer (Bruker, German) with Cu-Kα targets (λ = 1.5406 Å) at a scanning rate of 8°/min, with 10~80° of the scanning range, and operated at a voltage of 40 kV and current of 40 mA.
The surface morphology of the samples were investigated via scanning electron microscope (SEM) study. The SEM measurements were carried out in Mira3 scanning electron microscope (Tescan, China). All samples were coated with a thin layer of gold prior to testing.
The fourier transform infrared spectroscopy (FTIR) study of the samples were carried out using a Nicolet iS5 (Thermo Fisher, Waltham, MA, USA) spectrometer at room temperature. The samples were crushed well and then examined in KBr pellets.
A TGA5500 thermogravimetric analysis instrument (Wakefield, MA, USA) was employed to analysis the sample stability, the sample was heated under an air flow from room temperature to 600 °C at a constant rate of 5 °C min−1.
The sample size was analyzed with MS2000 laser particle size analyzer (Malvern, UK). The sample was dispersed in absolute ethanol. After ultrasonication for 1 h, it was placed in the sample cell for particle size testing.

2.4. Thermal Stability Testing of PVC–LDHs Composites

The static thermal aging test, Congo red test and thermal weight loss test were used to evaluate the thermal stability of PVC-LDHs composites. The specific steps of the static thermal aging test were as follow: 100 g PVC resin, 70 mL DOP and a certain of stabilizers were mixed evenly and then added in a SK-160B plastics mixing mill (Shanghai Light Industry Machinery Co. Ltd., Shanghai, China) for 5 min at 175 °C to form films. In addition, a group of sample without heat stabilizers was as comparison. After that, the films were cut into 2 × 2 cm2 strips, which could be placed into a 180 °C oven for static thermal aging test. The color changes of the composites were recorded by a digital camera every 10 min. According to ISO standard 182-1:1990 (E), the specific steps of Congo red test were as follow: 2 g PVC strips were cut into pieces and added into a test tube, which a Congo red test paper was located at 3 cm above the sample. Then, the test tube was immersed in an oil bath at 190 °C to evaluate the thermal stability of the sample. The time required for the Congo red paper to change from red to blue was recorded and repeated three times to take the average. The specific steps of the thermal weight loss test were as follows: 10 g PVC resin, 7 mL DOP, and certain stabilizers were mixed evenly and then transferred into the porcelain boats. The porcelain boats were placed into an oven with a temperature of 190 °C and took out every certain time to weigh and calculate the weight loss.

3. Results and Discussion

3.1. Characterization of Mg2Al-CO3 LDHs

In order to explore the crystal form of the prepared sample and the mixture after ball milling, XRD analyses of the samples are carried out and the result is shown in Figure 1. It can be clearly seen from the figure that the sample a has obvious characteristic diffraction peaks at 2θ = 11.66°, 23.46°, 34.80°, 39.38°, 46.84°, 60.72°, and 62.13, respectively, corresponding to the 003, 006, 222, 225, 228, 600 and 603 crystal planes, which matches the standard card (Chao and Gault, 1997) of Mg4Al2(OH)12CO3·3H2O (PDF# 51-1525). According to Bragg’s law, the d-values between standard card and prepared LDHs are indicated in Table 1. As shown in Table 1, the d-values of the standard card and the prepared LDH at the 003, 006 crystal plane are almost identical, which indicates that the sample a is typical hydrotalcite layered structure. The baseline is stable, the peak width is narrow and sharp, and there is no obvious impurity peak, indicating that the Mg2Al-CO3 LDHs are successfully synthesized. Curve b has strong Mg(OH)2 and Al(OH)3 characteristic diffraction peaks, and there is a weak and wide diffraction peak at 2θ = 11.66°, corresponding to the 003 crystal planes of Mg4Al2(OH)12CO3·3H2O. It indicates that there is almost no reaction of the raw materials in the sample, and only a small amount of amorphous LDH is generated. The reason for this is that, under mechanical force effects, such as impact force, shear force, pressure, etc., the mixture sample will undergo crystal lattice distortion and particle amorphization, and its structure will form an amorphous layer after being strongly damaged.
In order to explore the morphology of the samples, SEM microphotographs of the samples are shown in Figure 2. It can be clearly seen from the images that the morphology of sample a exhibits a regular hexagonal structure, and the sheets are stacked together, which is a typical layered hydrotalcite structure. The crystal size of sample a is 300~500 nm and the thickness is about 30 nm. It shows that sample a has small crystal size, and its size is uniform, the crystal morphology is regular, which is consistent with the XRD pattern result. Sample b exhibits a flaky structure with only a small amount of hexagonal structure and uneven crystal size, indicating that mechanical grinding cannot directly synthesize Mg2Al-CO3 LDHs, and it needs to be crystallized for a certain time under certain temperature conditions.
Figure 3 is a comparison diagram of the particle size of the Mg(OH)2 and Al(OH)3 mixture samples before and after the ball milling process. Figure 3a is the particle size diagram of the mixture before ball milling, it can be seen that the particle size distribution of the mixture sample is relatively concentrated, with an average particle size of 1224 nm. Figure 3b is the particle size diagram of the mixture after ball milling. It can be seen from the figure that the particle size distribution of the mixture is also relatively concentrated, with an average particle diameter of 1041 nm. It is found that the average particle size of the sample after ball milling process is reduced by 14.95%. During the ball milling process, the particles of the mixture are continuously subjected to intense shearing, friction, impact, and grinding, which reduces the grain size of the mixture sample. The crystals in the mixture undergo plastic deformation, and dislocations multiply and move. Mechanical energy is converted into chemical energy and stored in the crystal defects, which increases the chemical reaction activity of the mixture and greatly reduces the reaction activation energy [28].
In order to further explore the relevant information of the types of interlayer anions, crystal water and lattice oxygen vibration in the prepared sample, infrared spectroscopy analysis is carried out and the result is shown in Figure 4. It is found that the prepared sample showes a broad absorption peak around 3460 cm−1, which is due to the stretching vibration of the hydroxyl attached to the metal ion and the interlayer water molecules. The absorption peaks of the prepared sample at 1362 cm−1 is the splitting peaks of the CO asymmetric stretching vibration in the CO32− group. It indicates that the carbonate anion is successfully inserted between the layers. The peaks appearing in the low wave number band represent lattice vibrational vibrations of Mg-O, Al-O, and Al-O-Mg. Among them, the stretching vibration of Al-O bond is near 785 cm−1 and 553 cm−1 [22].
Figure 5 shows the thermogravimetric-differential thermal analysis (TG-DTA) curve of the prepared sample. It can be seen from the figure that the sample has two obvious stages of mass loss. The first stage (~14%) is between 30 °C and 235 °C, mainly due to the loss of surface absorbed and intercalated water molecules. It can be expressed by the Equation (1).
Mg 4 Al 2 ( OH ) 12 CO 3 · 3 H 2 O Mg 4 Al 2 ( OH ) 12 CO 3 + 3 H 2 O
The second stage (~28%) is between 235 °C and 450 °C, mainly due to the decompose of hydroxyl in the layer and carbonate ion between the layers [29]. It can be expressed by the Equation (2).
Mg 4 Al 2 ( OH ) 12 CO 3 3 MgO + MgAl 2 O 4 + 6 H 2 O + CO 2
The first endothermic peak at 225 °C corresponds to the removal of crystallization water. The second and third peaks at 334 °C and 399 °C corresponds to the dehydroxylation of aluminum hydroxide and magnesium hydroxide, respectively [22].
As shown in Figure 6, the weighed mixture is added to a ball mill pot, and the LDH precursor is generated under the action of mechanical force [30,31], which can be combined with carbonate ions in an alkaline solution to form Mg2Al-CO3 LDHs after stirring 30 h. According to previous studies, the formation mechanism of Mg2Al-CO3 LDHs prepared by Mg(OH)2, Al(OH)3 is similar to the formation mechanism of hydrotalcite prepared by co-precipitation. A possible formation mechanism of Mg2Al-CO3 LDHs prepared by cleaning method occurred according to the following reaction.
CO 2 + 2 OH CO 3 2 + H 2 O
Al ( OH ) 3 + OH AlO 2 + 2 H 2 O Al ( OH ) 4
Mg ( OH ) 2 + xAl ( OH ) 4 Mg 1 x Al x ( OH ) 2 x + + xMg ( OH ) 2   + 2 xOH
Mg 1 x Al x ( OH ) 2 x + + 1 / 2 xCO 3 2 + mH 2 O Mg 1 x Al x ( OH ) 2 ( CO 3 ) 1 / 2 x · mH 2 O
In Equation (3), CO2 is absorbed by lye and converted into CO32−. In Equation (4), in an alkaline system, Al(OH)3 reacts with OH to produce Al ( OH ) 4 . In Equation (5), Al ( OH ) 4 diffuses into the octahedral voids of OH accumulation in brucite. Among them, Al3+ enters into the octahedral void, substituting a portion of Mg2+ in the brucite lattice, forming a coordination structure. This octahedral structure unit forms a network structure through stacking and different connection methods. During the formation of the network structure, defects will inevitably be formed, such as holes and incomplete coordination, resulting in the crystal layer being positively charged. Then, in Equation (6), in order to balance the positive charge carried by the laminate, CO 3 2 in the solution intercalates into the interlayer through electrostatic interaction, hydrogen bonding and van der Waals force to balance the positive charge on the laminate and gradually forms the hydrotalc structure [32,33].
4 Mg ( OH ) 2 + 2 Al ( OH ) 3 + CO 2 + 2 H 2 O Mg 4 Al 2 ( OH ) 12 CO 3 · 3 H 2 O
Equation (7) is the reaction equation, in which the crystal water in hydrotalcite are all from the solution. It can be seen from the Equation (7) that the reactant raw materials are fully utilized.

3.2. Thermal Stability of Mg2Al-CO3 LDHs on PVC

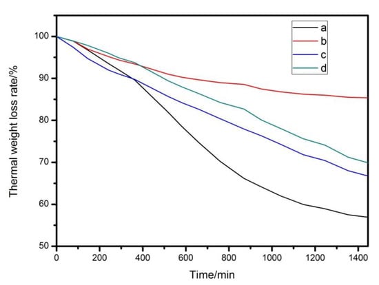
In order to explore the synergistic thermal stability of Mg2Al-CO3 LDHs with other stabilizers on PVC, the thermal stability of the samples have been tested. The result of Congo red test of PVC samples are shown in Table 2, and the results of the static oven thermal aging test and thermal weight loss test are shown in Figure 7 and Figure 8. When the Congo red time is longer and the quality loss of PVC in the static oven experiment is less, indicating that the thermal stability of PVC is better.
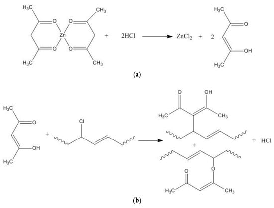
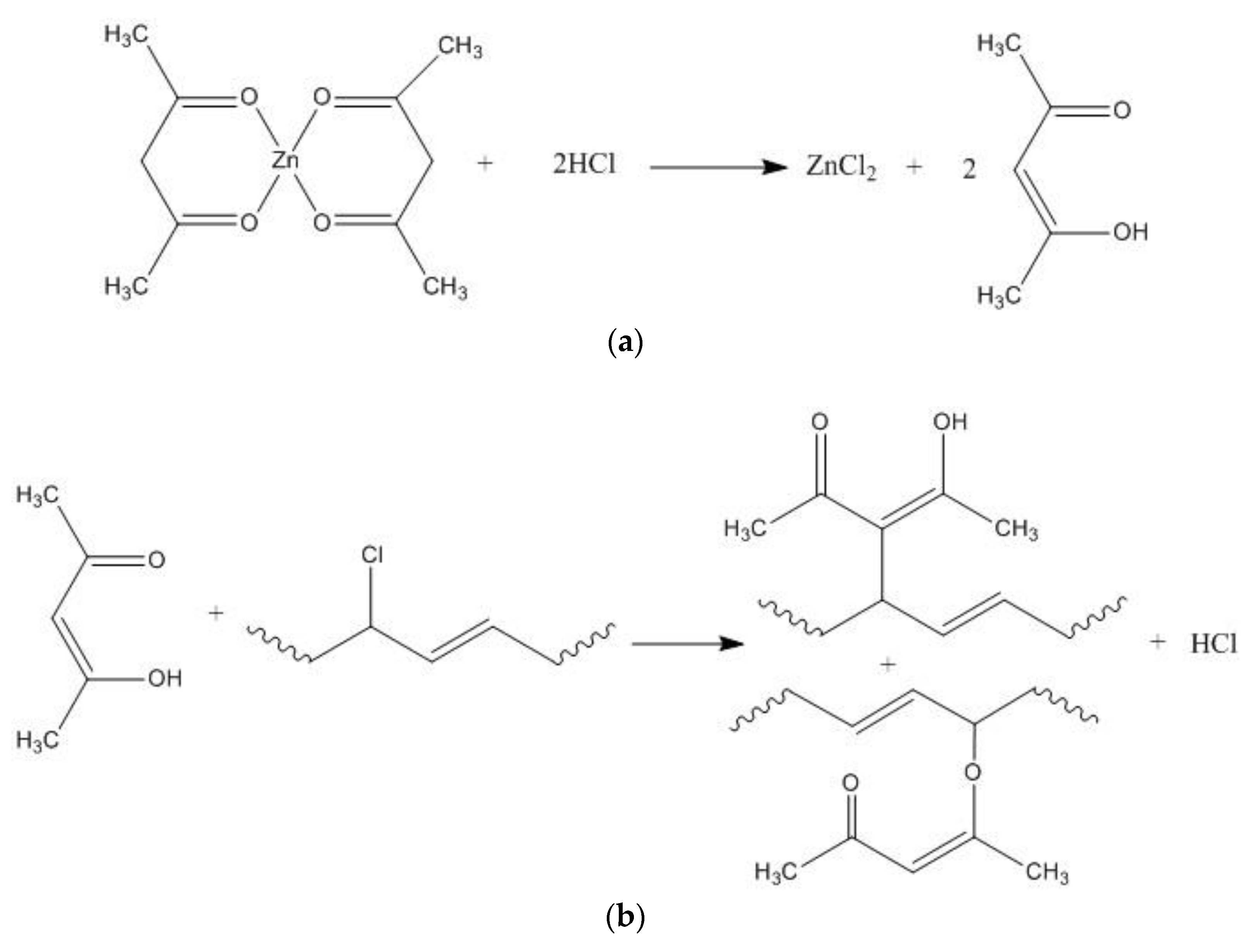
As shown in Figure 7a and Figure 8, the sample without any addition of heat stabilizer has been completely turned black at 20 min, its thermal stability time is only 8 min according to Congo red test, and it has a weight retention rate of 56.92% at 1440 min under 190 °C condition. Sample with Mg2Al-CO3 LDHs addition amount of 3 phr begin to color at 20 min and completely turn black at 80 min as shown in Figure 7b. And it has the weight retention rate of 85.37% at 1440 min. Meanwhile, its thermal stability time is 30 min, which is 22 min longer than the sample without any addition of heat stabilizer but it still has a poor initial thermal stability. That is because Mg2Al-CO3 LDHs belongs to a long-term thermal stabilizer, so it is necessary to add an initial thermal stabilizer into it. Here, zinc stearate (ZnSt2) is used as an initial heat stabilizer. As shown in Figure 7c, the sample added with ZnSt2 completely turned black at 30 min, has a “zinc burn” phenomenon, its thermal stability time is 12 min. Meanwhile, it has the weight retention rate of 66.74%, which is higher than pure PVC. In Figure 7d, the sample added with LDHs and ZnSt2 does not start coloring until 100 min, and has been completely turned black at 160 min. Its thermal stability time is 36 min, which depends on the synergistic effect of LDHs and ZnSt2. This is because the fatty acid radicals in zinc stearate can react with allyl chloride on the PVC polymer chain, which can partially eliminate the unstable structure in the long chain of PVC and reduce the initial thermal decomposition rate of PVC. In addition, zinc stearate can absorb HCl gas in the system, and the specific reaction can be expressed by Equations (8) and (9).
2 RCH = CHCH 2 Cl   +   Zn ( C 17 H 35 COO ) 2 2 R + ZnCl 2 + 2 C 17 H 35 COOCH 2
Zn ( C 17 H 35 COO ) 2 + 2 HCl   ZnCl 2   +   2 C 17 H 35 COOH
At the same time, it has a weight retention rate of 69.91%, the reason for the decrease in weight retention rate after adding ZnSt2 is that the decomposition product ZnCl2 is a strong Lewis acid, which will catalyze the degradation of PVC [7].
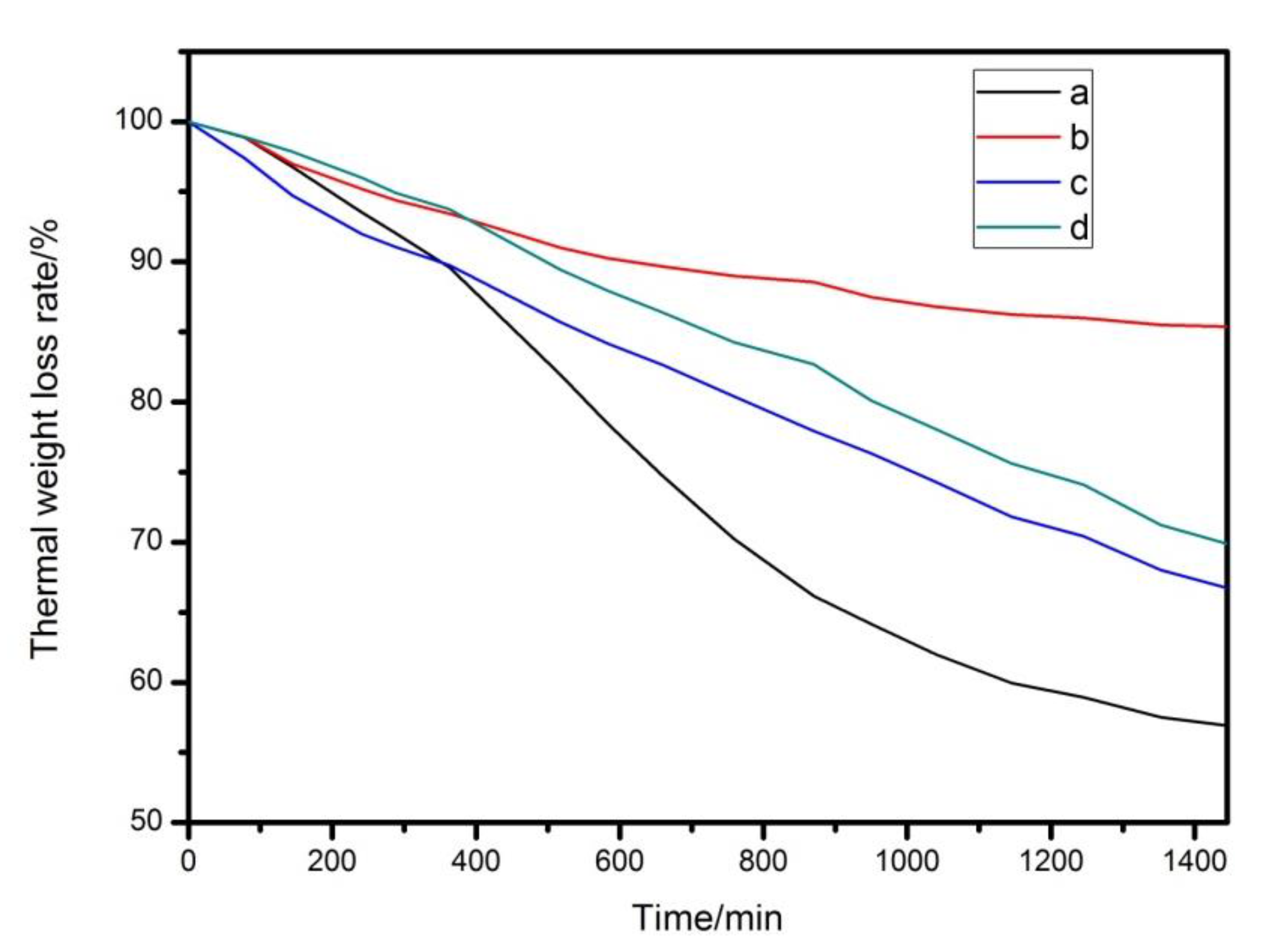
In order to compare the thermal stability of PVC containing commercial Mg2Al-CO3 LDHs with the experimentally prepared Mg2Al-CO3 LDHs, different content of the auxiliary heat stabilizer zinc acetylacetonate compound with experimentally prepared Mg2Al-CO3 LDHs and zinc stearate, then are added to PVC. The result of Congo red test of PVC samplesare shown in Table 3. The results of the static oven thermal aging test and thermal weight loss test are shown in Figure 9 and Figure 10.
The sample containing commercial Mg2Al-CO3 LDHs does not start coloring until 110 min, and completely turn black at 170 min, which is 10 min longer than the sample containing experimentally prepared Mg2Al-CO3 LDHs as shown in Figure 9a,b. The reason is that small amounts of additivesuch as stearic acid is added to commercial Mg2Al-CO3 LDHs, which can slightly improve its thermal performance. As shown in Figure 9b–f, the samples added with zinc acetylacetonate effectively improved the whiteness in the initial and slightly improved the long-term thermal stability of PVC.
As the content of zinc acetylacetonate increases, the initial and long-term thermal stability of the PVC samples gradually improve, especially the sampled with 0.2 phr zinc acetylacetonate added, which begins to color at 130 min, and completely turn black at 190 min, which is 20 min longer than the sample containing commercial Mg2Al-CO3 LDHs.Zinc acetylacetonate belongs to β-diketone, which is a kind of auxiliary heat stabilizer. The mechanism of action of zinc acetylacetonate as auxiliary heat stabilizer can be represented in Figure 11. As shown in Figure 11a, zinc acetylacetonate can effectively absorb the HCl gas generated by the thermal degradation of PVC, and the conversion product is acetylacetone. Figure 11b shows that acetylacetone can replace the active allyl Cl atoms on the PVC polymer chain under the catalytic action of ZnCl2, reducing the active sites on the PVC polymer chain. Meanwhile, acetylacetone can also be cross-linked with PVC polymer chains to form a stable structure [34].
However, as the content of zinc acetylacetonate continued to increase, the initial and long-term thermal stability of the PVC sample decreased when the addition amount is 0.4 phr as shown in Figure 9f. This is because as the content of zinc acetylacetonate increased, more ZnCl2 is produced in the system, which will catalyze the thermal degradation of PVC due to its strong Lewis acidity [7], the initial and long-term thermal stability performance will decrease.
As shown in Table 3 and Figure 10, the thermal stability time of PVC sample containing commercial LDHs is 38 min, which is 3 min longer than experimentally prepared LDHs, and it has a weight retention rate of 74.63% at 1440 min. However, as the content of zinc acetylacetonate increased, the thermal stability time and weight retention rate of PVC sample increases first and then decreases, when 0.3 phr zinc acetylacetonate is added, the PVC sample has a maximum thermal stability time of 46 min, which is 7 min longer than commercial LDHs. Meanwhile, it has weight retention rate of 73.53% at 1440 min. The Congo red test and thermal weight loss test demonstrate the same conclusion as the static oven thermal aging test.
Therefore, when 0.3 phr of zinc acetylacetonate, 2.4 phr Mg2Al-CO3 LDHs, and 0.6 phr ZnSt2 are added to the PVC, the thermal stability of PVC is the best.

3.3. Processing Performance Test of Compound Heat Stabilizer Added to PVC

In order to explore the difference in processing performance between the experimentally prepared Mg2Al-CO3 LDHs and commercial Mg2Al-CO3 LDHs, a torque rheometer is carried out to test them. The balanceable torque and the mixing process energy were carried out by a Torque Rheometer ZJL-200 (Chang Chun Intelligent Apparatus Co. Ltd., Changchun, China) at 190 °C at a speed of 40 r/min for 10 min.
The recipe of the samples are shown in Table 4, the rheological curves are shown in Figure 12 and their rheological data are shown in Table 5.
It can be seen from Figure 12 and Table 5 that the order of maximum torque of the three samples is b > c >a, the balance torque is c > a > b, the melting time is a > c > b, melting temperature is a > c > b, and the balance temperature is c > a > b. The comparison of the three samples show that the maximum torque of sample a is the smallest, which is 20.68 Nm, indicating that its melt viscosity is low, the melt fluidity is the best, which is the easiest to process. Moreover, it has the longest melting time 32 s, and the highest melting temperature 160.3 °C, indicating that sample a is the most difficult to plasticize. Compared with the sample containing commercial Mg2Al-CO3 LDHs, the maximum torque of the sample containing experimentally prepared Mg2Al-CO3 LDHs is larger, and the melting time is shorter, indicating that its plasticization is faster, the viscosity of the melt is larger, is harder to process, and the external lubricity of PVC composite is poorer [35]. It is necessary to improve the external lubricity and balance the internal and external lubrication. Both the balance torque and the balance temperature of sample b are low, indicating that PVC compounds consume the least energy during processing. Comparing the sample adding zinc acetylacetonate with the sample without zinc acetylacetonate, the maximum torque is reduced at 21.55 Nm, and the balance torque, balance temperature, the melting time and melting temperature are slightly increased, indicating that the addition of the auxiliary thermal stabilizer zinc acetylacetonate increases the external lubricity of the PVC composite and improves the processing flow properties of the PVC composite. In summary, their processing performance is basically the same, as the processing performance and thermal stability of the prepared samples have reached the commercial level.

4. Conclusions

Through mechanochemical methods, the Mg2Al-CO3 LDHs were successfully prepared by Mg(OH)2, Al(OH)3, and CO2. This method is simple in process, low in cost, high in materials utilization rate, and suitable for large-scale production.
The samples Mg2Al-CO3 LDHs were used as a heat stabilizer in PVC. The result shows that when 2.4 phr Mg2Al-CO3 LDHs, 0.3 phr ZnSt2 and 0.3 phr of zinc acetylacetonate are added to the PVC, the thermal stability time of PVC can reach 190 min under 180 °C oven test conditions, which is 20 min longer than the PVC composite containing 2.4 phr commercial Mg2Al-CO3 LDHs and 0.6 phr ZnSt2. Meanwhile, the result of Congo red test shows that its thermal stability time is 46 min, which is 7 min longer than the time of commercial Mg2Al-CO3 LDHs. Moreover, its processing performance is basically the same as the PVC containing commercial Mg2Al-CO3 LDHs.

Author Contributions

Conceptualization, Z.Y.; methodology, Z.Y. and Y.J.; software, Y.J. and L.C.; validation, Z.Y. and Y.J.; formal analysis, Z.Y. and Y.J.; investigation, Y.J. and Q.S.; resources, Z.Y.; data curation, Y.J., J.W. and J.M.; writing-original draft preparation, Y.J. and Q.S.; writing-review and editing, Z.Y., Y.J. and L.C.; visualization, Y.J. and Q.S.; supervision, Z.Y.; project administration, Z.Y.; funding acquisition, Z.Y. All authors have read and agreed to the published version of the manuscript.

Funding

This research was funded by [Nature Science foundation of Hunan Provincial] grant number [2 020JJ4734].

Conflicts of Interest

To the best of our knowledge, the named authors have no conflict of interest, financial or otherwise.

References

  1. Yang, H.; Yang, Z.H. The effect of sodium stearate-modified hydrocalumite on the thermal stability of poly(vinyl chloride). J. Appl. Polym. Sci. 2018, 135, 45758. [Google Scholar] [CrossRef]
  2. Korkusuz, Ç.; Demir, A.P.T. Evaluation of the thermal stabilization behavior of hydrotalcite against organic stabilizers for plasticized PVC films. Polym. Bull. 2019, 77, 4805–4831. [Google Scholar] [CrossRef]
  3. Mohamed, N.A.; Sabaa, M.W.; Oraby, E.H.; Yassin, A.A. Organic thermal stabilizers for rigid poly(vinyl chloride) VII. Effect of mixing 2-benzimidazolyl-omega-phenylpropenylidineacetonitrile with some commercial stabilizers. Polym. Degrad. Stab. 2003, 79, 495–501. [Google Scholar] [CrossRef]
  4. Xu, X.; Chen, S.; Tang, W.; Qu, Y.; Wang, X. Synthesis and application of uracil derivatives as novel thermal stabilizers for rigid poly(vinyl chloride). Polym. Degrad. Stab. 2013, 98, 659–665. [Google Scholar] [CrossRef]
  5. Shu, W.Y.; Liu, Y.N.; Chen, Q.Y. Synthesis of antimony tris(mercaptoethyl carboxylates) as thermal stabilizer for polyvinyl chloride. Trans. Nonferrous Metal Soc. China 2002, 12, 997–1000. [Google Scholar]
  6. Gupta, S.; Agarwal, D.; Banerjee, S. Thermal stabilization of poly(vinyl chloride) by hydrotalcites, zeolites, and conventional stabilizers. J. Vinyl Addit. Technol. 2009, 15, 164–170. [Google Scholar] [CrossRef]
  7. Xu, X.; Chen, S.; Tang, W.; Qu, Y.; Wang, X. Investigation of basic zinc cyanurate as a novel thermal stabilizer for poly(vinyl chloride) and its synergistic effect with calcium stearate. Polym. Degrad. Stab. 2014, 99, 211–218. [Google Scholar] [CrossRef]
  8. Wang, M.; Xu, J.; Wu, H.; Guo, S. Effect of pentaerythritol and organic tin with calcium/zinc stearates on the stabilization of poly(vinyl chloride). Polym. Degrad. Stab. 2006, 91, 2101–2109. [Google Scholar] [CrossRef]
  9. Liu, L.; Cheng, M.; Yang, Z. Improved performance of flower-like ZnAl LDH growing on carbon nanotubes used in zinc–nickel secondary battery. Electrochim. Acta 2018, 277, 67–76. [Google Scholar] [CrossRef]
  10. Wang, G.; Yang, M.; Li, Z.; Lin, K.; Jin, Q.; Xing, C.; Hu, Z.; Wang, D. Synthesis and characterization of Zn-doped MgAl-layered double hydroxide nanoparticles as PVC heat stabilizer. J. Nanopart. Res. 2013, 15, 1882. [Google Scholar] [CrossRef]
  11. Halajnia, A.; Oustan, S.; Najafi, N.; Khataee, A.; Lakzian, A. Adsorption–desorption characteristics of nitrate, phosphate and sulfate on Mg–Al layered double hydroxide. Appl. Clay Sci. 2013, 80–81, 305–312. [Google Scholar] [CrossRef]
  12. Takahashi, N.; Hata, H.; Kuroda, K. Anion Exchangeable Layered Silicates Modified with Ionic Liquids on the Interlayer Surface. Chem. Mater. 2010, 22, 3340–3348. [Google Scholar] [CrossRef]
  13. Meloni, D.; Monaci, R.; Solinas, V.; Auroux, A.; Dumitriu, E. Characterisation of the active sites in mixed oxides derived from LDH precursors by physico-chemical and catalytic techniques. Appl. Catal. A Gen. 2008, 350, 86–95. [Google Scholar] [CrossRef]
  14. Huang, J.; Yang, Z.-H.; Wang, R.; Zhang, Z.; Feng, Z.; Xie, X. Zn–Al layered double oxides as high-performance anode materials for zinc-based secondary battery. J. Mater. Chem. A 2015, 3, 7429–7436. [Google Scholar] [CrossRef]
  15. Jiang, Y.; Yang, Z.; Liu, L.; Meng, J.; Cui, F. Zn-Al layered double hydroxide growing on the substrate of graphene and polypyrrole composite as anode material for Zn-Ni secondary battery. Mater. Lett. 2019, 255, 126558. [Google Scholar] [CrossRef]
  16. Meng, J.; Yang, Z.; Liu, L.; Cui, F.; Jiang, Y. The in-situ growth of zinc-aluminum hydrotalcite on hollow carbon spheres and its application as anode material with long cycle life for zinc-nickel secondary battery. J. Alloys Compd. 2019, 809, 151842. [Google Scholar] [CrossRef]
  17. Hu, X.; Zhu, X.; Sun, Z. Efficient flame-retardant and smoke-suppression properties of MgAlCO3-LDHs on the intumescent fire retardant coating for steel structures. Prog. Org. Coat. 2019, 135, 291–298. [Google Scholar] [CrossRef]
  18. Hu, X.; Zhu, X.; Sun, Z. Fireproof performance of the intumescent fire retardant coatings with layered double hydroxides additives. Constr. Build. Mater. 2020, 256, 119445. [Google Scholar] [CrossRef]
  19. Liu, Y.; Yang, Z.; Xie, X.; Huang, J.; Wen, X. Layered Double Oxides Nano-flakes Derived from Layered Double Hydroxides: Preparation, Properties and Application in Zinc/Nickel Secondary Batteries. Electrochim. Acta 2015, 185, 190–197. [Google Scholar] [CrossRef]
  20. Yan, J.; Yang, Z. Intercalated hydrotalcite-like materials and their application as thermal stabilizers in poly(vinyl chloride). J. Appl. Polym. Sci. 2017, 134, 44896. [Google Scholar] [CrossRef]
  21. Yi, S.; Yang, Z.; Wang, S.-W.; Liu, D.-R.; Wang, S.-Q.; Liu, Q.-Y.; Chi, W.-W. Effects of MgAlCe-CO3 layered double hydroxides on the thermal stability of PVC resin. J. Appl. Polym. Sci. 2011, 119, 2620–2626. [Google Scholar] [CrossRef]
  22. Lin, Y.-J.; Li, D.-Q.; Evans, D.G.; Duan, X. Modulating effect of Mg–Al–CO3 layered double hydroxides on the thermal stability of PVC resin. Polym. Degrad. Stab. 2005, 88, 286–293. [Google Scholar] [CrossRef]
  23. Zhang, X.; Zhao, T.; Pi, H.; Guo, S. Preparation of intercalated Mg-Al layered double hydroxides and its application in PVC thermal stability. J. Appl. Polym. Sci. 2011, 124, 5180–5186. [Google Scholar] [CrossRef]
  24. Zhao, X.; Cao, J.-P.; Zhao, J.; Hu, G.-H.; Dang, Z.-M. A hybrid Mg–Al layered double hydroxide/graphene nanostructure obtained via hydrothermal synthesis. Chem. Phys. Lett. 2014, 605–606, 77–80. [Google Scholar] [CrossRef]
  25. Gupta, S.; Agarwal, D.D.; Banerjee, S. Role of Hydrotalcites Cations in Thermal Stabilization of Poly (Vinyl Chloride). Int. J. Polym. Mater. 2012, 61, 124–135. [Google Scholar] [CrossRef]
  26. Zhao, Y.; Li, F.; Zhang, R.; Evans, A.D.G.; Duan, X. Preparation of Layered Double-Hydroxide Nanomaterials with a Uniform Crystallite Size Using a New Method Involving Separate Nucleation and Aging Steps. Chem. Mater. 2002, 14, 4286–4291. [Google Scholar] [CrossRef]
  27. Zhao, T.-T.; Feng, G.-H.; Chen, W.; Song, Y.-F.; Dong, X.; Li, G.-H.; Zhang, H.-J.; Wei, W. Artificial bioconversion of carbon dioxide. Chin. J. Catal. 2019, 40, 1421–1437. [Google Scholar] [CrossRef]
  28. Bao, T.N.; Tegus, O.; Hasichaolu; Ning, J.; Narengerile. Preparation of Black Phosphorus by the Mechanical Ball Milling Method and its Characterization. Solid State Phenom. 2018, 271, 18–22. [Google Scholar] [CrossRef]
  29. Zhitova, E.S.; Greenwell, H.C.; Krzhizhanovskaya, M.G.; Apperley, D.C.; Pekov, I.V.; Yakovenchuk, V.N. Thermal Evolution of Natural Layered Double Hydroxides: Insight from Quintinite, Hydrotalcite, Stichtite, and Iowaite as Reference Samples for CO3- and Cl-Members of the HydrotalciteSupergroup. Minerals 2020, 10, 961. [Google Scholar] [CrossRef]
  30. Wang, B.; Qu, J.; Li, X.; He, X.; Zhang, Q. Precursor Preparation to Promote the Adsorption of Mg-Al Layered Double Hydroxide. J. Am. Ceram. Soc. 2016, 99, 2882–2885. [Google Scholar] [CrossRef]
  31. Li, Z.; Chen, M.; Ai, Z.; Wu, L.; Zhang, Q. Mechanochemical synthesis of CdS/MgAl LDH-precursor as improved visible-light driven photocatalyst for organic dye. Appl. Clay Sci. 2018, 163, 265–272. [Google Scholar] [CrossRef]
  32. Eliseev, A.; Lukashin, A.V.; Vertegel, A.A.; Tarasov, V.P.; Tret’Yakov, Y.D. A Study of Crystallization of Mg–Al Double Hydroxides. Dokl. Chem. 2002, 387, 339–343. [Google Scholar] [CrossRef]
  33. Yang, Y.; Zhao, X.; Zhu, Y.; Zhang, F. Transformation Mechanism of Magnesium and Aluminum Precursor Solution into Crystallites of Layered Double Hydroxide. Chem. Mater. 2011, 24, 81–87. [Google Scholar] [CrossRef]
  34. Belhanechebensemra, N.; Van, H.T.; Guyot, A.; Gay, M.; Carette, L. Thermal dehydrochlorination and stabilization of poly(vinylchloride) in solution: Part IV—Synergistic effects of β-diketone compounds and metal soap stabilizers. Polym. Degrad. Stab. 1989, 24, 89–111. [Google Scholar] [CrossRef]
  35. Shnawa, H.A. Characterization of processing, rheological and dynamic mechanical thermal properties of PVC stabilized with polyphenol-based thermal stabilizer. J. Therm. Anal. Calorim. 2020, 139, 125–135. [Google Scholar] [CrossRef]
Figure 1. XRD patterns of Mg2Al-CO3 LDHs prepared with (a) CO2 and (b) noneas carbon sources.
Figure 1. XRD patterns of Mg2Al-CO3 LDHs prepared with (a) CO2 and (b) noneas carbon sources.
Materials 13 05223 g001
Figure 2. SEM images of Mg2Al-CO3 LDHs prepared with (a) CO2 and (b) noneascarbon sources.
Figure 2. SEM images of Mg2Al-CO3 LDHs prepared with (a) CO2 and (b) noneascarbon sources.
Materials 13 05223 g002
Figure 3. Comparison diragram of particle size (a) before and (b) after ball milling process.
Figure 3. Comparison diragram of particle size (a) before and (b) after ball milling process.
Materials 13 05223 g003
Figure 4. Infrared spectra of Mg2Al-CO3 LDHs prepared by CO2 as carbon sources.
Figure 4. Infrared spectra of Mg2Al-CO3 LDHs prepared by CO2 as carbon sources.
Materials 13 05223 g004
Figure 5. TG-DTA curve of Mg2Al-CO3 LDHs prepared by basic magnesium carbonate as carbon source.
Figure 5. TG-DTA curve of Mg2Al-CO3 LDHs prepared by basic magnesium carbonate as carbon source.
Materials 13 05223 g005
Figure 6. Schematic diagram of mechanochemical preparation method of Mg2Al-CO3LDHs.
Figure 6. Schematic diagram of mechanochemical preparation method of Mg2Al-CO3LDHs.
Materials 13 05223 g006
Figure 7. Thermal stability of (a) pure PVC and composites of (b) PVC + LDHs, (c) PVC + ZnSt2 and (d) PVC + LDHs + ZnSt2.
Figure 7. Thermal stability of (a) pure PVC and composites of (b) PVC + LDHs, (c) PVC + ZnSt2 and (d) PVC + LDHs + ZnSt2.
Materials 13 05223 g007
Figure 8. Thermal weight loss rate of (a) pure PVC and composites of (b) PVC + LDHs, (c) PVC + ZnSt2 and (d) PVC + LDHs + ZnSt2.
Figure 8. Thermal weight loss rate of (a) pure PVC and composites of (b) PVC + LDHs, (c) PVC + ZnSt2 and (d) PVC + LDHs + ZnSt2.
Materials 13 05223 g008
Figure 9. Thermal stability of (a) PVC + commercial LDHs + ZnSt2, and composite PVC + experimentally prepared LDHs + ZnSt2 + (b) 0, (c) 0.1, (d) 0.2, (e) 0.3 and (f) 0.4 phr Zinc acetylacetonate.
Figure 9. Thermal stability of (a) PVC + commercial LDHs + ZnSt2, and composite PVC + experimentally prepared LDHs + ZnSt2 + (b) 0, (c) 0.1, (d) 0.2, (e) 0.3 and (f) 0.4 phr Zinc acetylacetonate.
Materials 13 05223 g009
Figure 10. Thermal weight loss rate of (a) PVC + commercial LDHs + ZnSt2, and composite PVC + experimentally prepared LDHs + ZnSt2 + (b) 0, (c) 0.1, (d) 0.2, (e) 0.3 and (f) 0.4 phr Zinc acetylacetonate.
Figure 10. Thermal weight loss rate of (a) PVC + commercial LDHs + ZnSt2, and composite PVC + experimentally prepared LDHs + ZnSt2 + (b) 0, (c) 0.1, (d) 0.2, (e) 0.3 and (f) 0.4 phr Zinc acetylacetonate.
Materials 13 05223 g010
Figure 11. Mechanism of action of zinc acetylacetonate as auxiliary heat stabilizer. (a) absorb acid; (b) PVC polymer chains crosslinking.
Figure 11. Mechanism of action of zinc acetylacetonate as auxiliary heat stabilizer. (a) absorb acid; (b) PVC polymer chains crosslinking.
Materials 13 05223 g011
Figure 12. Rheological curvesof composite of PVC + ZnSt2 + (a) commercial LDHs, or (b) experimentally prepared LDHs, or (c) experimentally prepared LDHs + Zinc acetylacetonate.
Figure 12. Rheological curvesof composite of PVC + ZnSt2 + (a) commercial LDHs, or (b) experimentally prepared LDHs, or (c) experimentally prepared LDHs + Zinc acetylacetonate.
Materials 13 05223 g012
Table 1. Crystal parameters of LDHs.
Table 1. Crystal parameters of LDHs.
Sampled003d006d222d225d228d600d603
Standard card7.5703.7782.5702.2811.9321.5241.493
a7.5863.7892.5762.2861.9381.5241.493
Table 2. The result of Congo red test of PVC samples.
Table 2. The result of Congo red test of PVC samples.
LabelPVC/gLDHs/phrZnSt2/phrThermal Stability Time of PVC Samples (min)
a100008
b1003.0030
c10000.612
d1002.40.636
Table 3. The result of Congo red test of zinc acetylacetonate added to the PVC samples.
Table 3. The result of Congo red test of zinc acetylacetonate added to the PVC samples.
LabelLDHs CategoryPVC/gLDHs/phrZnSt2/phrZinc Acetylacetonate/phrThermal Stability Time of PVC Samples (min)
acommercial1002.40.6039
bexperimental1002.40.6036
cexperimental1002.40.50.138
dexperimental1002.40.40.245
eexperimental1002.40.30.346
fexperimental1002.40.20.441
Table 4. Rheology test recipe of the samples.
Table 4. Rheology test recipe of the samples.
LabelPVC/gDOP/gCaCO3/gStearic Acid/gLDHs CategoryLDHs/phrZnSt2/phrzinc Acetylacetonate/phr
a10010300.5commercial2.40.60
b10010300.5experimental2.40.60
c10010300.5experimental2.40.30.3
Table 5. Rheological data of the samples.
Table 5. Rheological data of the samples.
LabelMaximum Torque/(Nm)Balance Torque/(Nm)Melting Time/sMelting Temperature/°CBalance Temperature/°C
A20.689.7332160.3193.0
B22.099.3526159.8192.7
C21.5510.9127160.1193.5
Publisher’s Note: MDPI stays neutral with regard to jurisdictional claims in published maps and institutional affiliations.

Share and Cite

MDPI and ACS Style

Jiang, Y.; Yang, Z.; Su, Q.; Chen, L.; Wu, J.; Meng, J. Preparation of Magnesium-Aluminum Hydrotalcite by Mechanochemical Method and Its Application as Heat Stabilizer in poly(vinyl chloride). Materials 2020, 13, 5223. https://doi.org/10.3390/ma13225223

AMA Style

Jiang Y, Yang Z, Su Q, Chen L, Wu J, Meng J. Preparation of Magnesium-Aluminum Hydrotalcite by Mechanochemical Method and Its Application as Heat Stabilizer in poly(vinyl chloride). Materials. 2020; 13(22):5223. https://doi.org/10.3390/ma13225223

Chicago/Turabian Style

Jiang, Yinan, Zhanhong Yang, Qingsong Su, Linlin Chen, Jian Wu, and Jinlei Meng. 2020. "Preparation of Magnesium-Aluminum Hydrotalcite by Mechanochemical Method and Its Application as Heat Stabilizer in poly(vinyl chloride)" Materials 13, no. 22: 5223. https://doi.org/10.3390/ma13225223

APA Style

Jiang, Y., Yang, Z., Su, Q., Chen, L., Wu, J., & Meng, J. (2020). Preparation of Magnesium-Aluminum Hydrotalcite by Mechanochemical Method and Its Application as Heat Stabilizer in poly(vinyl chloride). Materials, 13(22), 5223. https://doi.org/10.3390/ma13225223

Note that from the first issue of 2016, this journal uses article numbers instead of page numbers. See further details here.

Article Metrics

Back to TopTop